Abstract:In this work, we propose a general framework for wireless imaging in distributed MIMO wideband communication systems, considering multi-view non-isotropic targets and near-field propagation effects. For indoor scenarios where the objective is to image small-scale objects with high resolution, we propose a range migration algorithm (RMA)-based scheme using three kinds of array architectures: the full array, boundary array, and distributed boundary array. With non-isotropic near-field channels, we establish the Fourier transformation (FT)-based relationship between the imaging reflectivity and the distributed spatial-domain signals and discuss the corresponding theoretical properties. Next, for outdoor scenarios where the objective is to reconstruct the large-scale three-dimensional (3D) environment with coarse resolution, we propose a sparse Bayesian learning (SBL)-based algorithm to solve the multiple measurement vector (MMV) problem, which further addresses the non-isotropic reflectivity across different subcarriers. Numerical results demonstrate the effectiveness of the proposed algorithms in acquiring high-resolution small objects and accurately reconstructing large-scale environments.




Abstract:Metamaterial antennas are appealing for next-generation wireless networks due to their simplified hardware and much-reduced size, power, and cost. This paper investigates the holographic multiple-input multiple-output (HMIMO)-aided multi-cell systems with practical per-radio frequency (RF) chain power constraints. With multiple antennas at both base stations (BSs) and users, we design the baseband digital precoder and the tuning response of HMIMO metamaterial elements to maximize the weighted sum user rate. Specifically, under the framework of block coordinate descent (BCD) and weighted minimum mean square error (WMMSE) techniques, we derive the low-complexity closed-form solution for baseband precoder without requiring bisection search and matrix inversion. Then, for the design of HMIMO metamaterial elements under binary tuning constraints, we first propose a low-complexity suboptimal algorithm with closed-form solutions by exploiting the hidden convexity (HC) in the quadratic problem and then further propose an accelerated sphere decoding (SD)-based algorithm which yields global optimal solution in the iteration. For HMIMO metamaterial element design under the Lorentzian-constrained phase model, we propose a maximization-minorization (MM) algorithm with closed-form solutions at each iteration step. Furthermore, in a simplified multiple-input single-output (MISO) scenario, we derive the scaling law of downlink single-to-noise (SNR) for HMIMO with binary and Lorentzian tuning constraints and theoretically compare it with conventional fully digital/hybrid arrays. Simulation results demonstrate the effectiveness of our algorithms compared to benchmarks and the benefits of HMIMO compared to conventional arrays.




Abstract:Extremely large antenna arrays (ELAA) are regarded as a promising technology for supporting sixth-generation (6G) networks. However, the large number of antennas significantly increases the computational complexity in precoding design, even for linearly regularized zero-forcing (RZF) precoding. To address this issue, a series of low-complexity iterative precoding are investigated. The main idea of these methods is to avoid matrix inversion of RZF precoding. Specifically, RZF precoding is equivalent to a system of linear equations that can be solved by fast iterative algorithms, such as random Kaczmarz (RK) algorithm. Yet, the performance of RK-based precoding algorithm is limited by the energy distributions of multiple users, which restricts its application in ELAA-assisted systems. To accelerate the RK-based precoding, we introduce the greedy random Kaczmarz (GRK)-based precoding by using the greedy criterion-based selection strategy. To further reduce the complexity of the GRK-based precoding, we propose a visibility region (VR)-based orthogonal GRK (VR-OGRK) precoding that leverages near-field spatial non-stationarity, which is characterized by the concept of VR. Next, by utilizing the information from multiple hyperplanes in each iteration, we extend the GRK-based precoding to the aggregation hyperplane Kaczmarz (AHK)-based pecoding algorithm, which further enhances the convergence rate. Building upon the AHK algorithm, we propose a VR-based orthogonal AHK (VR-OAHK) precoding to further reduce the computational complexity. Furthermore, the proposed iterative precoding algorithms are proven to converge to RZF globally at an exponential rate. Simulation results show that the proposed algorithms achieve faster convergence and lower computational complexity than benchmark algorithms, and yield very similar performance to the RZF precoding.




Abstract:Fluid antenna system (FAS) as a new version of reconfigurable antenna technologies promoting shape and position flexibility, has emerged as an exciting and possibly transformative technology for wireless communications systems. FAS represents any software-controlled fluidic, conductive or dielectric structure that can dynamically alter antenna's shape and position to change the gain, the radiation pattern, the operating frequency, and other critical radiation characteristics. With its capability, it is highly anticipated that FAS can contribute greatly to the upcoming sixth generation (6G) wireless networks. This article substantiates this thought by addressing four major questions: 1) Is FAS crucial to 6G? 2) How to characterize FAS? 3) What are the applications of FAS? 4) What are the relevant challenges and future research directions? In particular, five promising research directions that underscore the potential of FAS are discussed. We conclude this article by showcasing the impressive performance of FAS.



Abstract:In this work, we consider the target detection problem in a multistatic integrated sensing and communication (ISAC) scenario characterized by the cell-free MIMO communication network deployment, where multiple radio units (RUs) in the network cooperate with each other for the sensing task. By exploiting the angle resolution from multiple arrays deployed in the network and the delay resolution from the communication signals, i.e., orthogonal frequency division multiplexing (OFDM) signals, we formulate a cooperative sensing problem with coherent data fusion of multiple RUs' observations and propose a sparse Bayesian learning (SBL)-based method, where the global coordinates of target locations are directly detected. Intensive numerical results indicate promising target detection performance of the proposed SBL-based method. Additionally, a theoretical analysis of the considered cooperative multistatic sensing task is provided using the pairwise error probability (PEP) analysis, which can be used to provide design insights, e.g., illumination and beam patterns, for the considered problem.




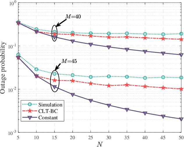
Abstract:In this correspondence, we analyze the performance of a reconfigurable intelligent surface (RIS)-aided communication system that involves a fluid antenna system (FAS)-enabled receiver. By applying the central limit theorem (CLT), we derive approximate expressions for the system outage probability when the RIS has a large number of elements. Also, we adopt the block-correlation channel model to simplify the outage probability expressions, reducing the computational complexity and shedding light on the impact of the number of ports. Numerical results validate the effectiveness of our analysis, especially in scenarios with a large number of RIS elements.




Abstract:In this paper, we investigate reconfigurable intelligent surface (RIS)-assisted communication systems which involve a fixed-antenna base station (BS) and a mobile user (MU) that is equipped with fluid antenna system (FAS). Specifically, the RIS is utilized to enable communication for the user whose direct link from the base station is blocked by obstacles. We propose a comprehensive framework that provides transmission design for both static scenarios with the knowledge of channel state information (CSI) and harsh environments where CSI is hard to acquire. It leads to two approaches: a CSI-based scheme where CSI is available, and a CSI-free scheme when CSI is inaccessible. Given the complex spatial correlations in FAS, we employ block-diagonal matrix approximation and independent antenna equivalent models to simplify the derivation of outage probabilities in both cases. Based on the derived outage probabilities, we then optimize the throughput of the FAS-RIS system. For the CSI-based scheme, we first propose a gradient ascent-based algorithm to obtain a near-optimal solution. Then, to address the possible high computational complexity in the gradient algorithm, we approximate the objective function and confirm a unique optimal solution accessible through a bisection search method. For the CSI-free scheme, we apply the partial gradient ascent algorithm, reducing complexity further than full gradient algorithms. We also approximate the objective function and derive a locally optimal closed-form solution to maximize throughput. Simulation results validate the effectiveness of the proposed framework for the transmission design in FAS-RIS systems.




Abstract:Integrating the reconfigurable intelligent surface (RIS) into a cell-free massive multiple-input multiple-output (CF-mMIMO) system is an effective solution to achieve high system capacity with low cost and power consumption. However, existing works of RIS-assisted systems mostly assumed perfect hardware, while the impact of hardware impairments (HWIs) is generally ignored. In this paper, we consider the general Rician fading channel and uplink transmission of the RIS-assisted CF-mMIMO system under transceiver impairments and RIS phase noise. To reduce the feedback overhead and power consumption, we propose a two-timescale transmission scheme to optimize the passive beamformers at RISs with statistical channel state information (CSI), while transmit beamformers at access points (APs) are designed based on instantaneous CSI. Also, the maximum ratio combining (MRC) detection is applied to the central processing unit (CPU). On this basis, we derive the closed-form approximate expression of the achievable rate, based on which the impact of HWIs and the power scaling laws are analyzed to draw useful theoretical insights. To maximize the users' sum rate or minimum rate, we first transform our rate expression into a tractable form, and then optimize the phase shifts of RISs based on an accelerated gradient ascent method. Finally, numerical results are presented to demonstrate the correctness of our derived expressions and validate the previous analysis, which provide some guidelines for the practical application of the imperfect RISs in the CF-mMIMO with transceiver HWIs.



Abstract:Reconfigurable intelligent surface (RIS)-aided localization systems have attracted extensive research attention due to their accuracy enhancement capabilities. However, most studies primarily utilized the base stations (BS) received signal, i.e., BS information, for localization algorithm design, neglecting the potential of RIS received signal, i.e., RIS information. Compared with BS information, RIS information offers higher dimension and richer feature set, thereby significantly improving the ability to extract positions of the mobile users (MUs). Addressing this oversight, this paper explores the algorithm design based on the high-dimensional RIS information. Specifically, we first propose a RIS information reconstruction (RIS-IR) algorithm to reconstruct the high-dimensional RIS information from the low-dimensional BS information. The proposed RIS-IR algorithm comprises a data processing module for preprocessing BS information, a convolution neural network (CNN) module for feature extraction, and an output module for outputting the reconstructed RIS information. Then, we propose a transfer learning based fingerprint (TFBF) algorithm that employs the reconstructed high-dimensional RIS information for MU localization. This involves adapting a pre-trained DenseNet-121 model to map the reconstructed RIS signal to the MU's three-dimensional (3D) position. Empirical results affirm that the localization performance is significantly influenced by the high-dimensional RIS information and maintains robustness against unoptimized phase shifts.




Abstract:This paper proposes a novel localization algorithm using the reconfigurable intelligent surface (RIS) received signal, i.e., RIS information. Compared with BS received signal, i.e., BS information, RIS information offers higher dimension and richer feature set, thereby providing an enhanced capacity to distinguish positions of the mobile users (MUs). Additionally, we address a practical scenario where RIS contains some unknown (number and places) faulty elements that cannot receive signals. Initially, we employ transfer learning to design a two-phase transfer learning (TPTL) algorithm, designed for accurate detection of faulty elements. Then our objective is to regain the information lost from the faulty elements and reconstruct the complete high-dimensional RIS information for localization. To this end, we propose a transfer-enhanced dual-stage (TEDS) algorithm. In \emph{Stage I}, we integrate the CNN and variational autoencoder (VAE) to obtain the RIS information, which in \emph{Stage II}, is input to the transferred DenseNet 121 to estimate the location of the MU. To gain more insight, we propose an alternative algorithm named transfer-enhanced direct fingerprint (TEDF) algorithm which only requires the BS information. The comparison between TEDS and TEDF reveals the effectiveness of faulty element detection and the benefits of utilizing the high-dimensional RIS information for localization. Besides, our empirical results demonstrate that the performance of the localization algorithm is dominated by the high-dimensional RIS information and is robust to unoptimized phase shifts and signal-to-noise ratio (SNR).