



Abstract:In deep time series forecasting, the Fourier Transform (FT) is extensively employed for frequency representation learning. However, it often struggles in capturing multi-scale, time-sensitive patterns. Although the Wavelet Transform (WT) can capture these patterns through frequency decomposition, its coefficients are insensitive to change points in time series, leading to suboptimal modeling. To mitigate these limitations, we introduce the multi-order Wavelet Derivative Transform (WDT) grounded in the WT, enabling the extraction of time-aware patterns spanning both the overall trend and subtle fluctuations. Compared with the standard FT and WT, which model the raw series, the WDT operates on the derivative of the series, selectively magnifying rate-of-change cues and exposing abrupt regime shifts that are particularly informative for time series modeling. Practically, we embed the WDT into a multi-branch framework named WaveTS, which decomposes the input series into multi-scale time-frequency coefficients, refines them via linear layers, and reconstructs them into the time domain via the inverse WDT. Extensive experiments on ten benchmark datasets demonstrate that WaveTS achieves state-of-the-art forecasting accuracy while retaining high computational efficiency.
Abstract:Deep neural networks excel in medical imaging but remain prone to biases, leading to fairness gaps across demographic groups. We provide the first systematic exploration of Human-AI alignment and fairness in this domain. Our results show that incorporating human insights consistently reduces fairness gaps and enhances out-of-domain generalization, though excessive alignment can introduce performance trade-offs, emphasizing the need for calibrated strategies. These findings highlight Human-AI alignment as a promising approach for developing fair, robust, and generalizable medical AI systems, striking a balance between expert guidance and automated efficiency. Our code is available at https://github.com/Roypic/Aligner.
Abstract:Black-Box prompt optimization methods have emerged as a promising strategy for refining input prompts to better align large language models (LLMs), thereby enhancing their task performance. Although these methods have demonstrated encouraging results, most studies and experiments have primarily focused on smaller-scale models (e.g., 7B, 14B) or earlier versions (e.g., GPT-3.5) of LLMs. As the scale of LLMs continues to increase, such as with DeepSeek V3 (671B), it remains an open question whether these black-box optimization techniques will continue to yield significant performance improvements for models of such scale. In response to this, we select three well-known black-box optimization methods and evaluate them on large-scale LLMs (DeepSeek V3 and Gemini 2.0 Flash) across four NLU and NLG datasets. The results show that these black-box prompt optimization methods offer only limited improvements on these large-scale LLMs. Furthermore, we hypothesize that the scale of the model is the primary factor contributing to the limited benefits observed. To explore this hypothesis, we conducted experiments on LLMs of varying sizes (Qwen 2.5 series, ranging from 7B to 72B) and observed an inverse scaling law, wherein the effectiveness of black-box optimization methods diminished as the model size increased.




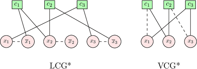
Abstract:In this contribution, we provide a comprehensive evaluation of graph neural networks applied to Boolean satisfiability problems, accompanied by an intuitive explanation of the mechanisms enabling the model to generalize to different instances. We introduce several training improvements, particularly a novel closest assignment supervision method that dynamically adapts to the model's current state, significantly enhancing performance on problems with larger solution spaces. Our experiments demonstrate the suitability of variable-clause graph representations with recurrent neural network updates, which achieve good accuracy on SAT assignment prediction while reducing computational demands. We extend the base graph neural network into a diffusion model that facilitates incremental sampling and can be effectively combined with classical techniques like unit propagation. Through analysis of embedding space patterns and optimization trajectories, we show how these networks implicitly perform a process very similar to continuous relaxations of MaxSAT, offering an interpretable view of their reasoning process. This understanding guides our design choices and explains the ability of recurrent architectures to scale effectively at inference time beyond their training distribution, which we demonstrate with test-time scaling experiments.




Abstract:Workflows play a crucial role in enhancing enterprise efficiency by orchestrating complex processes with multiple tools or components. However, hand-crafted workflow construction requires expert knowledge, presenting significant technical barriers. Recent advancements in Large Language Models (LLMs) have improved the generation of workflows from natural language instructions (aka NL2Workflow), yet existing single LLM agent-based methods face performance degradation on complex tasks due to the need for specialized knowledge and the strain of task-switching. To tackle these challenges, we propose WorkTeam, a multi-agent NL2Workflow framework comprising a supervisor, orchestrator, and filler agent, each with distinct roles that collaboratively enhance the conversion process. As there are currently no publicly available NL2Workflow benchmarks, we also introduce the HW-NL2Workflow dataset, which includes 3,695 real-world business samples for training and evaluation. Experimental results show that our approach significantly increases the success rate of workflow construction, providing a novel and effective solution for enterprise NL2Workflow services.
Abstract:Change detection is a key task in Earth observation applications. Recently, deep learning methods have demonstrated strong performance and widespread application. However, change detection faces data scarcity due to the labor-intensive process of accurately aligning remote sensing images of the same area, which limits the performance of deep learning algorithms. To address the data scarcity issue, we develop a fine-tuning strategy called the Semantic Change Network (SCN). We initially pre-train the model on single-temporal supervised tasks to acquire prior knowledge of instance feature extraction. The model then employs a shared-weight Siamese architecture and extended Temporal Fusion Module (TFM) to preserve this prior knowledge and is fine-tuned on change detection tasks. The learned semantics for identifying all instances is changed to focus on identifying only the changes. Meanwhile, we observe that the locations of changes between the two images are spatially identical, a concept we refer to as spatial consistency. We introduce this inductive bias through an attention map that is generated by large-kernel convolutions and applied to the features from both time points. This enhances the modeling of multi-scale changes and helps capture underlying relationships in change detection semantics. We develop a binary change detection model utilizing these two strategies. The model is validated against state-of-the-art methods on six datasets, surpassing all benchmark methods and achieving F1 scores of 92.87%, 86.43%, 68.95%, 97.62%, 84.58%, and 93.20% on the LEVIR-CD, LEVIR-CD+, S2Looking, CDD, SYSU-CD, and WHU-CD datasets, respectively.




Abstract:Unsafe prompts pose significant safety risks to large language models (LLMs). Existing methods for detecting unsafe prompts rely on data-driven fine-tuning to train guardrail models, necessitating significant data and computational resources. In contrast, recent few-shot gradient-based methods emerge, requiring only few safe and unsafe reference prompts. A gradient-based approach identifies unsafe prompts by analyzing consistent patterns of the gradients of safety-critical parameters in LLMs. Although effective, its restriction to directional similarity (cosine similarity) introduces ``directional bias'', limiting its capability to identify unsafe prompts. To overcome this limitation, we introduce GradCoo, a novel gradient co-occurrence analysis method that expands the scope of safety-critical parameter identification to include unsigned gradient similarity, thereby reducing the impact of ``directional bias'' and enhancing the accuracy of unsafe prompt detection. Comprehensive experiments on the widely-used benchmark datasets ToxicChat and XStest demonstrate that our proposed method can achieve state-of-the-art (SOTA) performance compared to existing methods. Moreover, we confirm the generalizability of GradCoo in detecting unsafe prompts across a range of LLM base models with various sizes and origins.




Abstract:Large Language Models (LLMs) often generate inconsistent responses when prompted with semantically equivalent paraphrased inputs. Recently, activation steering, a technique that modulates LLM behavior by adjusting their latent representations during inference time, has been explored to improve the semantic consistency of LLMs. However, these methods typically operate at the model component level, such as layer hidden states or attention heads. They face a challenge due to the ``polysemanticity issue'', where the model components of LLMs typically encode multiple entangled features, making precise steering difficult. To address this challenge, we drill down to feature-level representations and propose LF-Steering, a novel activation steering approach to precisely identify latent feature representations responsible for semantic inconsistency. More specifically, our method maps the hidden states of relevant transformer layer into a sparsely activated, high-dimensional feature space based on a sparse autoencoder (SAE), ensuring model steering based on decoupled feature representations with minimal interference. Comprehensive experiments on both NLU and NLG datasets demonstrate the effectiveness of our method in enhancing semantic consistency, resulting in significant performance gains for various NLU and NLG tasks.
Abstract:Medical images acquired from standardized protocols show consistent macroscopic or microscopic anatomical structures, and these structures consist of composable/decomposable organs and tissues, but existing self-supervised learning (SSL) methods do not appreciate such composable/decomposable structure attributes inherent to medical images. To overcome this limitation, this paper introduces a novel SSL approach called ACE to learn anatomically consistent embedding via composition and decomposition with two key branches: (1) global consistency, capturing discriminative macro-structures via extracting global features; (2) local consistency, learning fine-grained anatomical details from composable/decomposable patch features via corresponding matrix matching. Experimental results across 6 datasets 2 backbones, evaluated in few-shot learning, fine-tuning, and property analysis, show ACE's superior robustness, transferability, and clinical potential. The innovations of our ACE lie in grid-wise image cropping, leveraging the intrinsic properties of compositionality and decompositionality of medical images, bridging the semantic gap from high-level pathologies to low-level tissue anomalies, and providing a new SSL method for medical imaging.
Abstract:Multimodal neuroimaging modeling has becomes a widely used approach but confronts considerable challenges due to heterogeneity, which encompasses variability in data types, scales, and formats across modalities. This variability necessitates the deployment of advanced computational methods to integrate and interpret these diverse datasets within a cohesive analytical framework. In our research, we amalgamate functional magnetic resonance imaging, diffusion tensor imaging, and structural MRI into a cohesive framework. This integration capitalizes on the unique strengths of each modality and their inherent interconnections, aiming for a comprehensive understanding of the brain's connectivity and anatomical characteristics. Utilizing the Glasser atlas for parcellation, we integrate imaging derived features from various modalities: functional connectivity from fMRI, structural connectivity from DTI, and anatomical features from sMRI within consistent regions. Our approach incorporates a masking strategy to differentially weight neural connections, thereby facilitating a holistic amalgamation of multimodal imaging data. This technique enhances interpretability at connectivity level, transcending traditional analyses centered on singular regional attributes. The model is applied to the Human Connectome Project's Development study to elucidate the associations between multimodal imaging and cognitive functions throughout youth. The analysis demonstrates improved predictive accuracy and uncovers crucial anatomical features and essential neural connections, deepening our understanding of brain structure and function.