Abstract:We present a rigorous asymptotic analysis of Echo State Networks (ESNs) in a teacher student setting with a linear teacher with oracle weights. Leveraging random matrix theory, we derive closed form expressions for the asymptotic bias, variance, and mean-squared error (MSE) as functions of the input statistics, the oracle vector, and the ridge regularization parameter. The analysis reveals two key departures from classical ridge regression: (i) ESNs do not exhibit double descent, and (ii) ESNs attain lower MSE when both the number of training samples and the teacher memory length are limited. We further provide an explicit formula for the optimal regularization in the identity input covariance case, and propose an efficient numerical scheme to compute the optimum in the general case. Together, these results offer interpretable theory and practical guidelines for tuning ESNs, helping reconcile recent empirical observations with provable performance guarantees
Abstract:Modern Machine Learning (ML) and Deep Neural Networks (DNNs) often operate on high-dimensional data and rely on overparameterized models, where classical low-dimensional intuitions break down. In particular, the proportional regime where the data dimension, sample size, and number of model parameters are all large and comparable, gives rise to novel and sometimes counterintuitive behaviors. This paper extends traditional Random Matrix Theory (RMT) beyond eigenvalue-based analysis of linear models to address the challenges posed by nonlinear ML models such as DNNs in this regime. We introduce the concept of High-dimensional Equivalent, which unifies and generalizes both Deterministic Equivalent and Linear Equivalent, to systematically address three technical challenges: high dimensionality, nonlinearity, and the need to analyze generic eigenspectral functionals. Leveraging this framework, we provide precise characterizations of the training and generalization performance of linear models, nonlinear shallow networks, and deep networks. Our results capture rich phenomena, including scaling laws, double descent, and nonlinear learning dynamics, offering a unified perspective on the theoretical understanding of deep learning in high dimensions.




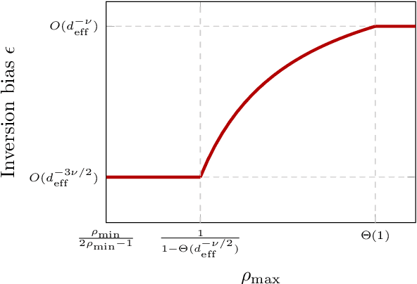
Abstract:A substantial body of work in machine learning (ML) and randomized numerical linear algebra (RandNLA) has exploited various sorts of random sketching methodologies, including random sampling and random projection, with much of the analysis using Johnson--Lindenstrauss and subspace embedding techniques. Recent studies have identified the issue of inversion bias -- the phenomenon that inverses of random sketches are not unbiased, despite the unbiasedness of the sketches themselves. This bias presents challenges for the use of random sketches in various ML pipelines, such as fast stochastic optimization, scalable statistical estimators, and distributed optimization. In the context of random projection, the inversion bias can be easily corrected for dense Gaussian projections (which are, however, too expensive for many applications). Recent work has shown how the inversion bias can be corrected for sparse sub-gaussian projections. In this paper, we show how the inversion bias can be corrected for random sampling methods, both uniform and non-uniform leverage-based, as well as for structured random projections, including those based on the Hadamard transform. Using these results, we establish problem-independent local convergence rates for sub-sampled Newton methods.




Abstract:In this paper, we perform asymptotic analyses of the widely used ESPRIT direction-of-arrival (DoA) estimator for large arrays, where the array size $N$ and the number of snapshots $T$ grow to infinity at the same pace. In this large-dimensional regime, the sample covariance matrix (SCM) is known to be a poor eigenspectral estimator of the population covariance. We show that the classical ESPRIT algorithm, that relies on the SCM, and as a consequence of the large-dimensional inconsistency of the SCM, produces inconsistent DoA estimates as $N,T \to \infty$ with $N/T \to c \in (0,\infty)$, for both widely- and closely-spaced DoAs. Leveraging tools from random matrix theory (RMT), we propose an improved G-ESPRIT method and prove its consistency in the same large-dimensional setting. From a technical perspective, we derive a novel bound on the eigenvalue differences between two potentially non-Hermitian random matrices, which may be of independent interest. Numerical simulations are provided to corroborate our theoretical findings.
Abstract:The assumption of Gaussian or Gaussian mixture data has been extensively exploited in a long series of precise performance analyses of machine learning (ML) methods, on large datasets having comparably numerous samples and features. To relax this restrictive assumption, subsequent efforts have been devoted to establish "Gaussian equivalent principles" by studying scenarios of Gaussian universality where the asymptotic performance of ML methods on non-Gaussian data remains unchanged when replaced with Gaussian data having the same mean and covariance. Beyond the realm of Gaussian universality, there are few exact results on how the data distribution affects the learning performance. In this article, we provide a precise high-dimensional characterization of empirical risk minimization, for classification under a general mixture data setting of linear factor models that extends Gaussian mixtures. The Gaussian universality is shown to break down under this setting, in the sense that the asymptotic learning performance depends on the data distribution beyond the class means and covariances. To clarify the limitations of Gaussian universality in classification of mixture data and to understand the impact of its breakdown, we specify conditions for Gaussian universality and discuss their implications for the choice of loss function.
Abstract:Modern deep neural networks (DNNs) are extremely powerful; however, this comes at the price of increased depth and having more parameters per layer, making their training and inference more computationally challenging. In an attempt to address this key limitation, efforts have been devoted to the compression (e.g., sparsification and/or quantization) of these large-scale machine learning models, so that they can be deployed on low-power IoT devices. In this paper, building upon recent advances in neural tangent kernel (NTK) and random matrix theory (RMT), we provide a novel compression approach to wide and fully-connected \emph{deep} neural nets. Specifically, we demonstrate that in the high-dimensional regime where the number of data points $n$ and their dimension $p$ are both large, and under a Gaussian mixture model for the data, there exists \emph{asymptotic spectral equivalence} between the NTK matrices for a large family of DNN models. This theoretical result enables "lossless" compression of a given DNN to be performed, in the sense that the compressed network yields asymptotically the same NTK as the original (dense and unquantized) network, with its weights and activations taking values \emph{only} in $\{ 0, \pm 1 \}$ up to a scaling. Experiments on both synthetic and real-world data are conducted to support the advantages of the proposed compression scheme, with code available at \url{https://github.com/Model-Compression/Lossless_Compression}.




Abstract:Deep equilibrium models (DEQs), as a typical implicit neural network, have demonstrated remarkable success on various tasks. There is, however, a lack of theoretical understanding of the connections and differences between implicit DEQs and explicit neural network models. In this paper, leveraging recent advances in random matrix theory (RMT), we perform an in-depth analysis on the eigenspectra of the conjugate kernel (CK) and neural tangent kernel (NTK) matrices for implicit DEQs, when the input data are drawn from a high-dimensional Gaussian mixture. We prove, in this setting, that the spectral behavior of these Implicit-CKs and NTKs depend on the DEQ activation function and initial weight variances, but only via a system of four nonlinear equations. As a direct consequence of this theoretical result, we demonstrate that a shallow explicit network can be carefully designed to produce the same CK or NTK as a given DEQ. Despite derived here for Gaussian mixture data, empirical results show the proposed theory and design principle also apply to popular real-world datasets.




Abstract:Modern machine learning (ML) models have grown to a scale where training them on a single machine becomes impractical. As a result, there is a growing trend to leverage federated learning (FL) techniques to train large ML models in a distributed and collaborative manner. These models, however, when deployed on new devices, might struggle to generalize well due to domain shifts. In this context, federated domain adaptation (FDA) emerges as a powerful approach to address this challenge. Most existing FDA approaches typically focus on aligning the distributions between source and target domains by minimizing their (e.g., MMD) distance. Such strategies, however, inevitably introduce high communication overheads and can be highly sensitive to network reliability. In this paper, we introduce RF-TCA, an enhancement to the standard Transfer Component Analysis approach that significantly accelerates computation without compromising theoretical and empirical performance. Leveraging the computational advantage of RF-TCA, we further extend it to FDA setting with FedRF-TCA. The proposed FedRF-TCA protocol boasts communication complexity that is \emph{independent} of the sample size, while maintaining performance that is either comparable to or even surpasses state-of-the-art FDA methods. We present extensive experiments to showcase the superior performance and robustness (to network condition) of FedRF-TCA.

Abstract:Implicit neural networks have demonstrated remarkable success in various tasks. However, there is a lack of theoretical analysis of the connections and differences between implicit and explicit networks. In this paper, we study high-dimensional implicit neural networks and provide the high dimensional equivalents for the corresponding conjugate kernels and neural tangent kernels. Built upon this, we establish the equivalence between implicit and explicit networks in high dimensions.
Abstract:Random graph models are playing an increasingly important role in science and industry, and finds their applications in a variety of fields ranging from social and traffic networks, to recommendation systems and molecular genetics. In this paper, we perform an in-depth analysis of the random Kronecker graph model proposed in \cite{leskovec2010kronecker}, when the number of graph vertices $N$ is large. Built upon recent advances in random matrix theory, we show, in the dense regime, that the random Kronecker graph adjacency matrix follows approximately a signal-plus-noise model, with a small-rank (of order at most $\log N$) signal matrix that is linear in the graph parameters and a random noise matrix having a quarter-circle-form singular value distribution. This observation allows us to propose a ``denoise-and-solve'' meta algorithm to approximately infer the graph parameters, with reduced computational complexity and (asymptotic) performance guarantee. Numerical experiments of graph inference and graph classification on both synthetic and realistic graphs are provided to support the advantageous performance of the proposed approach.