



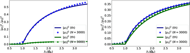
Abstract:Matrix denoising is central to signal processing and machine learning. Its analysis when the matrix to infer has a factorised structure with a rank growing proportionally to its dimension remains a challenge, except when it is rotationally invariant. In this case the information theoretic limits and a Bayes-optimal denoising algorithm, called rotational invariant estimator [1,2], are known. Beyond this setting few results can be found. The reason is that the model is not a usual spin system because of the growing rank dimension, nor a matrix model due to the lack of rotation symmetry, but rather a hybrid between the two. In this paper we make progress towards the understanding of Bayesian matrix denoising when the hidden signal is a factored matrix $XX^\intercal$ that is not rotationally invariant. Monte Carlo simulations suggest the existence of a denoising-factorisation transition separating a phase where denoising using the rotational invariant estimator remains Bayes-optimal due to universality properties of the same nature as in random matrix theory, from one where universality breaks down and better denoising is possible by exploiting the signal's prior and factorised structure, though algorithmically hard. We also argue that it is only beyond the transition that factorisation, i.e., estimating $X$ itself, becomes possible up to sign and permutation ambiguities. On the theoretical side, we combine mean-field techniques in an interpretable multiscale fashion in order to access the minimum mean-square error and mutual information. Interestingly, our alternative method yields equations which can be reproduced using the replica approach of [3]. Using numerical insights, we then delimit the portion of the phase diagram where this mean-field theory is reliable, and correct it using universality when it is not. Our ansatz matches well the numerics when accounting for finite size effects.


Abstract:We consider the task of estimating a low-rank matrix from non-linear and noisy observations. We prove a strong universality result showing that Bayes-optimal performances are characterized by an equivalent Gaussian model with an effective prior, whose parameters are entirely determined by an expansion of the non-linear function. In particular, we show that to reconstruct the signal accurately, one requires a signal-to-noise ratio growing as $N^{\frac 12 (1-1/k_F)}$, where $k_F$ is the first non-zero Fisher information coefficient of the function. We provide asymptotic characterization for the minimal achievable mean squared error (MMSE) and an approximate message-passing algorithm that reaches the MMSE under conditions analogous to the linear version of the problem. We also provide asymptotic errors achieved by methods such as principal component analysis combined with Bayesian denoising, and compare them with Bayes-optimal MMSE.


Abstract:We discuss the inhomogeneous spiked Wigner model, a theoretical framework recently introduced to study structured noise in various learning scenarios, through the prism of random matrix theory, with a specific focus on its spectral properties. Our primary objective is to find an optimal spectral method and to extend the celebrated \cite{BBP} (BBP) phase transition criterion -- well-known in the homogeneous case -- to our inhomogeneous, block-structured, Wigner model. We provide a thorough rigorous analysis of a transformed matrix and show that the transition for the appearance of 1) an outlier outside the bulk of the limiting spectral distribution and 2) a positive overlap between the associated eigenvector and the signal, occurs precisely at the optimal threshold, making the proposed spectral method optimal within the class of iterative methods for the inhomogeneous Wigner problem.
Abstract:Recently, there has been great progress in the ability of artificial intelligence (AI) algorithms to classify dermatological conditions from clinical photographs. However, little is known about the robustness of these algorithms in real-world settings where several factors can lead to a loss of generalizability. Understanding and overcoming these limitations will permit the development of generalizable AI that can aid in the diagnosis of skin conditions across a variety of clinical settings. In this retrospective study, we demonstrate that differences in skin condition distribution, rather than in demographics or image capture mode are the main source of errors when an AI algorithm is evaluated on data from a previously unseen source. We demonstrate a series of steps to close this generalization gap, requiring progressively more information about the new source, ranging from the condition distribution to training data enriched for data less frequently seen during training. Our results also suggest comparable performance from end-to-end fine tuning versus fine tuning solely the classification layer on top of a frozen embedding model. Our approach can inform the adaptation of AI algorithms to new settings, based on the information and resources available.
Abstract:In this paper, we study a spiked Wigner problem with an inhomogeneous noise profile. Our aim in this problem is to recover the signal passed through an inhomogeneous low-rank matrix channel. While the information-theoretic performances are well-known, we focus on the algorithmic problem. We derive an approximate message-passing algorithm (AMP) for the inhomogeneous problem and show that its rigorous state evolution coincides with the information-theoretic optimal Bayes fixed-point equations. We identify in particular the existence of a statistical-to-computational gap where known algorithms require a signal-to-noise ratio bigger than the information-theoretic threshold to perform better than random. Finally, from the adapted AMP iteration we deduce a simple and efficient spectral method that can be used to recover the transition for matrices with general variance profiles. This spectral method matches the conjectured optimal computational phase transition.




Abstract:Telemedicine utilization was accelerated during the COVID-19 pandemic, and skin conditions were a common use case. However, the quality of photographs sent by patients remains a major limitation. To address this issue, we developed TrueImage 2.0, an artificial intelligence (AI) model for assessing patient photo quality for telemedicine and providing real-time feedback to patients for photo quality improvement. TrueImage 2.0 was trained on 1700 telemedicine images annotated by clinicians for photo quality. On a retrospective dataset of 357 telemedicine images, TrueImage 2.0 effectively identified poor quality images (Receiver operator curve area under the curve (ROC-AUC) =0.78) and the reason for poor quality (Blurry ROC-AUC=0.84, Lighting issues ROC-AUC=0.70). The performance is consistent across age, gender, and skin tone. Next, we assessed whether patient-TrueImage 2.0 interaction led to an improvement in submitted photo quality through a prospective clinical pilot study with 98 patients. TrueImage 2.0 reduced the number of patients with a poor-quality image by 68.0%.
Abstract:Access to dermatological care is a major issue, with an estimated 3 billion people lacking access to care globally. Artificial intelligence (AI) may aid in triaging skin diseases. However, most AI models have not been rigorously assessed on images of diverse skin tones or uncommon diseases. To ascertain potential biases in algorithm performance in this context, we curated the Diverse Dermatology Images (DDI) dataset-the first publicly available, expertly curated, and pathologically confirmed image dataset with diverse skin tones. Using this dataset of 656 images, we show that state-of-the-art dermatology AI models perform substantially worse on DDI, with receiver operator curve area under the curve (ROC-AUC) dropping by 27-36 percent compared to the models' original test results. All the models performed worse on dark skin tones and uncommon diseases, which are represented in the DDI dataset. Additionally, we find that dermatologists, who typically provide visual labels for AI training and test datasets, also perform worse on images of dark skin tones and uncommon diseases compared to ground truth biopsy annotations. Finally, fine-tuning AI models on the well-characterized and diverse DDI images closed the performance gap between light and dark skin tones. Moreover, algorithms fine-tuned on diverse skin tones outperformed dermatologists on identifying malignancy on images of dark skin tones. Our findings identify important weaknesses and biases in dermatology AI that need to be addressed to ensure reliable application to diverse patients and diseases.



Abstract:More than 3 billion people lack access to care for skin disease. AI diagnostic tools may aid in early skin cancer detection; however most models have not been assessed on images of diverse skin tones or uncommon diseases. To address this, we curated the Diverse Dermatology Images (DDI) dataset - the first publicly available, pathologically confirmed images featuring diverse skin tones. We show that state-of-the-art dermatology AI models perform substantially worse on DDI, with ROC-AUC dropping 29-40 percent compared to the models' original results. We find that dark skin tones and uncommon diseases, which are well represented in the DDI dataset, lead to performance drop-offs. Additionally, we show that state-of-the-art robust training methods cannot correct for these biases without diverse training data. Our findings identify important weaknesses and biases in dermatology AI that need to be addressed to ensure reliable application to diverse patients and across all disease.




Abstract:Dense object detection and temporal tracking are needed across applications domains ranging from people-tracking to analysis of satellite imagery over time. The detection and tracking of malignant skin cancers and benign moles poses a particularly challenging problem due to the general uniformity of large skin patches, the fact that skin lesions vary little in their appearance, and the relatively small amount of data available. Here we introduce a novel data synthesis technique that merges images of individual skin lesions with full-body images and heavily augments them to generate significant amounts of data. We build a convolutional neural network (CNN) based system, trained on this synthetic data, and demonstrate superior performance to traditional detection and tracking techniques. Additionally, we compare our system to humans trained with simple criteria. Our system is intended for potential clinical use to augment the capabilities of healthcare providers. While domain-specific, we believe the methods invoked in this work will be useful in applying CNNs across domains that suffer from limited data availability.