



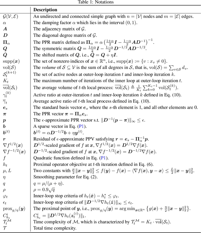
Abstract:This work proposes a novel framework based on nested evolving set processes to accelerate Personalized PageRank (PPR) computation. At each stage of the process, we employ a localized inexact proximal point iteration to solve a simplified linear system. We show that the time complexity of such localized methods is upper bounded by $\min\{\tilde{\mathcal{O}}(R^2/\epsilon^2), \tilde{\mathcal{O}}(m)\}$ to obtain an $\epsilon$-approximation of the PPR vector, where $m$ denotes the number of edges in the graph and $R$ is a constant defined via nested evolving set processes. Furthermore, the algorithms induced by our framework require solving only $\tilde{\mathcal{O}}(1/\sqrt{\alpha})$ such linear systems, where $\alpha$ is the damping factor. When $1/\epsilon^2\ll m$, this implies the existence of an algorithm that computes an $\ epsilon $-approximation of the PPR vector with an overall time complexity of $\tilde{\mathcal{O}}\left(R^2 / (\sqrt{\alpha}\epsilon^2)\right)$, independent of the underlying graph size. Our result resolves an open conjecture from existing literature. Experimental results on real-world graphs validate the efficiency of our methods, demonstrating significant convergence in the early stages.




Abstract:This paper considers the smooth bilevel optimization in which the lower-level problem is strongly convex and the upper-level problem is possibly nonconvex. We focus on the stochastic setting that the algorithm can access the unbiased stochastic gradient evaluation with heavy-tailed noise, which is prevalent in many machine learning applications such as training large language models and reinforcement learning. We propose a nested-loop normalized stochastic bilevel approximation (N$^2$SBA) for finding an $\epsilon$-stationary point with the stochastic first-order oracle (SFO) complexity of $\tilde{\mathcal{O}}\big(\kappa^{\frac{7p-3}{p-1}} \sigma^{\frac{p}{p-1}} \epsilon^{-\frac{4 p - 2}{p-1}}\big)$, where $\kappa$ is the condition number, $p\in(1,2]$ is the order of central moment for the noise, and $\sigma$ is the noise level. Furthermore, we specialize our idea to solve the nonconvex-strongly-concave minimax optimization problem, achieving an $\epsilon$-stationary point with the SFO complexity of $\tilde{\mathcal O}\big(\kappa^{\frac{2p-1}{p-1}} \sigma^{\frac{p}{p-1}} \epsilon^{-\frac{3p-2}{p-1}}\big)$. All above upper bounds match the best-known results under the special case of the bounded variance setting, i.e., $p=2$.
Abstract:This paper studies decentralized optimization problem $f(\mathbf{x})=\frac{1}{m}\sum_{i=1}^m f_i(\mathbf{x})$, where each local function has the form of $f_i(\mathbf{x}) = {\mathbb E}\left[F(\mathbf{x};{\xi}_i)\right]$ which is $(L_0,L_1)$-smooth but possibly nonconvex and the random variable ${\xi}_i$ follows distribution ${\mathcal D}_i$. We propose a novel algorithm called decentralized normalized stochastic gradient descent (DNSGD), which can achieve the $\epsilon$-stationary point on each local agent. We present a new framework for analyzing decentralized first-order methods in the relaxed smooth setting, based on the Lyapunov function related to the product of the gradient norm and the consensus error. The analysis shows upper bounds on sample complexity of ${\mathcal O}(m^{-1}(L_f\sigma^2\Delta_f\epsilon^{-4} + \sigma^2\epsilon^{-2} + L_f^{-2}L_1^3\sigma^2\Delta_f\epsilon^{-1} + L_f^{-2}L_1^2\sigma^2))$ per agent and communication complexity of $\tilde{\mathcal O}((L_f\epsilon^{-2} + L_1\epsilon^{-1})\gamma^{-1/2}\Delta_f)$, where $L_f=L_0 +L_1\zeta$, $\sigma^2$ is the variance of the stochastic gradient, $\Delta_f$ is the initial optimal function value gap, $\gamma$ is the spectral gap of the network, and $\zeta$ is the degree of the gradient dissimilarity. In the special case of $L_1=0$, the above results (nearly) match the lower bounds on decentralized nonconvex optimization in the standard smooth setting. We also conduct numerical experiments to show the empirical superiority of our method.
Abstract:Previous algorithms can solve convex-concave minimax problems $\min_{x \in \mathcal{X}} \max_{y \in \mathcal{Y}} f(x,y)$ with $\mathcal{O}(\epsilon^{-2/3})$ second-order oracle calls using Newton-type methods. This result has been speculated to be optimal because the upper bound is achieved by a natural generalization of the optimal first-order method. In this work, we show an improved upper bound of $\tilde{\mathcal{O}}(\epsilon^{-4/7})$ by generalizing the optimal second-order method for convex optimization to solve the convex-concave minimax problem. We further apply a similar technique to lazy Hessian algorithms and show that our proposed algorithm can also be seen as a second-order ``Catalyst'' framework (Lin et al., JMLR 2018) that could accelerate any globally convergent algorithms for solving minimax problems.




Abstract:This paper addresses the challenge of solving large-scale nonlinear equations with H\"older continuous Jacobians. We introduce a novel Incremental Gauss--Newton (IGN) method within explicit superlinear convergence rate, which outperforms existing methods that only achieve linear convergence rate. In particular, we formulate our problem by the nonlinear least squares with finite-sum structure, and our method incrementally iterates with the information of one component in each round. We also provide a mini-batch extension to our IGN method that obtains an even faster superlinear convergence rate. Furthermore, we conduct numerical experiments to show the advantages of the proposed methods.
Abstract:This paper considers the distributed convex-concave minimax optimization under the second-order similarity. We propose stochastic variance-reduced optimistic gradient sliding (SVOGS) method, which takes the advantage of the finite-sum structure in the objective by involving the mini-batch client sampling and variance reduction. We prove SVOGS can achieve the $\varepsilon$-duality gap within communication rounds of ${\mathcal O}(\delta D^2/\varepsilon)$, communication complexity of ${\mathcal O}(n+\sqrt{n}\delta D^2/\varepsilon)$, and local gradient calls of $\tilde{\mathcal O}(n+(\sqrt{n}\delta+L)D^2/\varepsilon\log(1/\varepsilon))$, where $n$ is the number of nodes, $\delta$ is the degree of the second-order similarity, $L$ is the smoothness parameter and $D$ is the diameter of the constraint set. We can verify that all of above complexity (nearly) matches the corresponding lower bounds. For the specific $\mu$-strongly-convex-$\mu$-strongly-convex case, our algorithm has the upper bounds on communication rounds, communication complexity, and local gradient calls of $\mathcal O(\delta/\mu\log(1/\varepsilon))$, ${\mathcal O}((n+\sqrt{n}\delta/\mu)\log(1/\varepsilon))$, and $\tilde{\mathcal O}(n+(\sqrt{n}\delta+L)/\mu)\log(1/\varepsilon))$ respectively, which are also nearly tight. Furthermore, we conduct the numerical experiments to show the empirical advantages of proposed method.




Abstract:We consider the finite-sum optimization problem, where each component function is strongly convex and has Lipschitz continuous gradient and Hessian. The recently proposed incremental quasi-Newton method is based on BFGS update and achieves a local superlinear convergence rate that is dependent on the condition number of the problem. This paper proposes a more efficient quasi-Newton method by incorporating the symmetric rank-1 update into the incremental framework, which results in the condition-number-free local superlinear convergence rate. Furthermore, we can boost our method by applying the block update on the Hessian approximation, which leads to an even faster local convergence rate. The numerical experiments show the proposed methods significantly outperform the baseline methods.
Abstract:This paper considers the optimization problem of the form $\min_{{\bf x}\in{\mathbb R}^d} f({\bf x})\triangleq \frac{1}{n}\sum_{i=1}^n f_i({\bf x})$, where $f(\cdot)$ satisfies the Polyak--{\L}ojasiewicz (PL) condition with parameter $\mu$ and $\{f_i(\cdot)\}_{i=1}^n$ is $L$-mean-squared smooth. We show that any gradient method requires at least $\Omega(n+\kappa\sqrt{n}\log(1/\epsilon))$ incremental first-order oracle (IFO) calls to find an $\epsilon$-suboptimal solution, where $\kappa\triangleq L/\mu$ is the condition number of the problem. This result nearly matches upper bounds of IFO complexity for best-known first-order methods. We also study the problem of minimizing the PL function in the distributed setting such that the individuals $f_1(\cdot),\dots,f_n(\cdot)$ are located on a connected network of $n$ agents. We provide lower bounds of $\Omega(\kappa/\sqrt{\gamma}\,\log(1/\epsilon))$, $\Omega((\kappa+\tau\kappa/\sqrt{\gamma}\,)\log(1/\epsilon))$ and $\Omega\big(n+\kappa\sqrt{n}\log(1/\epsilon)\big)$ for communication rounds, time cost and local first-order oracle calls respectively, where $\gamma\in(0,1]$ is the spectral gap of the mixing matrix associated with the network and~$\tau>0$ is the time cost of per communication round. Furthermore, we propose a decentralized first-order method that nearly matches above lower bounds in expectation.
Abstract:This paper considers stochastic first-order algorithms for minimax optimization under Polyak--{\L}ojasiewicz (PL) conditions. We propose SPIDER-GDA for solving the finite-sum problem of the form $\min_x \max_y f(x,y)\triangleq \frac{1}{n} \sum_{i=1}^n f_i(x,y)$, where the objective function $f(x,y)$ is $\mu_x$-PL in $x$ and $\mu_y$-PL in $y$; and each $f_i(x,y)$ is $L$-smooth. We prove SPIDER-GDA could find an $\epsilon$-optimal solution within ${\mathcal O}\left((n + \sqrt{n}\,\kappa_x\kappa_y^2)\log (1/\epsilon)\right)$ stochastic first-order oracle (SFO) complexity, which is better than the state-of-the-art method whose SFO upper bound is ${\mathcal O}\big((n + n^{2/3}\kappa_x\kappa_y^2)\log (1/\epsilon)\big)$, where $\kappa_x\triangleq L/\mu_x$ and $\kappa_y\triangleq L/\mu_y$. For the ill-conditioned case, we provide an accelerated algorithm to reduce the computational cost further. It achieves $\tilde{{\mathcal O}}\big((n+\sqrt{n}\,\kappa_x\kappa_y)\log^2 (1/\epsilon)\big)$ SFO upper bound when $\kappa_y \gtrsim \sqrt{n}$. Our ideas also can be applied to the more general setting that the objective function only satisfies PL condition for one variable. Numerical experiments validate the superiority of proposed methods.




Abstract:We present a method for solving general nonconvex-strongly-convex bilevel optimization problems. Our method -- the \emph{Restarted Accelerated HyperGradient Descent} (\texttt{RAHGD}) method -- finds an $\epsilon$-first-order stationary point of the objective with $\tilde{\mathcal{O}}(\kappa^{3.25}\epsilon^{-1.75})$ oracle complexity, where $\kappa$ is the condition number of the lower-level objective and $\epsilon$ is the desired accuracy. We also propose a perturbed variant of \texttt{RAHGD} for finding an $\big(\epsilon,\mathcal{O}(\kappa^{2.5}\sqrt{\epsilon}\,)\big)$-second-order stationary point within the same order of oracle complexity. Our results achieve the best-known theoretical guarantees for finding stationary points in bilevel optimization and also improve upon the existing upper complexity bound for finding second-order stationary points in nonconvex-strongly-concave minimax optimization problems, setting a new state-of-the-art benchmark. Empirical studies are conducted to validate the theoretical results in this paper.