Abstract:Despite advances in large language model capabilities in recent years, a large gap remains in their capabilities and safety performance for many languages beyond a relatively small handful of globally dominant languages. This paper provides researchers, policymakers and governance experts with an overview of key challenges to bridging the "language gap" in AI and minimizing safety risks across languages. We provide an analysis of why the language gap in AI exists and grows, and how it creates disparities in global AI safety. We identify barriers to address these challenges, and recommend how those working in policy and governance can help address safety concerns associated with the language gap by supporting multilingual dataset creation, transparency, and research.
Abstract:Agentic AI systems, which build on Large Language Models (LLMs) and interact with tools and memory, have rapidly advanced in capability and scope. Yet, since LLMs have been shown to struggle in multilingual settings, typically resulting in lower performance and reduced safety, agentic systems risk inheriting these limitations. This raises concerns about the global accessibility of such systems, as users interacting in languages other than English may encounter unreliable or security-critical agent behavior. Despite growing interest in evaluating agentic AI, existing benchmarks focus exclusively on English, leaving multilingual settings unexplored. To address this gap, we propose MAPS, a multilingual benchmark suite designed to evaluate agentic AI systems across diverse languages and tasks. MAPS builds on four widely used agentic benchmarks - GAIA (real-world tasks), SWE-bench (code generation), MATH (mathematical reasoning), and the Agent Security Benchmark (security). We translate each dataset into ten diverse languages, resulting in 805 unique tasks and 8,855 total language-specific instances. Our benchmark suite enables a systematic analysis of how multilingual contexts affect agent performance and robustness. Empirically, we observe consistent degradation in both performance and security when transitioning from English to other languages, with severity varying by task and correlating with the amount of translated input. Building on these findings, we provide actionable recommendations to guide agentic AI systems development and assessment under multilingual settings. This work establishes a standardized evaluation framework, encouraging future research towards equitable, reliable, and globally accessible agentic AI. MAPS benchmark suite is publicly available at https://huggingface.co/datasets/Fujitsu-FRE/MAPS




Abstract:In this report we describe the development of Command A, a powerful large language model purpose-built to excel at real-world enterprise use cases. Command A is an agent-optimised and multilingual-capable model, with support for 23 languages of global business, and a novel hybrid architecture balancing efficiency with top of the range performance. It offers best-in-class Retrieval Augmented Generation (RAG) capabilities with grounding and tool use to automate sophisticated business processes. These abilities are achieved through a decentralised training approach, including self-refinement algorithms and model merging techniques. We also include results for Command R7B which shares capability and architectural similarities to Command A. Weights for both models have been released for research purposes. This technical report details our original training pipeline and presents an extensive evaluation of our models across a suite of enterprise-relevant tasks and public benchmarks, demonstrating excellent performance and efficiency.




Abstract:Large Language Models (LLMs) are increasingly employed as automated evaluators to assess the safety of generated content, yet their reliability in this role remains uncertain. This study evaluates a diverse set of 11 LLM judge models across critical safety domains, examining three key aspects: self-consistency in repeated judging tasks, alignment with human judgments, and susceptibility to input artifacts such as apologetic or verbose phrasing. Our findings reveal that biases in LLM judges can significantly distort the final verdict on which content source is safer, undermining the validity of comparative evaluations. Notably, apologetic language artifacts alone can skew evaluator preferences by up to 98\%. Contrary to expectations, larger models do not consistently exhibit greater robustness, while smaller models sometimes show higher resistance to specific artifacts. To mitigate LLM evaluator robustness issues, we investigate jury-based evaluations aggregating decisions from multiple models. Although this approach both improves robustness and enhances alignment to human judgements, artifact sensitivity persists even with the best jury configurations. These results highlight the urgent need for diversified, artifact-resistant methodologies to ensure reliable safety assessments.




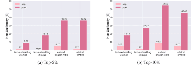
Abstract:Large language models (LLMs) are increasingly being deployed in high-stakes applications like hiring, yet their potential for unfair decision-making and outcomes remains understudied, particularly in generative settings. In this work, we examine the fairness of LLM-based hiring systems through two real-world tasks: resume summarization and retrieval. By constructing a synthetic resume dataset and curating job postings, we investigate whether model behavior differs across demographic groups and is sensitive to demographic perturbations. Our findings reveal that race-based differences appear in approximately 10% of generated summaries, while gender-based differences occur in only 1%. In the retrieval setting, all evaluated models display non-uniform selection patterns across demographic groups and exhibit high sensitivity to both gender and race-based perturbations. Surprisingly, retrieval models demonstrate comparable sensitivity to non-demographic changes, suggesting that fairness issues may stem, in part, from general brittleness issues. Overall, our results indicate that LLM-based hiring systems, especially at the retrieval stage, can exhibit notable biases that lead to discriminatory outcomes in real-world contexts.




Abstract:Large Language Models (LLMs) have been adopted and deployed worldwide for a broad variety of applications. However, ensuring their safe use remains a significant challenge. Preference training and safety measures often overfit to harms prevalent in Western-centric datasets, and safety protocols frequently fail to extend to multilingual settings. In this work, we explore model merging in a diverse multi-task setting, combining safety and general-purpose tasks within a multilingual context. Each language introduces unique and varied learning challenges across tasks. We find that objective-based merging is more effective than mixing data, with improvements of up to 8% and 10% in general performance and safety respectively. We also find that language-based merging is highly effective -- by merging monolingually fine-tuned models, we achieve a 4% increase in general performance and 7% reduction in harm across all languages on top of the data mixtures method using the same available data. Overall, our comprehensive study of merging approaches provides a useful framework for building strong and safe multilingual models.




Abstract:A key concern with the concept of "alignment" is the implicit question of "alignment to what?". AI systems are increasingly used across the world, yet safety alignment is often focused on homogeneous monolingual settings. Additionally, preference training and safety measures often overfit to harms common in Western-centric datasets. Here, we explore the viability of different alignment approaches when balancing dual objectives: addressing and optimizing for a non-homogeneous set of languages and cultural preferences while minimizing both global and local harms. We collect the first set of human annotated red-teaming prompts in different languages distinguishing between global and local harm, which serve as a laboratory for understanding the reliability of alignment techniques when faced with preference distributions that are non-stationary across geographies and languages. While this setting is seldom covered by the literature to date, which primarily centers on English harm mitigation, it captures real-world interactions with AI systems around the world. We establish a new precedent for state-of-the-art alignment techniques across 6 languages with minimal degradation in general performance. Our work provides important insights into cross-lingual transfer and novel optimization approaches to safeguard AI systems designed to serve global populations.
Abstract:Keyword mnemonics are memorable explanations that link new terms to simpler keywords. Prior works generate mnemonics for students, but they do not guide models toward mnemonics students prefer and aid learning. We build SMART, a mnemonic generator trained on feedback from real students learning new terms. To train SMART, we first fine-tune LLaMA-2 on a curated set of user-written mnemonics. We then use LLM alignment to enhance SMART: we deploy mnemonics generated by SMART in a flashcard app to find preferences on mnemonics students favor. We gather 2684 preferences from 45 students across two types: expressed (inferred from ratings) and observed (inferred from student learning), yielding three key findings. First, expressed and observed preferences disagree; what students think is helpful does not fully capture what is truly helpful. Second, Bayesian models can synthesize complementary data from multiple preference types into a single effectiveness signal. SMART is tuned via Direct Preference Optimization on this signal, which we show resolves ties and missing labels in the typical method of pairwise comparisons, augmenting data for LLM output quality gains. Third, mnemonic experts assess SMART as matching GPT-4, at much lower deployment costs, showing the utility of capturing diverse student feedback to align LLMs in education.




Abstract:Dense retrievers compress source documents into (possibly lossy) vector representations, yet there is little analysis of what information is lost versus preserved, and how it affects downstream tasks. We conduct the first analysis of the information captured by dense retrievers compared to the language models they are based on (e.g., BERT versus Contriever). We use 25 MultiBert checkpoints as randomized initialisations to train MultiContrievers, a set of 25 contriever models. We test whether specific pieces of information -- such as gender and occupation -- can be extracted from contriever vectors of wikipedia-like documents. We measure this extractability via information theoretic probing. We then examine the relationship of extractability to performance and gender bias, as well as the sensitivity of these results to many random initialisations and data shuffles. We find that (1) contriever models have significantly increased extractability, but extractability usually correlates poorly with benchmark performance 2) gender bias is present, but is not caused by the contriever representations 3) there is high sensitivity to both random initialisation and to data shuffle, suggesting that future retrieval research should test across a wider spread of both.




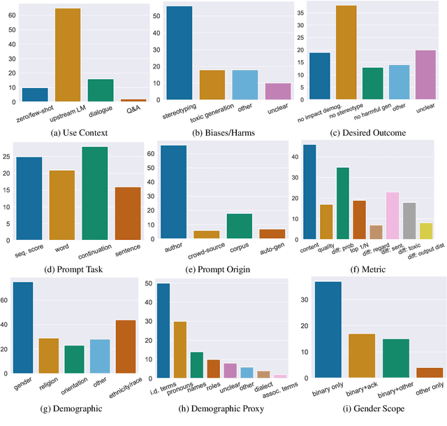
Abstract:Bias research in NLP seeks to analyse models for social biases, thus helping NLP practitioners uncover, measure, and mitigate social harms. We analyse the body of work that uses prompts and templates to assess bias in language models. We draw on a measurement modelling framework to create a taxonomy of attributes that capture what a bias test aims to measure and how that measurement is carried out. By applying this taxonomy to 90 bias tests, we illustrate qualitatively and quantitatively that core aspects of bias test conceptualisations and operationalisations are frequently unstated or ambiguous, carry implicit assumptions, or be mismatched. Our analysis illuminates the scope of possible bias types the field is able to measure, and reveals types that are as yet under-researched. We offer guidance to enable the community to explore a wider section of the possible bias space, and to better close the gap between desired outcomes and experimental design, both for bias and for evaluating language models more broadly.