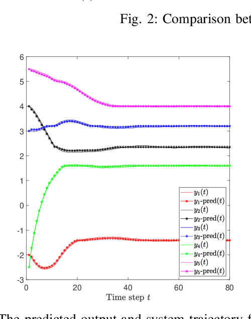
Abstract:Ensuring safety in cyber-physical systems (CPSs) is a critical challenge, especially when system models are difficult to obtain or cannot be fully trusted due to uncertainty, modeling errors, or environmental disturbances. Traditional model-based approaches rely on precise system dynamics, which may not be available in real-world scenarios. To address this, we propose a data-driven safety verification framework that leverages matrix zonotopes and barrier certificates to verify system safety directly from noisy data. Instead of trusting a single unreliable model, we construct a set of models that capture all possible system dynamics that align with the observed data, ensuring that the true system model is always contained within this set. This model set is compactly represented using matrix zonotopes, enabling efficient computation and propagation of uncertainty. By integrating this representation into a barrier certificate framework, we establish rigorous safety guarantees without requiring an explicit system model. Numerical experiments demonstrate the effectiveness of our approach in verifying safety for dynamical systems with unknown models, showcasing its potential for real-world CPS applications.




Abstract:Autonomous vehicle path planning has reached a stage where safety and regulatory compliance are crucial. This paper presents a new approach that integrates a motion planner with a deep reinforcement learning model to predict potential traffic rule violations. In this setup, the predictions of the critic directly affect the cost function of the motion planner, guiding the choices of the trajectory. We incorporate key interstate rules from the German Road Traffic Regulation into a rule book and use a graph-based state representation to handle complex traffic information. Our main innovation is replacing the standard actor network in an actor-critic setup with a motion planning module, which ensures both predictable trajectory generation and prevention of long-term rule violations. Experiments on an open German highway dataset show that the model can predict and prevent traffic rule violations beyond the planning horizon, significantly increasing safety in challenging traffic conditions.




Abstract:The deployment of Large Language Models (LLMs) in robotic systems presents unique safety challenges, particularly in unpredictable environments. Although LLMs, leveraging zero-shot learning, enhance human-robot interaction and decision-making capabilities, their inherent probabilistic nature and lack of formal guarantees raise significant concerns for safety-critical applications. Traditional model-based verification approaches often rely on precise system models, which are difficult to obtain for real-world robotic systems and may not be fully trusted due to modeling inaccuracies, unmodeled dynamics, or environmental uncertainties. To address these challenges, this paper introduces a safety assurance framework for LLM-controlled robots based on data-driven reachability analysis, a formal verification technique that ensures all possible system trajectories remain within safe operational limits. Our framework specifically investigates the problem of instructing an LLM to navigate the robot to a specified goal and assesses its ability to generate low-level control actions that successfully guide the robot safely toward that goal. By leveraging historical data to construct reachable sets of states for the robot-LLM system, our approach provides rigorous safety guarantees against unsafe behaviors without relying on explicit analytical models. We validate the framework through experimental case studies in autonomous navigation and task planning, demonstrating its effectiveness in mitigating risks associated with LLM-generated commands. This work advances the integration of formal methods into LLM-based robotics, offering a principled and practical approach to ensuring safety in next-generation autonomous systems.




Abstract:The ability to perceive and comprehend a traffic situation and to predict the intent of vehicles and road-users in the surrounding of the ego-vehicle is known as situational awareness. Situational awareness for a heavy-duty autonomous vehicle is a critical part of the automation platform and is dependent on the ego-vehicle's field-of-view. But when it comes to the urban scenario, the field-of-view of the ego-vehicle is likely to be affected by occlusion and blind spots caused by infrastructure, moving vehicles, and parked vehicles. This paper proposes a framework to improve situational awareness using set-membership estimation and vehicle-to-everything (V2X) communication. This framework provides safety guarantees and can adapt to dynamically changing scenarios, and is integrated into an existing complex autonomous platform. A detailed description of the framework implementation and real-time results are illustrated in this paper.
Abstract:Reinforcement learning (RL) algorithms can achieve state-of-the-art performance in decision-making and continuous control tasks. However, applying RL algorithms on safety-critical systems still needs to be well justified due to the exploration nature of many RL algorithms, especially when the model of the robot and the environment are unknown. To address this challenge, we propose a data-driven safety layer that acts as a filter for unsafe actions. The safety layer uses a data-driven predictive controller to enforce safety guarantees for RL policies during training and after deployment. The RL agent proposes an action that is verified by computing the data-driven reachability analysis. If there is an intersection between the reachable set of the robot using the proposed action, we call the data-driven predictive controller to find the closest safe action to the proposed unsafe action. The safety layer penalizes the RL agent if the proposed action is unsafe and replaces it with the closest safe one. In the simulation, we show that our method outperforms state-of-the-art safe RL methods on the robotics navigation problem for a Turtlebot 3 in Gazebo and a quadrotor in Unreal Engine 4 (UE4).




Abstract:Reinforcement learning (RL) is capable of sophisticated motion planning and control for robots in uncertain environments. However, state-of-the-art deep RL approaches typically lack safety guarantees, especially when the robot and environment models are unknown. To justify widespread deployment, robots must respect safety constraints without sacrificing performance. Thus, we propose a Black-box Reachability-based Safety Layer (BRSL) with three main components: (1) data-driven reachability analysis for a black-box robot model, (2) a trajectory rollout planner that predicts future actions and observations using an ensemble of neural networks trained online, and (3) a differentiable polytope collision check between the reachable set and obstacles that enables correcting unsafe actions. In simulation, BRSL outperforms other state-of-the-art safe RL methods on a Turtlebot 3, a quadrotor, and a trajectory-tracking point mass with an unsafe set adjacent to the area of highest reward.

Abstract:This paper proposes a data-driven set-based estimation algorithm for a class of nonlinear systems with polynomial nonlinearities. Using the system's input-output data, the proposed method computes in real-time a set that guarantees the inclusion of the system's state. Although the system is assumed to be polynomial type, the exact polynomial functions and their coefficients need not be known. To this end, the estimator relies on offline and online phases. The offline phase utilizes past input-output data to estimate a set of possible coefficients of the polynomial system. Then, using this estimated set of coefficients and the side information about the system, the online phase provides a set estimate of the state. Finally, the proposed methodology is evaluated through its application on SIR (Susceptible, Infected, Recovered) epidemic model.




Abstract:This paper presents algorithms for performing data-driven reachability analysis under temporal logic side information. In certain scenarios, the data-driven reachable sets of a robot can be prohibitively conservative due to the inherent noise in the robot's historical measurement data. In the same scenarios, we often have side information about the robot's expected motion (e.g., limits on how much a robot can move in a one-time step) that could be useful for further specifying the reachability analysis. In this work, we show that if we can model this side information using a signal temporal logic (STL) fragment, we can constrain the data-driven reachability analysis and safely limit the conservatism of the computed reachable sets. Moreover, we provide formal guarantees that, even after incorporating side information, the computed reachable sets still properly over-approximate the robot's future states. Lastly, we empirically validate the practicality of the over-approximation by computing constrained, data-driven reachable sets for the Small-Vehicles-for-Autonomy (SVEA) hardware platform in two driving scenarios.




Abstract:We consider the problem of computing reachable sets directly from noisy data without a given system model. Several reachability algorithms are presented, and their accuracy is shown to depend on the underlying system generating the data. First, an algorithm for computing over-approximated reachable sets based on matrix zonotopes is proposed for linear systems. Constrained matrix zonotopes are introduced to provide less conservative reachable sets at the cost of increased computational expenses and utilized to incorporate prior knowledge about the unknown system model. Then we extend the approach to polynomial systems and under the assumption of Lipschitz continuity to nonlinear systems. Theoretical guarantees are given for these algorithms in that they give a proper over-approximative reachable set containing the true reachable set. Multiple numerical examples show the applicability of the introduced algorithms, and accuracy comparisons are made between algorithms.




Abstract:We present a robust data-driven control scheme for unknown linear systems with a bounded process and measurement noise. Instead of depending on a system model as in traditional predictive control, a controller utilizing data-driven reachable regions is proposed. The data-driven reachable regions are based on a matrix zonotope recursion and are computed based on only noisy input-output data of a trajectory of the system. We assume that measurement and process noise are contained in bounded sets. While we assume knowledge of these bounds, no knowledge about the statistical properties of the noise is assumed. In the noise-free case, we prove that the presented purely data-driven control scheme results in an equivalent closed-loop behavior to a nominal model predictive control scheme. In the case of measurement and process noise, our proposed scheme guarantees robust constraint satisfaction, which is essential in safety-critical applications. Numerical experiments show the effectiveness of the proposed data-driven controller in comparison to model-based control schemes.