Abstract:The spectral and energy efficiency (SE-EE) trade-off in pinching-antenna systems (PASS) is investigated in this paper. In particular, two practical operating protocols, namely waveguide multiplexing (WM) and waveguide switching (WS), are considered. A multi-objective optimization problem (MOOP) is formulated to jointly optimize the baseband and pinching beamforming for maximizing the achievable SE and EE, which is then converted into a single-objective problem via the ε-constraint method. For WM, the problem is decomposed within the alternating-optimization framework, where the baseband beamforming is optimized using the successive convex approximation, and the pinching beamforming is updated through the particle swarm optimization. For WS, due to the time-division transmission and interference-free nature, the pinching beamforming in each time slot is first adjusted to maximize the served user channel gain, followed by the baseband power allocation. Simulation results demonstrate that 1) PASS outperforms conventional antennas by mitigating large-scale path losses; 2) WS leads to a higher maximum achievable EE by activating a single RF chain, whereas WM yields a higher SE upper bound by serving all users concurrently; and 3) increasing the number of users substantially enhances SE under WM, whereas WS shows more pronounced benefits in low-signal-to-noise ratio regimes.
Abstract:Accurately understanding the propagation environment is a fundamental challenge in site-specific beamforming (SSBF). This paper proposes a novel generative SSBF (GenSSBF) solution, which represents a paradigm shift from conventional unstructured prediction to joint-structure modeling. First, considering the fundamental differences between beam generation and conventional image synthesis, a unified GenSSBF framework is proposed, which includes a site profile, a wireless prompting module, and a generator. Second, a beam-brainstorm (BBS) solution is proposed as an instantiation of this GenSSBF framework. Specifically, the site profile is configured by transforming channel data from spatial domain to a reversible latent space via discrete Fourier transform (DFT). To facilitate practical deployment, the wireless prompt is constructed from the reference signal received power (RSRP) measured using a small number of DFT-beams. Finally, the generator is developed using a customized conditional diffusion model. Rather than relying on a meticulously designed global codebook, BBS directly generates diverse and high-fidelity user-specific beams guided by the wireless prompts. Simulation results on accurate ray-tracing datasets demonstrate that BBS can achieve near-optimal beamforming gain while drastically reducing the beam sweeping overhead, even in low signal-to-noise ratio (SNR) environments.




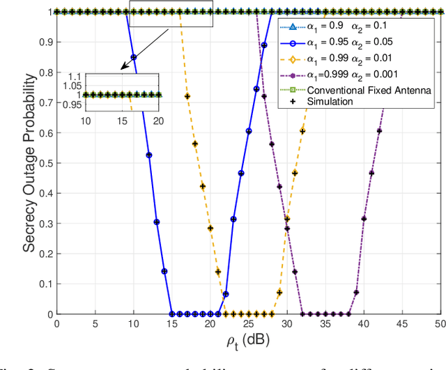
Abstract:As a novel member of flexible antennas, the pinching antenna (PA) is realized by integrating small dielectric particles on a waveguide, offering unique regulatory capabilities on constructing line-of-sight (LoS) links and enhancing transceiver channels, reducing path loss and signal blockage. Meanwhile, non-orthogonal multiple access (NOMA) has become a potential technology of next-generation communications due to its remarkable advantages in spectrum efficiency and user access capability. The integration of PA and NOMA enables synergistic leveraging of PA's channel regulation capability and NOMA's multi-user multiplexing advantage, forming a complementary technical framework to deliver high-performance communication solutions. However, the use of successive interference cancellation (SIC) introduces significant security risks to power-domain NOMA systems when internal eavesdropping is present. To this end, this paper investigates the physical layer security of a PA-aided NOMA system where a nearby user is considered as an internal eavesdropper. We enhance the security of the NOMA system through optimizing the radiated power of PAs and analyze the secrecy performance by deriving the closed-form expressions for the secrecy outage probability (SOP). Furthermore, we extend the characterization of PA flexibility beyond deployment and scale adjustment to include flexible regulation of PA coupling length. Based on two conventional PA power models, i.e., the equal power model and the proportional power model, we propose a flexible power strategy to achieve secure transmission. The results highlight the potential of the PA-aided NOMA system in mitigating internal eavesdropping risks, and provide an effective strategy for optimizing power allocation and cell range of user activity.
Abstract:A multiuser uplink transmission framework based on the segmented waveguide-enabled pinching-antenna system (SWAN) is proposed under two operating protocols: segment selection (SS) and segment aggregation (SA). For each protocol, the achievable uplink sum-rate is characterized for both time-division multiple access (TDMA) and non-orthogonal multiple access (NOMA). Low-complexity placement methods for the pinching antennas (PAs) are developed for both protocols and for both multiple-access schemes. Numerical results validate the effectiveness of the proposed methods and show that SWAN achieves higher sum-rate performance than conventional pinching-antenna systems, while SA provides additional performance gains over SS.
Abstract:Pinching-antenna system (PASS) mitigates large-scale path loss by enabling flexible placement of pinching antennas (PAs) along the dielectric waveguide. However, most existing studies assume perfect channel state information (CSI), overlooking the impact of channel uncertainty. This paper addresses this gap by proposing a robust beamforming framework for both lossy and lossless waveguides. For baseband beamforming, the lossy case yields an second-order cone programming-based solution, while the lossless case admits a closed-form solution via maximum ratio transmission. The PAs' positions in both cases are optimized through the Gauss-Seidel-based method. Numerical results validate the effectiveness of the proposed algorithm and demonstrate that PASS exhibits superior robustness against channel uncertainty compared with conventional fixed-antenna systems. Notably, its worst-case achievable rate can even exceed the fixed-antenna baseline under perfect CSI.



Abstract:This letter proposes a novel user localization and channel estimation framework for pinching-antenna systems (PASS), where pinching antennas are grouped into subarrays on each waveguide to cooperatively estimate user/scatterer locations, thus reconstructing channels. Both single-waveguide (SW) and multi-waveguide (MW) structures are considered. SW consists of multiple alternatingly activated subarrays, while MW deploys one subarray on each waveguide to enable concurrent subarray measurements. For the 2D scenarios with a fixed user/scatter height, an orthogonal matching pursuit-based geometry-consistent localization (OMP-GCL) algorithm is proposed, which leverages inter-subarray geometric relationships and compressed sensing for precise estimation. Theoretical analysis on Cramér-Rao lower bound (CRLB) demonstrates that: 1) The estimation accuracy can be improved by increasing the geometric diversity through multi-subarray deployment; and 2) SW provides a limited geometric diversity within a $180^\circ$ half space and leads to angle ambiguity, while MW enables full-space observations and reduces overheads. The OMP-GCL algorithm is further extended to 3D scenarios, where user and scatter heights are also estimated. Numerical results validate the theoretical analysis, and verify that MW achieves centimeter- and decimeter-level localization accuracy in 2D and 3D scenarios with only three waveguides.




Abstract:A segmented waveguide-enabled pinching-antenna system (SWAN)-assisted integrated sensing and communications (ISAC) framework is proposed. Unlike conventional pinching antenna systems (PASS), which use a single long waveguide, SWAN divides the waveguide into multiple short segments, each with a dedicated feed point. Thanks to the segmented structure, SWAN enhances sensing performance by significantly simplifying the reception model and reducing the in-waveguide propagation loss. To balance performance and complexity, three segment controlling protocols are proposed for the transceivers, namely i) \emph{segment selection} to select a single segment for signal transceiving, ii) \emph{segment aggregation} to aggregate signals from all segments using a single RF chain, and iii) \emph{segment multiplexing} to jointly process the signals from all segments using individual RF chains. The theoretical sensing performance limit is first analyzed for different protocols, unveiling how the sensing performance gain of SWAN scales with the number of segments. Based on this performance limit, the Pareto fronts of sensing and communication performance are characterized for the simple one-user one-target case, which is then extended to the general multi-user single-target case based on time-division multiple access (TDMA). Numerical results are presented to verify the correctness of the derivations and the effectiveness of the proposed algorithms, which jointly confirm the advantages of SWAN-assisted ISAC.




Abstract:A novel fully-connected (FC) tri-hybrid beamforming (THB) architecture is proposed for pinching antenna systems (PASS). In contrast to conventional sub-connected (SC) PASS, the proposed FC architecture employs a tunable phase-shifter network to interconnect all radio frequency (RF) chains with all waveguides. This facilitates a THB framework that integrates conventional hybrid analog-digital beamforming with pinching beamforming. A weighted sum-rate (WSR) optimization problem is then formulated to jointly optimize the transmit beamformers and pinching antenna (PA) positions. Two algorithms are developed to address this challenging non-convex problem. 1) Fractional programming (FP)-based algorithm: This algorithm directly maximizes the WSR using an FP-based alternating optimization framework. Particularly, a success-history based adaptive differential evolution (SHADE) method is proposed to optimize PA positions, effectively addressing the intractable multimodal objective function. 2) Zero-forcing (ZF)-based algorithm: To reduce design complexity, zero-forcing is employed for transmit beamforming. The PA positions are subsequently optimized to maximize the WSR via a modified SHADE method. Simulation results validate the effectiveness of the proposed algorithms, revealing that the FC-THB PASS achieves WSR comparable to the SC architecture while delivering superior energy efficiency with fewer RF chains.
Abstract:A novel pinching antenna system (PASS) enabled wireless power transfer (WPT) framework is proposed, where energy harvesting receivers (EHRs) and information decoding receivers (IDRs) coexist. By activating pinching antennas (PAs) near both receivers and flexibly adjusting PAs' power radiation ratios, both energy harvesting efficiency and communication quality can be enhanced. A bi-level optimization problem is formulated to overcome the strong coupling between optimization variables. The upper level jointly optimizes transmit beamforming, PA positions, and feasible interval of power radiation ratios for power conversion efficiency (PCE) maximization under rate requirements, while the lower level refines power radiation ratio for the sum rate maximization. Efficient solutions are developed for both two-user and multi-user scenarios. 1) For the two-user case, where an EHR and an IDR coexist, the alternating optimization (AO)-based and weighted minimum mean square error (WMMSE)-based algorithms are developed to achieve the stationary solutions of transmit beamforming, PA positions, and power radiation ratios. 2) For the multi-user case, a quadratic transform-Lagrangian dual transform (QT-LDT) algorithm is proposed to iteratively update PCE and sum rate by optimizing PA positions and power radiation ratios individually. Closed-form solutions are derived for both maximization problems. Numerical simulation results demonstrate that the proposed PASS-WPT framework significantly outperforms conventional MIMO and the baseline PASS with fixed power radiation, which demonstrates that: i) Compared to the conventional MIMO and baseline PASS, the proposed PASS-WPT framework achieves 81.45% and 43.19% improvements in PCE of EHRs, and ii) also increases the sum rate by 77.81% and 31.91% for IDRs.
Abstract:To enable intelligent beam training, a large language model (LLM)-enabled beam training framework is proposed for the pinching antenna system (PASS) in downlink multi-user multiple-input multiple-output (MIMO) communications. A novel LLM-based beam training supervised learning mechanism is developed, allowing context-aware and environment-adaptive probing for PASS to reduce overheads. Both single-user and multi-user cases are considered. 1) For single-user case, the LLM-based pinching beamforming codebook generation problem is formulated to maximize the beamforming gain. Then, the optimal transmit beamforming is obtained by maximum ratio transmission (MRT). 2) For multi-user case, a joint codebook generation and beam selection problem is formulated based on the system sum rate under the minimum mean square error (MMSE) transmit beamforming. The training labels for pinching beamforming are constructed by selecting the beam combination that maximizes system performance from each user's Top-S candidate beams. Based on pretrained Generative Pre-trained Transformers (GPTs), the LLM is trained in an end-to-end fashion to minimize the cross-entropy loss. Simulation results demonstrate that: i) For single-user case, the proposed LLM-enabled PASS attains over 95% Top-1 accuracy in beam selection and achieves 51.92% improvements in beamforming gains compared to conventional method. ii) For multi-user case, the proposed LLM-enabled PASS framework significantly outperforms both the LLM-based massive MIMO and conventional PASS beam training, achieving up to 57.14% and 33.33% improvements in sum rate, respectively.