



Abstract:Fluid antenna system (FAS) as a new version of reconfigurable antenna technologies promoting shape and position flexibility, has emerged as an exciting and possibly transformative technology for wireless communications systems. FAS represents any software-controlled fluidic, conductive or dielectric structure that can dynamically alter antenna's shape and position to change the gain, the radiation pattern, the operating frequency, and other critical radiation characteristics. With its capability, it is highly anticipated that FAS can contribute greatly to the upcoming sixth generation (6G) wireless networks. This article substantiates this thought by addressing four major questions: 1) Is FAS crucial to 6G? 2) How to characterize FAS? 3) What are the applications of FAS? 4) What are the relevant challenges and future research directions? In particular, five promising research directions that underscore the potential of FAS are discussed. We conclude this article by showcasing the impressive performance of FAS.




Abstract:In this letter, we investigate the security of fluid antenna system (FAS)-reconfigurable intelligent surfaces (RIS) communication systems. The base station (BS) employs a single fixed-position antenna, while both the legitimate receiver and the eavesdropper are equipped with fluid antennas. By utilizing the block-correlation model and the central limit theorem (CLT), we derive approximate expressions for the average secrecy capacity and secrecy outage probability (SOP). Our analysis, validated by simulation results, demonstrates the effectiveness of the block-correlation model in accurately assessing the security performance. Moreover, simulation results reveal that FAS-RIS system significantly outperforms other systems in terms of security, further underscoring its potential in secure communication applications.


Abstract:In this paper, we pave the way to six-generation (6G) by investigating the outage probability (OP) of fluid antenna system (FAS)-active reconfigurable intelligent surface (ARIS) communication systems. We consider a FAS-ARIS setup consisting of a base station (BS) with a single fixed-position antenna and a receiver equipped with a fluid antenna (FA). Utilizing the block-correlation model, we derive a closed-form expression for the OP. Our analysis, supported by numerical results, confirms the accuracy and effectiveness of the derivation. Furthermore, the results demonstrate that the FAS-ARIS system significantly outperforms other configurations in terms of OP, highlighting its potential to enhance communication performance and reliability in future 6G networks.




Abstract:In this correspondence, we analyze the performance of a reconfigurable intelligent surface (RIS)-aided communication system that involves a fluid antenna system (FAS)-enabled receiver. By applying the central limit theorem (CLT), we derive approximate expressions for the system outage probability when the RIS has a large number of elements. Also, we adopt the block-correlation channel model to simplify the outage probability expressions, reducing the computational complexity and shedding light on the impact of the number of ports. Numerical results validate the effectiveness of our analysis, especially in scenarios with a large number of RIS elements.




Abstract:In this paper, we investigate reconfigurable intelligent surface (RIS)-assisted communication systems which involve a fixed-antenna base station (BS) and a mobile user (MU) that is equipped with fluid antenna system (FAS). Specifically, the RIS is utilized to enable communication for the user whose direct link from the base station is blocked by obstacles. We propose a comprehensive framework that provides transmission design for both static scenarios with the knowledge of channel state information (CSI) and harsh environments where CSI is hard to acquire. It leads to two approaches: a CSI-based scheme where CSI is available, and a CSI-free scheme when CSI is inaccessible. Given the complex spatial correlations in FAS, we employ block-diagonal matrix approximation and independent antenna equivalent models to simplify the derivation of outage probabilities in both cases. Based on the derived outage probabilities, we then optimize the throughput of the FAS-RIS system. For the CSI-based scheme, we first propose a gradient ascent-based algorithm to obtain a near-optimal solution. Then, to address the possible high computational complexity in the gradient algorithm, we approximate the objective function and confirm a unique optimal solution accessible through a bisection search method. For the CSI-free scheme, we apply the partial gradient ascent algorithm, reducing complexity further than full gradient algorithms. We also approximate the objective function and derive a locally optimal closed-form solution to maximize throughput. Simulation results validate the effectiveness of the proposed framework for the transmission design in FAS-RIS systems.


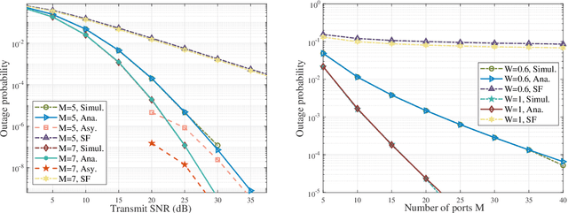
Abstract:Fluid Antenna System (FAS) is recognized as a promising technology for enhancing communication performance. In this context, we explored the potential of FAS-assisted wireless powered communication systems. Specifically, the transmitter, equipped with FAS, harvests the radio frequency (RF) signal from a power beacon and utilizes the harvested energy for data transmission to the receiver. To evaluate the performance of the considered systems, we derive both the analytical and asymptotic expressions of the outage probability. Simulation results indicate that the diversity of the considered network closely aligns with the number of ports. Besides, it is also revealed that the port selection criteria based solely on single-hop configurations yield a diversity order of only one.

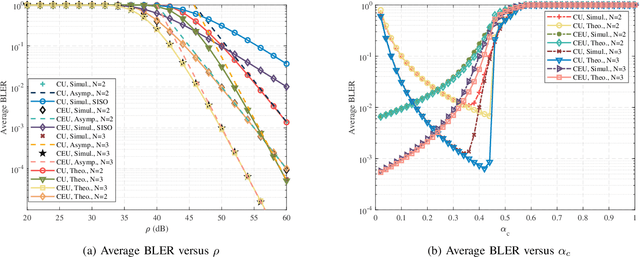
Abstract:In this paper, we investigate a fluid antenna system (FAS)-assisted downlink non-orthogonal multiple access (NOMA) for short-packet communications. The base station (BS) adopts a single fixed antenna, while both the central user (CU) and the cell-edge user (CEU) are equipped with a FAS. Each FAS comprises $N$ flexible positions (also known as ports), linked to $N$ arbitrarily correlated Rayleigh fading channels. We derive expressions for the average block error rate (BLER) of the FAS-assisted NOMA system and provide asymptotic BLER expressions. We determine that the diversity order for CU and CEU is $N$, indicating that the system performance can be considerably improved by increasing $N$. Simulation results validate the great performance of FAS.



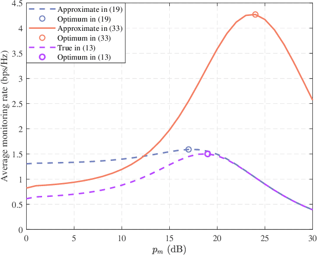
Abstract:This paper investigates the efficacy of utilizing fluid antenna system (FAS) at a legitimate monitor to oversee suspicious communication. The monitor switches the antenna position to minimize its outage probability for enhancing the monitoring performance. Our objective is to maximize the average monitoring rate, whose expression involves the integral of the first-order Marcum $Q$ function. The optimization problem, as initially posed, is non-convex owing to its objective function. Nevertheless, upon substituting with an upper bound, we provide a theoretical foundation confirming the existence of a unique optimal solution for the modified problem, achievable efficiently by the bisection search method. Furthermore, we also introduce a locally closed-form optimal resolution for maximizing the average monitoring rate. Empirical evaluations confirm that the proposed schemes outperform conventional benchmarks considerably.


Abstract:This letter investigates a fluid antenna system (FAS) where multiple ports can be activated for signal combining for enhanced receiver performance. Given $M$ ports at the FAS, the best $K$ ports out of the $M$ available ports are selected before maximum ratio combining (MRC) is used to combine the received signals from the selected ports. The aim of this letter is to study the achievable performance of FAS when more than one ports can be activated. We do so by analyzing the outage probability of this setup in Rayleigh fading channels through the utilization of Gauss-Chebyshev integration, lower bound estimation, and high signal-to-noise ratio (SNR) asymptotic approximations. Our analytical results demonstrate that FAS can harness rich spatial diversity, which is confirmed by computer simulations.