Abstract:The convergence of robotics and next-generation communication is a critical driver of technological advancement. As the world transitions from 5G to 6G, the foundational capabilities of wireless networks are evolving to support increasingly complex and autonomous robotic systems. This paper examines the transformative impact of 6G on enhancing key robotics functionalities. It provides a systematic mapping of IMT-2030 key performance indicators to robotic functional blocks including sensing, perception, cognition, actuation and self-learning. Building upon this mapping, we propose a high-level architectural framework integrating robotic, intelligent, and network service planes, underscoring the need for a holistic approach. As an example use case, we present a real-time, dynamic safety framework enabled by IMT-2030 capabilities for safe and efficient human-robot collaboration in shared spaces.




Abstract:Visible Light Communication (VLC) offers a promising solution to satisfy the increasing demand for wireless data. However, link blockages remain a significant challenge. This paper addresses this issue by investigating the combined use of angle diversity receivers (ADRs) and optical reconfigurable intelligent surfaces (ORISs) in multiuser VLC systems. We consider ORIS elements as small movable mirrors. We demonstrate the complementarity of ADR and ORIS in mitigating link blockages, as well as the advantages of using a larger number of ORIS elements due to the increased field-of-view (FoV) at the receiver enabled by the ADR. An optimization algorithm is proposed to maximize the minimum signal-to-noise power ratio (SNR) to deploy a fair communication network. Numerical results show that integrating ADR and ORIS significantly enhances VLC communication performance, achieving an SNR gain of up to 30 dB compared to a system without ORIS, and mitigating communication outages produced by link blockages or out-of-FoV received signals. We also prove that an ADR with a single tier of photodiodes is sufficient to complement ORIS-assisted VLC.




Abstract:The upcoming next generation of wireless communication is anticipated to revolutionize the conventional functionalities of the network by adding sensing and localization capabilities, low-power communication, wireless brain computer interactions, massive robotics and autonomous systems connection. Furthermore, the key performance indicators expected for the 6G of mobile communications promise challenging operating conditions, such as user data rates of 1 Tbps, end-to-end latency of less than 1 ms, and vehicle speeds of 1000 km per hour. This evolution needs new techniques, not only to improve communications, but also to provide localization and sensing with an efficient use of the radio resources. The goal of INTERACT Working Group 2 is to design novel physical layer technologies that can meet these KPI, by combining the data information from statistical learning with the theoretical knowledge of the transmitted signal structure. Waveforms and coding, advanced multiple-input multiple-output and all the required signal processing, in sub-6-GHz, millimeter-wave bands and upper-mid-band, are considered while aiming at designing these new communications, positioning and localization techniques. This White Paper summarizes our main approaches and contributions.
Abstract:Visible light communication (VLC) complements radio frequency in indoor environments with large wireless data traffic. However, VLC is hindered by dramatic path losses when an opaque object is interposed between the transmitter and the receiver. Prior works propose the use of plane mirrors as optical reconfigurable intelligent surfaces (ORISs) to enhance communications through non-line-of-sight links. Plane mirrors rely on their orientation to forward the light to the target user location, which is challenging to implement in practice. This paper studies the potential of curved mirrors as static reflective surfaces to provide a broadening specular reflection that increases the signal coverage in mirror-assisted VLC scenarios. We study the behavior of paraboloid and semi-spherical mirrors and derive the irradiance equations. We provide extensive numerical and analytical results and show that curved mirrors, when developed with proper dimensions, may reduce the shadowing probability to zero, while static plane mirrors of the same size have shadowing probabilities larger than 65%. Furthermore, the signal-to-noise ratio offered by curved mirrors may suffice to provide connectivity to users deployed in the room even when a line-of-sight link blockage occurs.
Abstract:This paper investigates a reconfigurable intelligent surface (RIS)-aided wideband massive multiple-input multiple-output (MIMO) orthogonal frequency division multiplexing (OFDM) system with low-resolution analog-to-digital converters (ADCs). Frequency-selective Rician fading channels are considered, and the OFDM data transmission process is presented in time domain. This paper derives the closed-form approximate expression of the uplink achievable rate, based on which the asymptotic system performance is analyzed when the number of the antennas at the base station and the number of reflecting elements at the RIS grow to infinity. Besides, the power scaling laws of the considered system are revealed to provide energy-saving insights. Furthermore, this paper proposes a gradient ascent-based algorithm to design the phase shifts of the RIS for maximizing the minimum user rate. Finally, numerical results are presented to verify the correctness of analytical conclusions and draw insights.
Abstract:Visible light communication (VLC) is a technology that complements radio frequency (RF) to fulfill the ever-increasing demand for wireless data traffic. The ubiquity of light-emitting diodes (LEDs), exploited as transmitters, increases the VLC market penetration and positions it as one of the most promising technologies to alleviate the spectrum scarcity of RF. However, VLC deployment is hindered by blockage causing connectivity outages in the presence of obstacles. Recently, optical reconfigurable intelligent surfaces (ORISs) have been considered to mitigate this problem. While prior works exploit ORISs for data or secrecy rate maximization, this paper studies the optimal placement of mirrors and ORISs, and the LED power allocation, for jointly minimizing the outage probability while keeping the lighting standards. We describe an optimal outage minimization framework and present solvable heuristics. We provide extensive numerical results and show that the use of ORISs may reduce the outage probability by up to 67% with respect to a no-mirror scenario and provide a gain of hundreds of kbit/J in optical energy efficiency with respect to the presented benchmark.



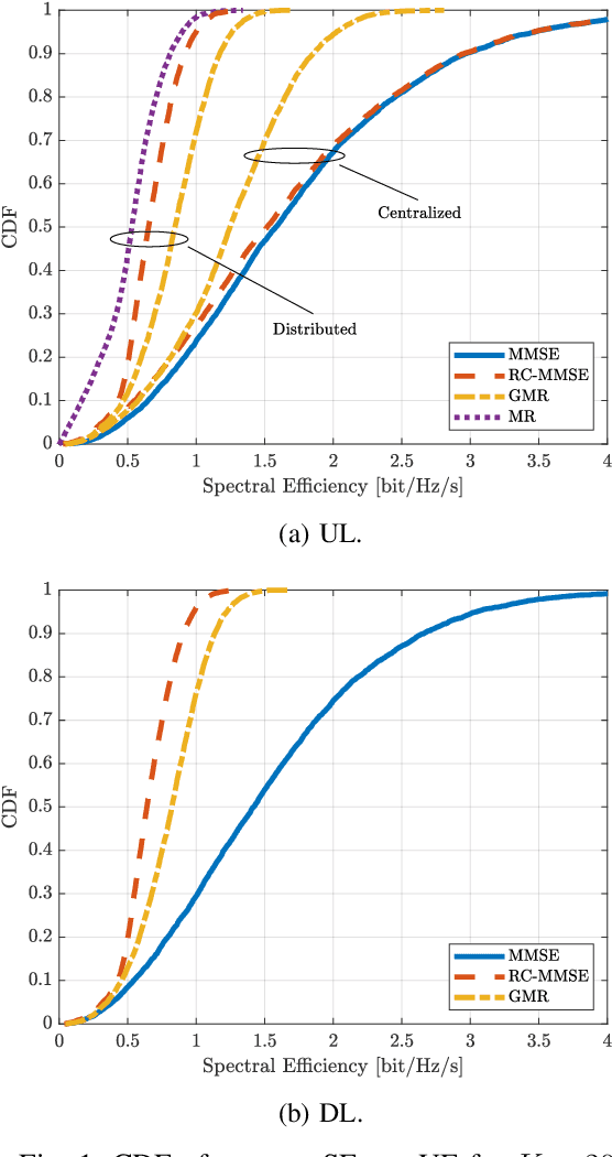
Abstract:This letter focuses on the pilot contamination problem in the uplink and downlink of cell-free massive multiple-input multiple-output networks with different degrees of cooperation between access points. The optimum minimum mean square error processing can take advantage of large-scale fading coefficients for canceling the interference of pilot-sharing user-equipments and thus achieves asymptotically unbounded capacity. However, it is computationally demanding and can only be implemented in a fully centralized network. Here, sub-optimal schemes are derived that provide unbounded capacity with linear-growing complexity and using only local channel estimates but global channel statistics. This makes them suited for both centralized and distributed networks. In this latter case, the best performance is achieved with a generalized maximum ratio combiner that maximizes a capacity bound based on channel statistics only.