Abstract:While high-performing language models are typically trained on hundreds of billions of words, human children become fluent language users with a much smaller amount of data. What are the features of the data they receive, and how do these features support language modeling objectives? To investigate this question, we train GPT-2 models on 29M words of English-language child-directed speech and a new matched, synthetic dataset (TinyDialogues), comparing to a heterogeneous blend of datasets from the BabyLM challenge. We evaluate both the syntactic and semantic knowledge of these models using developmentally-inspired evaluations. Through pretraining experiments, we test whether the global developmental ordering or the local discourse ordering of children's training data support high performance relative to other datasets. The local properties of the data affect model results, but somewhat surprisingly, global properties do not. Further, child language input is not uniquely valuable for training language models. These findings support the hypothesis that, rather than proceeding from better data, children's learning is instead substantially more efficient than current language modeling techniques.
Abstract:How (dis)similar are the learning trajectories of vision-language models and children? Recent modeling work has attempted to understand the gap between models' and humans' data efficiency by constructing models trained on less data, especially multimodal naturalistic data. However, such models are often evaluated on adult-level benchmarks, with limited breadth in language abilities tested, and without direct comparison to behavioral data. We introduce DevBench, a multimodal benchmark comprising seven language evaluation tasks spanning the domains of lexical, syntactic, and semantic ability, with behavioral data from both children and adults. We evaluate a set of vision-language models on these tasks, comparing models and humans not only on accuracy but on their response patterns. Across tasks, models exhibit variation in their closeness to human response patterns, and models that perform better on a task also more closely resemble human behavioral responses. We also examine the developmental trajectory of OpenCLIP over training, finding that greater training results in closer approximations to adult response patterns. DevBench thus provides a benchmark for comparing models to human language development. These comparisons highlight ways in which model and human language learning processes diverge, providing insight into entry points for improving language models.
Abstract:Human children far exceed modern machine learning algorithms in their sample efficiency, achieving high performance in key domains with much less data than current models. This ''data gap'' is a key challenge both for building intelligent artificial systems and for understanding human development. Egocentric video capturing children's experience -- their ''training data'' -- is a key ingredient for comparison of humans and models and for the development of algorithmic innovations to bridge this gap. Yet there are few such datasets available, and extant data are low-resolution, have limited metadata, and importantly, represent only a small set of children's experiences. Here, we provide the first release of the largest developmental egocentric video dataset to date -- the BabyView dataset -- recorded using a high-resolution camera with a large vertical field-of-view and gyroscope/accelerometer data. This 493 hour dataset includes egocentric videos from children spanning 6 months - 5 years of age in both longitudinal, at-home contexts and in a preschool environment. We provide gold-standard annotations for the evaluation of speech transcription, speaker diarization, and human pose estimation, and evaluate models in each of these domains. We train self-supervised language and vision models and evaluate their transfer to out-of-distribution tasks including syntactic structure learning, object recognition, depth estimation, and image segmentation. Although performance in each scales with dataset size, overall performance is relatively lower than when models are trained on curated datasets, especially in the visual domain. Our dataset stands as an open challenge for robust, humanlike AI systems: how can such systems achieve human-levels of success on the same scale and distribution of training data as humans?




Abstract:Developmental psychologists have argued about when cognitive capacities such as language understanding or theory of mind emerge. These debates often hinge on the concept of "task demands" -- the auxiliary challenges associated with performing a particular evaluation -- that may mask the child's underlying ability. The same issues arise when measuring the capacities of language models (LMs): performance on a task is a function of the model's underlying competence, combined with the model's ability to interpret and perform the task given its available resources. Here, we show that for analogical reasoning, reflective reasoning, word prediction, and grammaticality judgments, evaluation methods with greater task demands yield lower performance than evaluations with reduced demands. This "demand gap" is most pronounced for models with fewer parameters and less training data. Our results illustrate that LM performance should not be interpreted as a direct indication of intelligence (or lack thereof), but as a reflection of capacities seen through the lens of researchers' design choices.




Abstract:Interpreting a seemingly-simple function word like "or", "behind", or "more" can require logical, numerical, and relational reasoning. How are such words learned by children? Prior acquisition theories have often relied on positing a foundation of innate knowledge. Yet recent neural-network based visual question answering models apparently can learn to use function words as part of answering questions about complex visual scenes. In this paper, we study what these models learn about function words, in the hope of better understanding how the meanings of these words can be learnt by both models and children. We show that recurrent models trained on visually grounded language learn gradient semantics for function words requiring spacial and numerical reasoning. Furthermore, we find that these models can learn the meanings of logical connectives "and" and "or" without any prior knowledge of logical reasoning, as well as early evidence that they can develop the ability to reason about alternative expressions when interpreting language. Finally, we show that word learning difficulty is dependent on frequency in models' input. Our findings offer evidence that it is possible to learn the meanings of function words in visually grounded context by using non-symbolic general statistical learning algorithms, without any prior knowledge of linguistic meaning.




Abstract:By the age of two, children tend to assume that new word categories are based on objects' shape, rather than their color or texture; this assumption is called the shape bias. They are thought to learn this bias by observing that their caregiver's language is biased towards shape based categories. This presents a chicken and egg problem: if the shape bias must be present in the language in order for children to learn it, how did it arise in language in the first place? In this paper, we propose that communicative efficiency explains both how the shape bias emerged and why it persists across generations. We model this process with neural emergent language agents that learn to communicate about raw pixelated images. First, we show that the shape bias emerges as a result of efficient communication strategies employed by agents. Second, we show that pressure brought on by communicative need is also necessary for it to persist across generations; simply having a shape bias in an agent's input language is insufficient. These results suggest that, over and above the operation of other learning strategies, the shape bias in human learners may emerge and be sustained by communicative pressures.




Abstract:Languages are powerful solutions to coordination problems: they provide stable, shared expectations about how the words we say correspond to the beliefs and intentions in our heads. Yet language use in a variable and non-stationary social environment requires linguistic representations to be flexible: old words acquire new ad hoc or partner-specific meanings on the fly. In this paper, we introduce a hierarchical Bayesian theory of convention formation that aims to reconcile the long-standing tension between these two basic observations. More specifically, we argue that the central computational problem of communication is not simply transmission, as in classical formulations, but learning and adaptation over multiple timescales. Under our account, rapid learning within dyadic interactions allows for coordination on partner-specific common ground, while social conventions are stable priors that have been abstracted away from interactions with multiple partners. We present new empirical data alongside simulations showing how our model provides a cognitive foundation for explaining several phenomena that have posed a challenge for previous accounts: (1) the convergence to more efficient referring expressions across repeated interaction with the same partner, (2) the gradual transfer of partner-specific common ground to novel partners, and (3) the influence of communicative context on which conventions eventually form.




Abstract:Humans have a remarkable capacity to reason about abstract relational structures, an ability that may support some of the most impressive, human-unique cognitive feats. Because equality (or identity) is a simple and ubiquitous relational operator, equality reasoning has been a key case study for the broader question of abstract relational reasoning. This paper revisits the question of whether equality can be learned by neural networks that do not encode explicit symbolic structure. Earlier work arrived at a negative answer to this question, but that result holds only for a particular class of hand-crafted feature representations. In our experiments, we assess out-of-sample generalization of equality using both arbitrary representations and representations that have been pretrained on separate tasks to imbue them with abstract structure. In this setting, even simple neural networks are able to learn basic equality with relatively little training data. In a second case study, we show that sequential equality problems (learning ABA sequences) can be solved with only positive training instances. Finally, we consider a more complex, hierarchical equality problem, but this requires vastly more data. However, using a pretrained equality network as a modular component of this larger task leads to good performance with no task-specific training. Overall, these findings indicate that neural models are able to solve equality-based reasoning tasks, suggesting that essential aspects of symbolic reasoning can emerge from data-driven, non-symbolic learning processes.




Abstract:The language we use over the course of conversation changes as we establish common ground and learn what our partner finds meaningful. Here we draw upon recent advances in natural language processing to provide a finer-grained characterization of the dynamics of this learning process. We release an open corpus (>15,000 utterances) of extended dyadic interactions in a classic repeated reference game task where pairs of participants had to coordinate on how to refer to initially difficult-to-describe tangram stimuli. We find that different pairs discover a wide variety of idiosyncratic but efficient and stable solutions to the problem of reference. Furthermore, these conventions are shaped by the communicative context: words that are more discriminative in the initial context (i.e. that are used for one target more than others) are more likely to persist through the final repetition. Finally, we find systematic structure in how a speaker's referring expressions become more efficient over time: syntactic units drop out in clusters following positive feedback from the listener, eventually leaving short labels containing open-class parts of speech. These findings provide a higher resolution look at the quantitative dynamics of ad hoc convention formation and support further development of computational models of learning in communication.




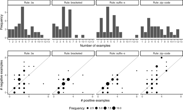
Abstract:A common assumption in machine learning is that training data are i.i.d. samples from some distribution. Processes that generate i.i.d. samples are, in a sense, uninformative---they produce data without regard to how good this data is for learning. By contrast, cognitive science research has shown that when people generate training data for others (i.e., teaching), they deliberately select examples that are helpful for learning. Because the data is more informative, learning can require less data. Interestingly, such examples are most effective when learners know that the data were pedagogically generated (as opposed to randomly generated). We call this pedagogical learning---when a learner assumes that evidence comes from a helpful teacher. In this work, we ask how pedagogical learning might work for machine learning algorithms. Studying this question requires understanding how people actually teach complex concepts with examples, so we conducted a behavioral study examining how people teach regular expressions using example strings. We found that teachers' examples contain powerful clustering structure that can greatly facilitate learning. We then develop a model of teaching and show a proof of concept that using this model inside of a learner can improve performance.