



Abstract:El Ni\~no-Southern Oscillation (ENSO) exerts global climate and societal impacts, but real-time prediction with lead times beyond one year remains challenging. Dynamical models suffer from large biases and uncertainties, while deep learning struggles with interpretability and multi-scale dynamics. Here, we introduce PTSTnet, an interpretable model that unifies dynamical processes and cross-scale spatiotemporal learning in an innovative neural-network framework with physics-encoding learning. PTSTnet produces interpretable predictions significantly outperforming state-of-the-art benchmarks with lead times beyond 24 months, providing physical insights into error propagation in ocean-atmosphere interactions. PTSTnet learns feature representations with physical consistency from sparse data to tackle inherent multi-scale and multi-physics challenges underlying ocean-atmosphere processes, thereby inherently enhancing long-term prediction skill. Our successful realizations mark substantial steps forward in interpretable insights into innovative neural ocean modelling.




Abstract:Code snippet adaptation is a fundamental activity in the software development process. Unlike code generation, code snippet adaptation is not a "free creation", which requires developers to tailor a given code snippet in order to fit specific requirements and the code context. Recently, large language models (LLMs) have confirmed their effectiveness in the code generation task with promising results. However, their performance on adaptation, a reuse-oriented and context-dependent code change prediction task, is still unclear. To bridge this gap, we conduct an empirical study to investigate the performance and issues of LLMs on the adaptation task. We first evaluate the adaptation performances of three popular LLMs and compare them to the code generation task. Our result indicates that their adaptation ability is weaker than generation, with a nearly 15% decrease on pass@1 and more context-related errors. By manually inspecting 200 cases, we further investigate the causes of LLMs' sub-optimal performance, which can be classified into three categories, i.e., Unclear Requirement, Requirement Misalignment and Context Misapplication. Based on the above empirical research, we propose an interactive prompting approach to eliciting LLMs' adaptation ability. Experimental result reveals that our approach greatly improve LLMs' adaptation performance. The best-performing Human-LLM interaction successfully solves 159 out of the 202 identified defects and improves the pass@1 and pass@5 by over 40% compared to the initial instruction-based prompt. Considering human efforts, we suggest multi-agent interaction as a trade-off, which can achieve comparable performance with excellent generalization ability. We deem that our approach could provide methodological assistance for autonomous code snippet reuse and adaptation with LLMs.
Abstract:The growing scarcity of spectrum resources, wideband spectrum sensing is required to process a prohibitive volume of data at a high sampling rate. For some applications, spectrum estimation only requires second-order statistics. In this case, a fast power spectrum sensing solution is proposed based on the generalized coprime sampling. By exploring the sensing vector inherent structure, the autocorrelation sequence of inputs can be reconstructed from sub-Nyquist samples by only utilizing the parallel Fourier transform and simple multiplication operations. Thus, it takes less time than the state-of-the-art methods while maintaining the same performance, and it achieves higher performance than the existing methods within the same execution time, without the need for pre-estimating the number of inputs. Furthermore, the influence of the model mismatch has only a minor impact on the estimation performance, which allows for more efficient use of the spectrum resource in a distributed swarm scenario. Simulation results demonstrate the low complexity in sampling and computation, making it a more practical solution for real-time and distributed wideband spectrum sensing applications.
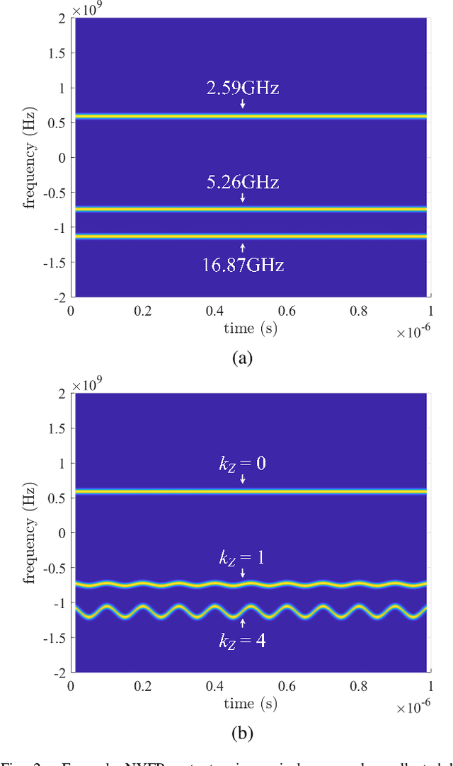
Abstract:Distributed unmanned aerial vehicle (UAV) swarms are formed by multiple UAVs with increased portability, higher levels of sensing capabilities, and more powerful autonomy. These features make them attractive for many recent applica-tions, potentially increasing the shortage of spectrum resources. In this paper, wideband spectrum sensing augmented technology is discussed for distributed UAV swarms to improve the utilization of spectrum. However, the sub-Nyquist sampling applied in existing schemes has high hardware complexity, power consumption, and low recovery efficiency for non-strictly sparse conditions. Thus, the Nyquist folding receiver (NYFR) is considered for the distributed UAV swarms, which can theoretically achieve full-band spectrum detection and reception using a single analog-to-digital converter (ADC) at low speed for all circuit components. There is a focus on the sensing model of two multichannel scenarios for the distributed UAV swarms, one with a complete functional receiver for the UAV swarm with RIS, and another with a decentralized UAV swarm equipped with a complete functional receiver for each UAV element. The key issue is to consider whether the application of RIS technology will bring advantages to spectrum sensing and the data fusion problem of decentralized UAV swarms based on the NYFR architecture. Therefore, the property for multiple pulse reconstruction is analyzed through the Gershgorin circle theorem, especially for very short pulses. Further, the block sparse recovery property is analyzed for wide bandwidth signals. The proposed technology can improve the processing capability for multiple signals and wide bandwidth signals while reducing interference from folded noise and subsampled harmonics. Experiment results show augmented spectrum sensing efficiency under non-strictly sparse conditions.




Abstract:The limited availability of spectrum resources has been growing into a critical problem in wireless communications, remote sensing, and electronic surveillance, etc. To address the high-speed sampling bottleneck of wideband spectrum sensing, a fast and practical solution of power spectrum estimation for Nyquist folding receiver (NYFR) is proposed in this paper. The NYFR architectures is can theoretically achieve the full-band signal sensing with a hundred percent of probability of intercept. But the existing algorithm is difficult to realize in real-time due to its high complexity and complicated calculations. By exploring the sub-sampling principle inherent in NYFR, a computationally efficient method is introduced with compressive covariance sensing. That can be efficient implemented via only the non-uniform fast Fourier transform, fast Fourier transform, and some simple multiplication operations. Meanwhile, the state-of-the-art power spectrum reconstruction model for NYFR of time-domain and frequency-domain is constructed in this paper as a comparison. Furthermore, the computational complexity of the proposed method scales linearly with the Nyquist-rate sampled number of samples and the sparsity of spectrum occupancy. Simulation results and discussion demonstrate that the low complexity in sampling and computation is a more practical solution to meet the real-time wideband spectrum sensing applications.




Abstract:Augmented Reality (AR) see-through vision is an interesting research topic since it enables users to see through a wall and see the occluded objects. Most existing research focuses on the visual effects of see-through vision, while the interaction method is less studied. However, we argue that using common interaction modalities, e.g., midair click and speech, may not be the optimal way to control see-through vision. This is because when we want to see through something, it is physically related to our gaze depth/vergence and thus should be naturally controlled by the eyes. Following this idea, this paper proposes a novel gaze-vergence-controlled (GVC) see-through vision technique in AR. Since gaze depth is needed, we build a gaze tracking module with two infrared cameras and the corresponding algorithm and assemble it into the Microsoft HoloLens 2 to achieve gaze depth estimation. We then propose two different GVC modes for see-through vision to fit different scenarios. Extensive experimental results demonstrate that our gaze depth estimation is efficient and accurate. By comparing with conventional interaction modalities, our GVC techniques are also shown to be superior in terms of efficiency and more preferred by users. Finally, we present four example applications of gaze-vergence-controlled see-through vision.




Abstract:UE localization has proven its implications on multitude of use cases ranging from emergency call localization to new and emerging use cases in industrial IoT. To support plethora of use cases Radio Access Technology (RAT)-based positioning has been supported by 3GPP since Release 9 of its specifications that featured basic positioning methods based on Cell Identity (CID) and Enhanced-CID (E-CID). Since then, multiple positioning techniques and solutions are proposed and integrated in to the 3GPP specifications. When it comes to evaluating performance of the positioning techniques, achievable accuracy (2-Dimensional or 3-Dimensional) has, so far, been the primary metric. With the advent of Release 16 New Radio (NR) positioning, it is possible to configure Positioning Reference Signal (PRS) with wide bandwidth that naturally helps improving the positioning accuracy. However, the improvement is evident when the conditions are ideal for positioning. In practice where the conditions are non-ideal and the positioning accuracy is severely impacted, estimating the uncertainty in position estimation becomes important and can provide significant insight on how reliable a position estimation is. In order to determine the uncertainty in position estimation we resort to Machine Learning (ML) techniques that offer ways to determine the uncertainty/reliability of the predictions for a trained model. Hence, in this work we propose to combine ML methods such as Gaussian Process (GP) and Random Forest (RF) with RAT-based positioning measurements to predict the location of a UE and in the meantime also assess the uncertainty of the estimated position. The results show that both GP and RF not only achieve satisfactory positioning accuracy but also give a reliable uncertainty assessment of the predicted position of the UE.




Abstract:To preserve user privacy while enabling mobile intelligence, techniques have been proposed to train deep neural networks on decentralized data. However, training over decentralized data makes the design of neural architecture quite difficult as it already was. Such difficulty is further amplified when designing and deploying different neural architectures for heterogeneous mobile platforms. In this work, we propose an automatic neural architecture search into the decentralized training, as a new DNN training paradigm called Federated Neural Architecture Search, namely federated NAS. To deal with the primary challenge of limited on-client computational and communication resources, we present FedNAS, a highly optimized framework for efficient federated NAS. FedNAS fully exploits the key opportunity of insufficient model candidate re-training during the architecture search process, and incorporates three key optimizations: parallel candidates training on partial clients, early dropping candidates with inferior performance, and dynamic round numbers. Tested on large-scale datasets and typical CNN architectures, FedNAS achieves comparable model accuracy as state-of-the-art NAS algorithm that trains models with centralized data, and also reduces the client cost by up to two orders of magnitude compared to a straightforward design of federated NAS.




Abstract:Kernel-based machine learning approaches are gaining increasing interest for exploring and modeling large dataset in recent years. Gaussian process (GP) is one example of such kernel-based approaches, which can provide very good performance for nonlinear modeling problems. In this work, we first propose a grey-box modeling approach to analyze the forces in cross country skiing races. To be more precise, a disciplined set of kinetic motion model formulae is combined with data-driven Gaussian process regression model, which accounts for everything unknown in the system. Then, a modeling approach is proposed to analyze the kinetic flow of both individual and clusters of skiers. The proposed approaches can be generally applied to use cases where positioned trajectories and kinetic measurements are available. The proposed approaches are evaluated using data collected from the Falun Nordic World Ski Championships 2015, in particular the Men's cross country $4\times10$ km relay. Forces during the cross country skiing races are analyzed and compared. Velocity models for skiers at different competition stages are also evaluated. Finally, the comparisons between the grey-box and black-box approach are carried out, where the grey-box approach can reduce the predictive uncertainty by $30\%$ to $40\%$.



Abstract:Many optimization problems in science and engineering are challenging to solve, and the current trend is to use swarm intelligence (SI) and SI-based algorithms to tackle such challenging problems. Some significant developments have been made in recent years, though there are still many open problems in this area. This paper provides a short but timely analysis about SI-based algorithms and their links with self-organization. Different characteristics and properties are analyzed here from both mathematical and qualitative perspectives. Future research directions are outlined and open questions are also highlighted.