Abstract:Temporal retiming, the ability to reconstruct and render dynamic scenes at arbitrary timestamps, is crucial for applications such as slow-motion playback, temporal editing, and post-production. However, most existing 4D Gaussian Splatting (4DGS) methods overfit at discrete frame indices but struggle to represent continuous-time frames, leading to ghosting artifacts when interpolating between timestamps. We identify this limitation as a form of temporal aliasing and propose RetimeGS, a simple yet effective 4DGS representation that explicitly defines the temporal behavior of the 3D Gaussian and mitigates temporal aliasing. To achieve smooth and consistent interpolation, we incorporate optical flow-guided initialization and supervision, triple-rendering supervision, and other targeted strategies. Together, these components enable ghost-free, temporally coherent rendering even under large motions. Experiments on datasets featuring fast motion, non-rigid deformation, and severe occlusions demonstrate that RetimeGS achieves superior quality and coherence over state-of-the-art methods.
Abstract:Spiking neurons, the fundamental information processing units of Spiking Neural Networks (SNNs), have the all-or-zero information output form that allows SNNs to be more energy-efficient compared to Artificial Neural Networks (ANNs). However, the hard reset mechanism employed in spiking neurons leads to information degradation due to its uniform handling of diverse membrane potentials. Furthermore, the utilization of overly simplified neuron models that disregard the intricate biological structures inherently impedes the network's capacity to accurately simulate the actual potential transmission process. To address these issues, we propose a dendrite-soma-axon (DSA) neuron employing the soft reset strategy, in conjunction with a potential change-based perception mechanism, culminating in the change-perceptive dendrite-soma-axon (CP-DSA) neuron. Our model contains multiple learnable parameters that expand the representation space of neurons. The change-perceptive (CP) mechanism enables our model to achieve competitive performance in short time steps utilizing the difference information of adjacent time steps. Rigorous theoretical analysis is provided to demonstrate the efficacy of the CP-DSA model and the functional characteristics of its internal parameters. Furthermore, extensive experiments conducted on various datasets substantiate the significant advantages of the CP-DSA model over state-of-the-art approaches.
Abstract:We present Lighting in Motion (LiMo), a diffusion-based approach to spatiotemporal lighting estimation. LiMo targets both realistic high-frequency detail prediction and accurate illuminance estimation. To account for both, we propose generating a set of mirrored and diffuse spheres at different exposures, based on their 3D positions in the input. Making use of diffusion priors, we fine-tune powerful existing diffusion models on a large-scale customized dataset of indoor and outdoor scenes, paired with spatiotemporal light probes. For accurate spatial conditioning, we demonstrate that depth alone is insufficient and we introduce a new geometric condition to provide the relative position of the scene to the target 3D position. Finally, we combine diffuse and mirror predictions at different exposures into a single HDRI map leveraging differentiable rendering. We thoroughly evaluate our method and design choices to establish LiMo as state-of-the-art for both spatial control and prediction accuracy.
Abstract:We introduce a framework that enables both multi-view character consistency and 3D camera control in video diffusion models through a novel customization data pipeline. We train the character consistency component with recorded volumetric capture performances re-rendered with diverse camera trajectories via 4D Gaussian Splatting (4DGS), lighting variability obtained with a video relighting model. We fine-tune state-of-the-art open-source video diffusion models on this data to provide strong multi-view identity preservation, precise camera control, and lighting adaptability. Our framework also supports core capabilities for virtual production, including multi-subject generation using two approaches: joint training and noise blending, the latter enabling efficient composition of independently customized models at inference time; it also achieves scene and real-life video customization as well as control over motion and spatial layout during customization. Extensive experiments show improved video quality, higher personalization accuracy, and enhanced camera control and lighting adaptability, advancing the integration of video generation into virtual production. Our project page is available at: https://eyeline-labs.github.io/Virtually-Being.
Abstract:Spiking neural networks possess the advantage of low energy consumption due to their event-driven nature. Compared with binary spike outputs, their inherent floating-point dynamics are more worthy of attention. The threshold level and reset mode of neurons play a crucial role in determining the number and timing of spikes. The existing hard reset method causes information loss, while the improved soft reset method adopts a uniform treatment for neurons. In response to this, this paper designs an adaptive reset neuron, establishing the correlation between input, output and reset, and integrating a simple yet effective threshold adjustment strategy. It achieves excellent performance on various datasets while maintaining the advantage of low energy consumption.
Abstract:Recent advances in diffusion models have revolutionized video generation, offering superior temporal consistency and visual quality compared to traditional generative adversarial networks-based approaches. While this emerging field shows tremendous promise in applications, it faces significant challenges in motion consistency, computational efficiency, and ethical considerations. This survey provides a comprehensive review of diffusion-based video generation, examining its evolution, technical foundations, and practical applications. We present a systematic taxonomy of current methodologies, analyze architectural innovations and optimization strategies, and investigate applications across low-level vision tasks such as denoising and super-resolution. Additionally, we explore the synergies between diffusionbased video generation and related domains, including video representation learning, question answering, and retrieval. Compared to the existing surveys (Lei et al., 2024a;b; Melnik et al., 2024; Cao et al., 2023; Xing et al., 2024c) which focus on specific aspects of video generation, such as human video synthesis (Lei et al., 2024a) or long-form content generation (Lei et al., 2024b), our work provides a broader, more updated, and more fine-grained perspective on diffusion-based approaches with a special section for evaluation metrics, industry solutions, and training engineering techniques in video generation. This survey serves as a foundational resource for researchers and practitioners working at the intersection of diffusion models and video generation, providing insights into both the theoretical frameworks and practical implementations that drive this rapidly evolving field. A structured list of related works involved in this survey is also available on https://github.com/Eyeline-Research/Survey-Video-Diffusion.
Abstract:Diffusion models offer impressive controllability for image tasks, primarily through noise predictions that encode task-specific information and classifier-free guidance enabling adjustable scaling. This scaling mechanism implicitly defines a ``scaling space'' whose potential for fine-grained semantic manipulation remains underexplored. We investigate this space, starting with inversion-based editing where the difference between conditional/unconditional noise predictions carries key semantic information. Our core contribution stems from a Fourier analysis of noise predictions, revealing that its low- and high-frequency components evolve differently throughout diffusion. Based on this insight, we introduce FreSca, a straightforward method that applies guidance scaling independently to different frequency bands in the Fourier domain. FreSca demonstrably enhances existing image editing methods without retraining. Excitingly, its effectiveness extends to image understanding tasks such as depth estimation, yielding quantitative gains across multiple datasets.
Abstract:Video portrait relighting remains challenging because the results need to be both photorealistic and temporally stable. This typically requires a strong model design that can capture complex facial reflections as well as intensive training on a high-quality paired video dataset, such as dynamic one-light-at-a-time (OLAT). In this work, we introduce Lux Post Facto, a novel portrait video relighting method that produces both photorealistic and temporally consistent lighting effects. From the model side, we design a new conditional video diffusion model built upon state-of-the-art pre-trained video diffusion model, alongside a new lighting injection mechanism to enable precise control. This way we leverage strong spatial and temporal generative capability to generate plausible solutions to the ill-posed relighting problem. Our technique uses a hybrid dataset consisting of static expression OLAT data and in-the-wild portrait performance videos to jointly learn relighting and temporal modeling. This avoids the need to acquire paired video data in different lighting conditions. Our extensive experiments show that our model produces state-of-the-art results both in terms of photorealism and temporal consistency.




Abstract:Generative modeling aims to transform random noise into structured outputs. In this work, we enhance video diffusion models by allowing motion control via structured latent noise sampling. This is achieved by just a change in data: we pre-process training videos to yield structured noise. Consequently, our method is agnostic to diffusion model design, requiring no changes to model architectures or training pipelines. Specifically, we propose a novel noise warping algorithm, fast enough to run in real time, that replaces random temporal Gaussianity with correlated warped noise derived from optical flow fields, while preserving the spatial Gaussianity. The efficiency of our algorithm enables us to fine-tune modern video diffusion base models using warped noise with minimal overhead, and provide a one-stop solution for a wide range of user-friendly motion control: local object motion control, global camera movement control, and motion transfer. The harmonization between temporal coherence and spatial Gaussianity in our warped noise leads to effective motion control while maintaining per-frame pixel quality. Extensive experiments and user studies demonstrate the advantages of our method, making it a robust and scalable approach for controlling motion in video diffusion models. Video results are available on our webpage: https://vgenai-netflix-eyeline-research.github.io/Go-with-the-Flow. Source code and model checkpoints are available on GitHub: https://github.com/VGenAI-Netflix-Eyeline-Research/Go-with-the-Flow.




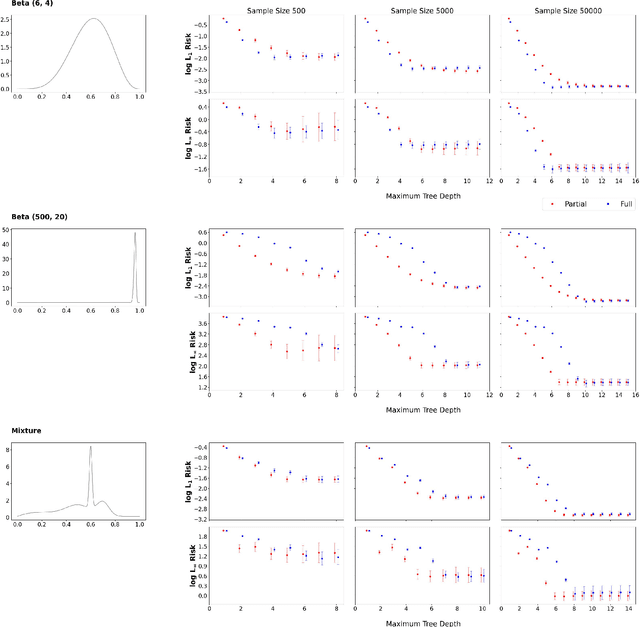
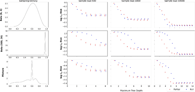
Abstract:Tree-based models for probability distributions are usually specified using a predetermined, data-independent collection of candidate recursive partitions of the sample space. To characterize an unknown target density in detail over the entire sample space, candidate partitions must have the capacity to expand deeply into all areas of the sample space with potential non-zero sampling probability. Such an expansive system of partitions often incurs prohibitive computational costs and makes inference prone to overfitting, especially in regions with little probability mass. Existing models typically make a compromise and rely on relatively shallow trees. This hampers one of the most desirable features of trees, their ability to characterize local features, and results in reduced statistical efficiency. Traditional wisdom suggests that this compromise is inevitable to ensure coherent likelihood-based reasoning, as a data-dependent partition system that allows deeper expansion only in regions with more observations would induce double dipping of the data and thus lead to inconsistent inference. We propose a simple strategy to restore coherency while allowing the candidate partitions to be data-dependent, using Cox's partial likelihood. This strategy parametrizes the tree-based sampling model according to the allocation of probability mass based on the observed data, and yet under appropriate specification, the resulting inference remains valid. Our partial likelihood approach is broadly applicable to existing likelihood-based methods and in particular to Bayesian inference on tree-based models. We give examples in density estimation in which the partial likelihood is endowed with existing priors on tree-based models and compare with the standard, full-likelihood approach. The results show substantial gains in estimation accuracy and computational efficiency from using the partial likelihood.