


Abstract:Fluid antenna systems (FAS) enable dynamic antenna positioning, offering new opportunities to enhance integrated sensing and communication (ISAC) performance. However, existing studies primarily focus on communication enhancement or single-target sensing, leaving multi-target scenarios underexplored. Additionally, the joint optimization of beamforming and antenna positions poses a highly non-convex problem, with traditional methods becoming impractical as the number of fluid antennas increases. To address these challenges, this letter proposes a block coordinate descent (BCD) framework integrated with a deep reinforcement learning (DRL)-based approach for intelligent antenna positioning. By leveraging the deep deterministic policy gradient (DDPG) algorithm, the proposed framework efficiently balances sensing and communication performance. Simulation results demonstrate the scalability and effectiveness of the proposed approach.




Abstract:In this paper, we analyze the role of fluid antenna systems (FAS) in multi-user systems with hardware impairments (HIs). Specifically, we investigate a scenario where a base station (BS) equipped with multiple fluid antennas communicates with multiple users (CUs), each equipped with a single fluid antenna. Our objective is to maximize the minimum communication rate among all users by jointly optimizing the BS's transmit beamforming, the positions of its transmit fluid antennas, and the positions of the CUs' receive fluid antennas. To address this non-convex problem, we propose a block coordinate descent (BCD) algorithm integrating semidefinite relaxation (SDR), rank-one constraint relaxation (SRCR), successive convex approximation (SCA), and majorization-minimization (MM). Simulation results demonstrate that FAS significantly enhances system performance and robustness, with notable gains when both the BS and CUs are equipped with fluid antennas. Even under low transmit power conditions, deploying FAS at the BS alone yields substantial performance gains. However, the effectiveness of FAS depends on the availability of sufficient movement space, as space constraints may limit its benefits compared to fixed antenna strategies. Our findings highlight the potential of FAS to mitigate HIs and enhance multi-user system performance, while emphasizing the need for practical deployment considerations.




Abstract:Fluid antenna system (FAS) as a new version of reconfigurable antenna technologies promoting shape and position flexibility, has emerged as an exciting and possibly transformative technology for wireless communications systems. FAS represents any software-controlled fluidic, conductive or dielectric structure that can dynamically alter antenna's shape and position to change the gain, the radiation pattern, the operating frequency, and other critical radiation characteristics. With its capability, it is highly anticipated that FAS can contribute greatly to the upcoming sixth generation (6G) wireless networks. This article substantiates this thought by addressing four major questions: 1) Is FAS crucial to 6G? 2) How to characterize FAS? 3) What are the applications of FAS? 4) What are the relevant challenges and future research directions? In particular, five promising research directions that underscore the potential of FAS are discussed. We conclude this article by showcasing the impressive performance of FAS.


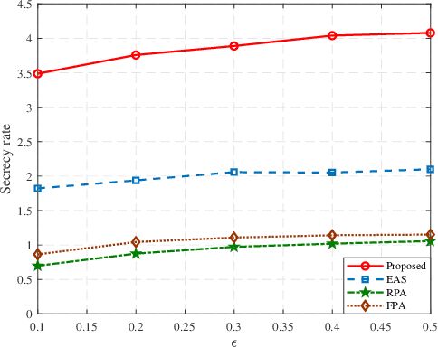
Abstract:This letter considers a fluid antenna system (FAS)-aided secure and covert communication system, where the transmitter adjusts multiple fluid antennas' positions to achieve secure and covert transmission under the threat of an eavesdropper and the detection of a warden. This letter aims to maximize the secrecy rate while satisfying the covertness constraint. Unfortunately, the optimization problem is non-convex due to the coupled variables. To tackle this, we propose an alternating optimization (AO) algorithm to alternatively optimize the optimization variables in an iterative manner. In particular, we use a penalty-based method and the majorization-minimization (MM) algorithm to optimize the transmit beamforming and fluid antennas' positions, respectively. Simulation results show that FAS can significantly improve the performance of secrecy and covertness compared to the fixed-position antenna (FPA)-based schemes.

Abstract:This letter proposes a secure beamforming design for downlink non-orthogonal multiple access (NOMA) systems utilizing fluid antenna systems (FAS). We consider a setup where a base station (BS) with $M$ fluid antennas (FAs) communicates to a cell-center user (CU) and a cell-edge user (CEU), each with a FA. The CU is the intended recipient while the CEU is regarded as a potential eavesdropper. Our aim is to maximize the achievable secrecy rate by jointly optimizing the secure beamforming vectors and the positions of FAs. To tackle this, we adopt an alternating optimization (AO) algorithm that optimizes secure beamforming and the positions of the FAs iteratively while keeping the other variables fixed. Numerical results illustrate that when FAs meet NOMA, the proposed scheme greatly enhances the secrecy rate compared to conventional multiple-input single-output (MISO) fixed antenna NOMA systems and other benchmark schemes.


Abstract:Cognitive radio (CR) networks face significant challenges in spectrum sensing, especially under spectrum scarcity. Fluid antenna systems (FAS) can offer an unorthodox solution due to their ability to dynamically adjust antenna positions for improved channel gain. In this letter, we study a FAS-driven CR setup where a secondary user (SU) adjusts the positions of fluid antennas to detect signals from the primary user (PU). We aim to maximize the detection probability under the constraints of the false alarm probability and the received beamforming of the SU. To address this problem, we first derive a closed-form expression for the optimal detection threshold and reformulate the problem to find its solution. Then an alternating optimization (AO) scheme is proposed to decompose the problem into several sub-problems, addressing both the received beamforming and the antenna positions at the SU. The beamforming subproblem is addressed using a closed-form solution, while the fluid antenna positions are solved by successive convex approximation (SCA). Simulation results reveal that the proposed algorithm provides significant improvements over traditional fixed-position antenna (FPA) schemes in terms of spectrum sensing performance.


Abstract:In this paper, we pave the way to six-generation (6G) by investigating the outage probability (OP) of fluid antenna system (FAS)-active reconfigurable intelligent surface (ARIS) communication systems. We consider a FAS-ARIS setup consisting of a base station (BS) with a single fixed-position antenna and a receiver equipped with a fluid antenna (FA). Utilizing the block-correlation model, we derive a closed-form expression for the OP. Our analysis, supported by numerical results, confirms the accuracy and effectiveness of the derivation. Furthermore, the results demonstrate that the FAS-ARIS system significantly outperforms other configurations in terms of OP, highlighting its potential to enhance communication performance and reliability in future 6G networks.




Abstract:In this paper, we conduct a theoretical analysis of how to integrate reconfigurable intelligent surfaces (RIS) with cooperative non-orthogonal multiple access (NOMA), considering URLLC. We consider a downlink two-user cooperative NOMA system employing short-packet communications, where the two users are denoted by the central user (CU) and the cell-edge user (CEU), respectively, and an RIS is deployed to enhance signal quality. Specifically, compared to CEU, CU lies nearer from BS and enjoys the higher channel gains. Closed-form expressions for the CU's average block error rate (BLER) are derived. Furthermore, we evaluate the CEU's BLER performance utilizing selective combining (SC) and derive a tight lower bound under maximum ratio combining (MRC). Simulation results are provided to our analyses and demonstrate that the RIS-assisted system significantly outperforms its counterpart without RIS in terms of BLER. Notably, MRC achieves a squared multiple of the diversity gain of the SC, leading to more reliable performance, especially for the CEU. Furthermore, by dividing the RIS into two zones, each dedicated to a specific user, the average BLER can be further reduced, particularly for the CEU.


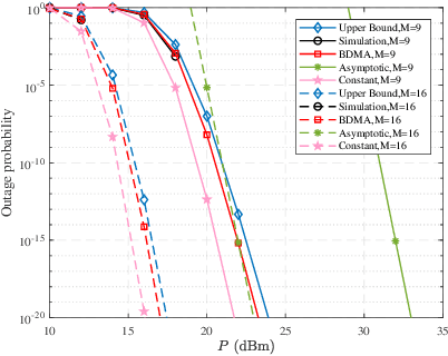
Abstract:This correspondence investigates the novel fluid antenna system (FAS) technology, combining with reconfigurable intelligent surface (RIS) for wireless communications, where a base station (BS) communicates with a FAS-enabled user with the assistance of a RIS. To analyze this technology, we derive the outage probability based on the block-diagonal matrix approximation (BDMA) model. With this, we obtain the upper bound, lower bound, and asymptotic approximation of the outage probability to gain more insights. Moreover, we design the phase shift matrix of the RIS in order to minimize the system outage probability. Simulation results confirm the accuracy of our approximations and that the proposed schemes outperform benchmarks significantly.




Abstract:In this correspondence, we analyze the performance of a reconfigurable intelligent surface (RIS)-aided communication system that involves a fluid antenna system (FAS)-enabled receiver. By applying the central limit theorem (CLT), we derive approximate expressions for the system outage probability when the RIS has a large number of elements. Also, we adopt the block-correlation channel model to simplify the outage probability expressions, reducing the computational complexity and shedding light on the impact of the number of ports. Numerical results validate the effectiveness of our analysis, especially in scenarios with a large number of RIS elements.