Abstract:Humanoid motion tracking policies are central to building teleoperation pipelines and hierarchical controllers, yet they face a fundamental challenge: the embodiment gap between humans and humanoid robots. Current approaches address this gap by retargeting human motion data to humanoid embodiments and then training reinforcement learning (RL) policies to imitate these reference trajectories. However, artifacts introduced during retargeting, such as foot sliding, self-penetration, and physically infeasible motion are often left in the reference trajectories for the RL policy to correct. While prior work has demonstrated motion tracking abilities, they often require extensive reward engineering and domain randomization to succeed. In this paper, we systematically evaluate how retargeting quality affects policy performance when excessive reward tuning is suppressed. To address issues that we identify with existing retargeting methods, we propose a new retargeting method, General Motion Retargeting (GMR). We evaluate GMR alongside two open-source retargeters, PHC and ProtoMotions, as well as with a high-quality closed-source dataset from Unitree. Using BeyondMimic for policy training, we isolate retargeting effects without reward tuning. Our experiments on a diverse subset of the LAFAN1 dataset reveal that while most motions can be tracked, artifacts in retargeted data significantly reduce policy robustness, particularly for dynamic or long sequences. GMR consistently outperforms existing open-source methods in both tracking performance and faithfulness to the source motion, achieving perceptual fidelity and policy success rates close to the closed-source baseline. Website: https://jaraujo98.github.io/retargeting_matters. Code: https://github.com/YanjieZe/GMR.
Abstract:Learning a control policy for a multi-phase, long-horizon task, such as basketball maneuvers, remains challenging for reinforcement learning approaches due to the need for seamless policy composition and transitions between skills. A long-horizon task typically consists of distinct subtasks with well-defined goals, separated by transitional subtasks with unclear goals but critical to the success of the entire task. Existing methods like the mixture of experts and skill chaining struggle with tasks where individual policies do not share significant commonly explored states or lack well-defined initial and terminal states between different phases. In this paper, we introduce a novel policy integration framework to enable the composition of drastically different motor skills in multi-phase long-horizon tasks with ill-defined intermediate states. Based on that, we further introduce a high-level soft router to enable seamless and robust transitions between the subtasks. We evaluate our framework on a set of fundamental basketball skills and challenging transitions. Policies trained by our approach can effectively control the simulated character to interact with the ball and accomplish the long-horizon task specified by real-time user commands, without relying on ball trajectory references.




Abstract:Recent breakthroughs in Large Language Models (LLMs) have led to a qualitative leap in artificial intelligence' s performance on reasoning tasks, particularly demonstrating remarkable capabilities in mathematical, symbolic, and commonsense reasoning. However, as a critical component of advanced human cognition, strategic reasoning, i.e., the ability to assess multi-agent behaviors in dynamic environments, formulate action plans, and adapt strategies, has yet to be systematically evaluated or modeled. To address this gap, this paper introduces WGSR-Bench, the first strategy reasoning benchmark for LLMs using wargame as its evaluation environment. Wargame, a quintessential high-complexity strategic scenario, integrates environmental uncertainty, adversarial dynamics, and non-unique strategic choices, making it an effective testbed for assessing LLMs' capabilities in multi-agent decision-making, intent inference, and counterfactual reasoning. WGSR-Bench designs test samples around three core tasks, i.e., Environmental situation awareness, Opponent risk modeling and Policy generation, which serve as the core S-POE architecture, to systematically assess main abilities of strategic reasoning. Finally, an LLM-based wargame agent is designed to integrate these parts for a comprehensive strategy reasoning assessment. With WGSR-Bench, we hope to assess the strengths and limitations of state-of-the-art LLMs in game-theoretic strategic reasoning and to advance research in large model-driven strategic intelligence.
Abstract:Piano playing requires agile, precise, and coordinated hand control that stretches the limits of dexterity. Hand motion models with the sophistication to accurately recreate piano playing have a wide range of applications in character animation, embodied AI, biomechanics, and VR/AR. In this paper, we construct a first-of-its-kind large-scale dataset that contains approximately 10 hours of 3D hand motion and audio from 15 elite-level pianists playing 153 pieces of classical music. To capture natural performances, we designed a markerless setup in which motions are reconstructed from multi-view videos using state-of-the-art pose estimation models. The motion data is further refined via inverse kinematics using the high-resolution MIDI key-pressing data obtained from sensors in a specialized Yamaha Disklavier piano. Leveraging the collected dataset, we developed a pipeline that can synthesize physically-plausible hand motions for musical scores outside of the dataset. Our approach employs a combination of imitation learning and reinforcement learning to obtain policies for physics-based bimanual control involving the interaction between hands and piano keys. To solve the sampling efficiency problem with the large motion dataset, we use a diffusion model to generate natural reference motions, which provide high-level trajectory and fingering (finger order and placement) information. However, the generated reference motion alone does not provide sufficient accuracy for piano performance modeling. We then further augmented the data by using musical similarity to retrieve similar motions from the captured dataset to boost the precision of the RL policy. With the proposed method, our model generates natural, dexterous motions that generalize to music from outside the training dataset.




Abstract:Motivated by humans' ability to adapt skills in the learning of new ones, this paper presents AdaptNet, an approach for modifying the latent space of existing policies to allow new behaviors to be quickly learned from like tasks in comparison to learning from scratch. Building on top of a given reinforcement learning controller, AdaptNet uses a two-tier hierarchy that augments the original state embedding to support modest changes in a behavior and further modifies the policy network layers to make more substantive changes. The technique is shown to be effective for adapting existing physics-based controllers to a wide range of new styles for locomotion, new task targets, changes in character morphology and extensive changes in environment. Furthermore, it exhibits significant increase in learning efficiency, as indicated by greatly reduced training times when compared to training from scratch or using other approaches that modify existing policies. Code is available at https://motion-lab.github.io/AdaptNet.




Abstract:We present a deep learning method for composite and task-driven motion control for physically simulated characters. In contrast to existing data-driven approaches using reinforcement learning that imitate full-body motions, we learn decoupled motions for specific body parts from multiple reference motions simultaneously and directly by leveraging the use of multiple discriminators in a GAN-like setup. In this process, there is no need of any manual work to produce composite reference motions for learning. Instead, the control policy explores by itself how the composite motions can be combined automatically. We further account for multiple task-specific rewards and train a single, multi-objective control policy. To this end, we propose a novel framework for multi-objective learning that adaptively balances the learning of disparate motions from multiple sources and multiple goal-directed control objectives. In addition, as composite motions are typically augmentations of simpler behaviors, we introduce a sample-efficient method for training composite control policies in an incremental manner, where we reuse a pre-trained policy as the meta policy and train a cooperative policy that adapts the meta one for new composite tasks. We show the applicability of our approach on a variety of challenging multi-objective tasks involving both composite motion imitation and multiple goal-directed control.




Abstract:Real-time, accurate prediction of human steering behaviors has wide applications, from developing intelligent traffic systems to deploying autonomous driving systems in both real and simulated worlds. In this paper, we present ContextVAE, a context-aware approach for multi-modal vehicle trajectory prediction. Built upon the backbone architecture of a timewise variational autoencoder, ContextVAE employs a dual attention mechanism for observation encoding that accounts for the environmental context information and the dynamic agents' states in a unified way. By utilizing features extracted from semantic maps during agent state encoding, our approach takes into account both the social features exhibited by agents on the scene and the physical environment constraints to generate map-compliant and socially-aware trajectories. We perform extensive testing on the nuScenes prediction challenge, Lyft Level 5 dataset and Waymo Open Motion Dataset to show the effectiveness of our approach and its state-of-the-art performance. In all tested datasets, ContextVAE models are fast to train and provide high-quality multi-modal predictions in real-time.




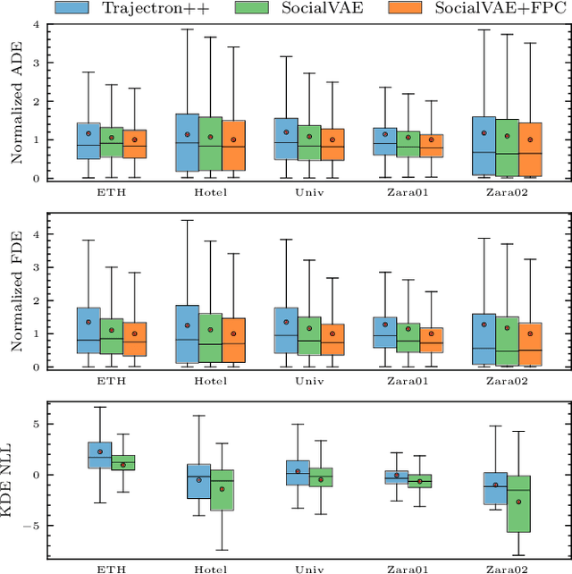
Abstract:Predicting pedestrian movement is critical for human behavior analysis and also for safe and efficient human-agent interactions. However, despite significant advancements, it is still challenging for existing approaches to capture the uncertainty and multimodality of human navigation decision making. In this paper, we propose SocialVAE, a novel approach for human trajectory prediction. The core of SocialVAE is a timewise variational autoencoder architecture that exploits stochastic recurrent neural networks to perform prediction, combined with a social attention mechanism and backward posterior approximation to allow for better extraction of pedestrian navigation strategies. We show that SocialVAE improves current state-of-the-art performance on several pedestrian trajectory prediction benchmarks, including the ETH/UCY benchmark, the Stanford Drone Dataset and SportVU NBA movement dataset. Code is available at: https://github.com/xupei0610/SocialVAE.




Abstract:We present a simple and intuitive approach for interactive control of physically simulated characters. Our work builds upon generative adversarial networks (GAN) and reinforcement learning, and introduces an imitation learning framework where an ensemble of classifiers and an imitation policy are trained in tandem given pre-processed reference clips. The classifiers are trained to discriminate the reference motion from the motion generated by the imitation policy, while the policy is rewarded for fooling the discriminators. Using our GAN-based approach, multiple motor control policies can be trained separately to imitate different behaviors. In runtime, our system can respond to external control signal provided by the user and interactively switch between different policies. Compared to existing methods, our proposed approach has the following attractive properties: 1) achieves state-of-the-art imitation performance without manually designing and fine tuning a reward function; 2) directly controls the character without having to track any target reference pose explicitly or implicitly through a phase state; and 3) supports interactive policy switching without requiring any motion generation or motion matching mechanism. We highlight the applicability of our approach in a range of imitation and interactive control tasks, while also demonstrating its ability to withstand external perturbations as well as to recover balance. Overall, our approach generates high-fidelity motion, has low runtime cost, and can be easily integrated into interactive applications and games.




Abstract:Despite significant advancements in the field of multi-agent navigation, agents still lack the sophistication and intelligence that humans exhibit in multi-agent settings. In this paper, we propose a framework for learning a human-like general collision avoidance policy for agent-agent interactions in fully decentralized, multi-agent environments. Our approach uses knowledge distillation with reinforcement learning to shape the reward function based on expert policies extracted from human trajectory demonstrations through behavior cloning. We show that agents trained with our approach can take human-like trajectories in collision avoidance and goal-directed steering tasks not provided by the demonstrations, outperforming the experts as well as learning-based agents trained without knowledge distillation.