Abstract:Pruning provides a practical solution to reduce the resources required to run large language models (LLMs) to benefit from their effective capabilities as well as control their cost for training and inference. Research on LLM pruning often ranks the importance of LLM parameters using their magnitudes and calibration-data activations and removes (or masks) the less important ones, accordingly reducing LLMs' size. However, these approaches primarily focus on preserving the LLM's ability to generate fluent sentences, while neglecting performance on specific domains and tasks. In this paper, we propose a simple yet effective pruning approach for LLMs that preserves task-specific capabilities while shrinking their parameter space. We first analyze how conventional pruning minimizes loss perturbation under general-domain calibration and extend this formulation by incorporating task-specific feature distributions into the importance computation of existing pruning algorithms. Thus, our framework computes separate importance scores using both general and task-specific calibration data, partitions parameters into shared and exclusive groups based on activation-norm differences, and then fuses their scores to guide the pruning process. This design enables our method to integrate seamlessly with various foundation pruning techniques and preserve the LLM's specialized abilities under compression. Experiments on widely used benchmarks demonstrate that our approach is effective and consistently outperforms the baselines with identical pruning ratios and different settings.
Abstract:Fine-tuning large language models (LLMs) often faces GPU memory bottlenecks: the backward pass of first-order optimizers like Adam increases memory usage to more than 10 times the inference level (e.g., 633 GB for OPT-30B). Zeroth-order (ZO) optimizers avoid this cost by estimating gradients only from forward passes, yet existing methods like MeZO usually require many more steps to converge. Can this trade-off between speed and memory in ZO be fundamentally improved? Normalized-SGD demonstrates strong empirical performance with greater memory efficiency than Adam. In light of this, we introduce FZOO, a Fast Zeroth-Order Optimizer toward Adam-Scale Speed. FZOO reduces the total forward passes needed for convergence by employing batched one-sided estimates that adapt step sizes based on the standard deviation of batch losses. It also accelerates per-batch computation through the use of Rademacher random vector perturbations coupled with CUDA's parallel processing. Extensive experiments on diverse models, including RoBERTa-large, OPT (350M-66B), Phi-2, and Llama3, across 11 tasks validate FZOO's effectiveness. On average, FZOO outperforms MeZO by 3 percent in accuracy while requiring 3 times fewer forward passes. For RoBERTa-large, FZOO achieves average improvements of 5.6 percent in accuracy and an 18 times reduction in forward passes compared to MeZO, achieving convergence speeds comparable to Adam. We also provide theoretical analysis proving FZOO's formal equivalence to a normalized-SGD update rule and its convergence guarantees. FZOO integrates smoothly into PEFT techniques, enabling even larger memory savings. Overall, our results make single-GPU, high-speed, full-parameter fine-tuning practical and point toward future work on memory-efficient pre-training.
Abstract:Deep neural networks have been increasingly used in safety-critical applications such as medical diagnosis and autonomous driving. However, many studies suggest that they are prone to being poorly calibrated and have a propensity for overconfidence, which may have disastrous consequences. In this paper, unlike standard training such as stochastic gradient descent, we show that the recently proposed sharpness-aware minimization (SAM) counteracts this tendency towards overconfidence. The theoretical analysis suggests that SAM allows us to learn models that are already well-calibrated by implicitly maximizing the entropy of the predictive distribution. Inspired by this finding, we further propose a variant of SAM, coined as CSAM, to ameliorate model calibration. Extensive experiments on various datasets, including ImageNet-1K, demonstrate the benefits of SAM in reducing calibration error. Meanwhile, CSAM performs even better than SAM and consistently achieves lower calibration error than other approaches
Abstract:We propose an enhanced zeroth-order stochastic Frank-Wolfe framework to address constrained finite-sum optimization problems, a structure prevalent in large-scale machine-learning applications. Our method introduces a novel double variance reduction framework that effectively reduces the gradient approximation variance induced by zeroth-order oracles and the stochastic sampling variance from finite-sum objectives. By leveraging this framework, our algorithm achieves significant improvements in query efficiency, making it particularly well-suited for high-dimensional optimization tasks. Specifically, for convex objectives, the algorithm achieves a query complexity of O(d \sqrt{n}/\epsilon ) to find an epsilon-suboptimal solution, where d is the dimensionality and n is the number of functions in the finite-sum objective. For non-convex objectives, it achieves a query complexity of O(d^{3/2}\sqrt{n}/\epsilon^2 ) without requiring the computation ofd partial derivatives at each iteration. These complexities are the best known among zeroth-order stochastic Frank-Wolfe algorithms that avoid explicit gradient calculations. Empirical experiments on convex and non-convex machine learning tasks, including sparse logistic regression, robust classification, and adversarial attacks on deep networks, validate the computational efficiency and scalability of our approach. Our algorithm demonstrates superior performance in both convergence rate and query complexity compared to existing methods.



Abstract:Variance reduction techniques are designed to decrease the sampling variance, thereby accelerating convergence rates of first-order (FO) and zeroth-order (ZO) optimization methods. However, in composite optimization problems, ZO methods encounter an additional variance called the coordinate-wise variance, which stems from the random gradient estimation. To reduce this variance, prior works require estimating all partial derivatives, essentially approximating FO information. This approach demands O(d) function evaluations (d is the dimension size), which incurs substantial computational costs and is prohibitive in high-dimensional scenarios. This paper proposes the Zeroth-order Proximal Double Variance Reduction (ZPDVR) method, which utilizes the averaging trick to reduce both sampling and coordinate-wise variances. Compared to prior methods, ZPDVR relies solely on random gradient estimates, calls the stochastic zeroth-order oracle (SZO) in expectation $\mathcal{O}(1)$ times per iteration, and achieves the optimal $\mathcal{O}(d(n + \kappa)\log (\frac{1}{\epsilon}))$ SZO query complexity in the strongly convex and smooth setting, where $\kappa$ represents the condition number and $\epsilon$ is the desired accuracy. Empirical results validate ZPDVR's linear convergence and demonstrate its superior performance over other related methods.
Abstract:This paper considers the distributed convex-concave minimax optimization under the second-order similarity. We propose stochastic variance-reduced optimistic gradient sliding (SVOGS) method, which takes the advantage of the finite-sum structure in the objective by involving the mini-batch client sampling and variance reduction. We prove SVOGS can achieve the $\varepsilon$-duality gap within communication rounds of ${\mathcal O}(\delta D^2/\varepsilon)$, communication complexity of ${\mathcal O}(n+\sqrt{n}\delta D^2/\varepsilon)$, and local gradient calls of $\tilde{\mathcal O}(n+(\sqrt{n}\delta+L)D^2/\varepsilon\log(1/\varepsilon))$, where $n$ is the number of nodes, $\delta$ is the degree of the second-order similarity, $L$ is the smoothness parameter and $D$ is the diameter of the constraint set. We can verify that all of above complexity (nearly) matches the corresponding lower bounds. For the specific $\mu$-strongly-convex-$\mu$-strongly-convex case, our algorithm has the upper bounds on communication rounds, communication complexity, and local gradient calls of $\mathcal O(\delta/\mu\log(1/\varepsilon))$, ${\mathcal O}((n+\sqrt{n}\delta/\mu)\log(1/\varepsilon))$, and $\tilde{\mathcal O}(n+(\sqrt{n}\delta+L)/\mu)\log(1/\varepsilon))$ respectively, which are also nearly tight. Furthermore, we conduct the numerical experiments to show the empirical advantages of proposed method.
Abstract:Fine-tuning large language models (LLMs) with classic first-order optimizers entails prohibitive GPU memory due to the backpropagation process. Recent works have turned to zeroth-order optimizers for fine-tuning, which save substantial memory by using two forward passes. However, these optimizers are plagued by the heterogeneity of parameter curvatures across different dimensions. In this work, we propose HiZOO, a diagonal Hessian informed zeroth-order optimizer which is the first work to leverage the diagonal Hessian to enhance zeroth-order optimizer for fine-tuning LLMs. What's more, HiZOO avoids the expensive memory cost and only increases one forward pass per step. Extensive experiments on various models (350M~66B parameters) indicate that HiZOO improves model convergence, significantly reducing training steps and effectively enhancing model accuracy. Moreover, we visualize the optimization trajectories of HiZOO on test functions, illustrating its effectiveness in handling heterogeneous curvatures. Lastly, we provide theoretical proofs of convergence for HiZOO. Code is publicly available at https://anonymous.4open.science/r/HiZOO27F8.
Abstract:Personalization aims to characterize individual preferences and is widely applied across many fields. However, conventional personalized methods operate in a centralized manner and potentially expose the raw data when pooling individual information. In this paper, with privacy considerations, we develop a flexible and interpretable personalized framework within the paradigm of Federated Learning, called PPFL (Population Personalized Federated Learning). By leveraging canonical models to capture fundamental characteristics among the heterogeneous population and employing membership vectors to reveal clients' preferences, it models the heterogeneity as clients' varying preferences for these characteristics and provides substantial insights into client characteristics, which is lacking in existing Personalized Federated Learning (PFL) methods. Furthermore, we explore the relationship between our method and three main branches of PFL methods: multi-task PFL, clustered FL, and decoupling PFL, and demonstrate the advantages of PPFL. To solve PPFL (a non-convex constrained optimization problem), we propose a novel random block coordinate descent algorithm and present the convergence property. We conduct experiments on both pathological and practical datasets, and the results validate the effectiveness of PPFL.




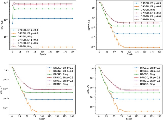
Abstract:The conjugate gradient method is a crucial first-order optimization method that generally converges faster than the steepest descent method, and its computational cost is much lower than the second-order methods. However, while various types of conjugate gradient methods have been studied in Euclidean spaces and on Riemannian manifolds, there has little study for those in distributed scenarios. This paper proposes a decentralized Riemannian conjugate gradient descent (DRCGD) method that aims at minimizing a global function over the Stiefel manifold. The optimization problem is distributed among a network of agents, where each agent is associated with a local function, and communication between agents occurs over an undirected connected graph. Since the Stiefel manifold is a non-convex set, a global function is represented as a finite sum of possibly non-convex (but smooth) local functions. The proposed method is free from expensive Riemannian geometric operations such as retractions, exponential maps, and vector transports, thereby reducing the computational complexity required by each agent. To the best of our knowledge, DRCGD is the first decentralized Riemannian conjugate gradient algorithm to achieve global convergence over the Stiefel manifold.




Abstract:The zeroth-order optimization has been widely used in machine learning applications. However, the theoretical study of the zeroth-order optimization focus on the algorithms which approximate (first-order) gradients using (zeroth-order) function value difference at a random direction. The theory of algorithms which approximate the gradient and Hessian information by zeroth-order queries is much less studied. In this paper, we focus on the theory of zeroth-order optimization which utilizes both the first-order and second-order information approximated by the zeroth-order queries. We first propose a novel reparameterized objective function with parameters $(\mu, \Sigma)$. This reparameterized objective function achieves its optimum at the minimizer and the Hessian inverse of the original objective function respectively, but with small perturbations. Accordingly, we propose a new algorithm to minimize our proposed reparameterized objective, which we call \texttt{MiNES} (mirror descent natural evolution strategy). We show that the estimated covariance matrix of \texttt{MiNES} converges to the inverse of Hessian matrix of the objective function with a convergence rate $\widetilde{\mathcal{O}}(1/k)$, where $k$ is the iteration number and $\widetilde{\mathcal{O}}(\cdot)$ hides the constant and $\log$ terms. We also provide the explicit convergence rate of \texttt{MiNES} and how the covariance matrix promotes the convergence rate.