Abstract:The best-arm identification (BAI) problem is one of the most fundamental problems in interactive machine learning, which has two flavors: the fixed-budget setting (FB) and the fixed-confidence setting (FC). For $K$-armed bandits with the unique best arm, the optimal sample complexities for both settings have been settled down, and they match up to logarithmic factors. This prompts an interesting research question about the generic, potentially structured BAI problems: Is FB harder than FC or the other way around? In this paper, we show that FB is no harder than FC up to logarithmic factors. We do this constructively: we propose a novel algorithm called FC2FB (fixed confidence to fixed budget), which is a meta algorithm that takes in an FC algorithm $\mathcal{A}$ and turn it into an FB algorithm. We prove that this FC2FB enjoys a sample complexity that matches, up to logarithmic factors, that of the sample complexity of $\mathcal{A}$. This means that the optimal FC sample complexity is an upper bound of the optimal FB sample complexity up to logarithmic factors. Our result not only reveals a fundamental relationship between FB and FC, but also has a significant implication: FC2FB, combined with existing state-of-the-art FC algorithms, leads to improved sample complexity for a number of FB problems.
Abstract:Environmental sounds like footsteps, keyboard typing, or dog barking carry rich information and emotional context, making them valuable for designing haptics in user applications. Existing audio-to-vibration methods, however, rely on signal-processing rules tuned for music or games and often fail to generalize across diverse sounds. To address this, we first investigated user perception of four existing audio-to-haptic algorithms, then created a data-driven model for environmental sounds. In Study 1, 34 participants rated vibrations generated by the four algorithms for 1,000 sounds, revealing no consistent algorithm preferences. Using this dataset, we trained Sound2Hap, a CNN-based autoencoder, to generate perceptually meaningful vibrations from diverse sounds with low latency. In Study 2, 15 participants rated its output higher than signal-processing baselines on both audio-vibration match and Haptic Experience Index (HXI), finding it more harmonious with diverse sounds. This work demonstrates a perceptually validated approach to audio-haptic translation, broadening the reach of sound-driven haptics.




Abstract:The diffusion models (DMs) have demonstrated the remarkable capability of generating images via learning the noised score function of data distribution. Current DM sampling techniques typically rely on first-order Langevin dynamics at each noise level, with efforts concentrated on refining inter-level denoising strategies. While leveraging additional second-order Hessian geometry to enhance the sampling quality of Langevin is a common practice in Markov chain Monte Carlo (MCMC), the naive attempts to utilize Hessian geometry in high-dimensional DMs lead to quadratic-complexity computational costs, rendering them non-scalable. In this work, we introduce a novel Levenberg-Marquardt-Langevin (LML) method that approximates the diffusion Hessian geometry in a training-free manner, drawing inspiration from the celebrated Levenberg-Marquardt optimization algorithm. Our approach introduces two key innovations: (1) A low-rank approximation of the diffusion Hessian, leveraging the DMs' inherent structure and circumventing explicit quadratic-complexity computations; (2) A damping mechanism to stabilize the approximated Hessian. This LML approximated Hessian geometry enables the diffusion sampling to execute more accurate steps and improve the image generation quality. We further conduct a theoretical analysis to substantiate the approximation error bound of low-rank approximation and the convergence property of the damping mechanism. Extensive experiments across multiple pretrained DMs validate that the LML method significantly improves image generation quality, with negligible computational overhead.
Abstract:Recent Diffusion models (DMs) advancements have explored incorporating the second-order diffusion Fisher information (DF), defined as the negative Hessian of log density, into various downstream tasks and theoretical analysis. However, current practices typically approximate the diffusion Fisher by applying auto-differentiation to the learned score network. This black-box method, though straightforward, lacks any accuracy guarantee and is time-consuming. In this paper, we show that the diffusion Fisher actually resides within a space spanned by the outer products of score and initial data. Based on the outer-product structure, we develop two efficient approximation algorithms to access the trace and matrix-vector multiplication of DF, respectively. These algorithms bypass the auto-differentiation operations with time-efficient vector-product calculations. Furthermore, we establish the approximation error bounds for the proposed algorithms. Experiments in likelihood evaluation and adjoint optimization demonstrate the superior accuracy and reduced computational cost of our proposed algorithms. Additionally, based on the novel outer-product formulation of DF, we design the first numerical verification experiment for the optimal transport property of the general PF-ODE deduced map.




Abstract:To effectively implement quantum algorithms on noisy intermediate-scale quantum (NISQ) processors is a central task in modern quantum technology. NISQ processors feature tens to a few hundreds of noisy qubits with limited coherence times and gate operations with errors, so NISQ algorithms naturally require employing circuits of short lengths via quantum compilation. Here, we develop a reinforcement learning (RL)-based quantum compiler for a superconducting processor and demonstrate its capability of discovering novel and hardware-amenable circuits with short lengths. We show that for the three-qubit quantum Fourier transformation, a compiled circuit using only seven CZ gates with unity circuit fidelity can be achieved. The compiler is also able to find optimal circuits under device topological constraints, with lengths considerably shorter than those by the conventional method. Our study exemplifies the codesign of the software with hardware for efficient quantum compilation, offering valuable insights for the advancement of RL-based compilers.




Abstract:Temporal knowledge graphs represent temporal facts $(s,p,o,\tau)$ relating a subject $s$ and an object $o$ via a relation label $p$ at time $\tau$, where $\tau$ could be a time point or time interval. Temporal knowledge graphs may exhibit static temporal patterns at distinct points in time and dynamic temporal patterns between different timestamps. In order to learn a rich set of static and dynamic temporal patterns and apply them for inference, several embedding approaches have been suggested in the literature. However, as most of them resort to single underlying embedding spaces, their capability to model all kinds of temporal patterns was severely limited by having to adhere to the geometric property of their one embedding space. We lift this limitation by an embedding approach that maps temporal facts into a product space of several heterogeneous geometric subspaces with distinct geometric properties, i.e.\ Complex, Dual, and Split-complex spaces. In addition, we propose a temporal-geometric attention mechanism to integrate information from different geometric subspaces conveniently according to the captured relational and temporal information. Experimental results on standard temporal benchmark datasets favorably evaluate our approach against state-of-the-art models.




Abstract:Despite considerable progress, the advancement of Panoptic Narrative Grounding (PNG) remains hindered by costly annotations. In this paper, we introduce a novel Semi-Supervised Panoptic Narrative Grounding (SS-PNG) learning scheme, capitalizing on a smaller set of labeled image-text pairs and a larger set of unlabeled pairs to achieve competitive performance. Unlike visual segmentation tasks, PNG involves one pixel belonging to multiple open-ended nouns. As a result, existing multi-class based semi-supervised segmentation frameworks cannot be directly applied to this task. To address this challenge, we first develop a novel SS-PNG Network (SS-PNG-NW) tailored to the SS-PNG setting. We thoroughly investigate strategies such as Burn-In and data augmentation to determine the optimal generic configuration for the SS-PNG-NW. Additionally, to tackle the issue of imbalanced pseudo-label quality, we propose a Quality-Based Loss Adjustment (QLA) approach to adjust the semi-supervised objective, resulting in an enhanced SS-PNG-NW+. Employing our proposed QLA, we improve BCE Loss and Dice loss at pixel and mask levels, respectively. We conduct extensive experiments on PNG datasets, with our SS-PNG-NW+ demonstrating promising results comparable to fully-supervised models across all data ratios. Remarkably, our SS-PNG-NW+ outperforms fully-supervised models with only 30% and 50% supervision data, exceeding their performance by 0.8% and 1.1% respectively. This highlights the effectiveness of our proposed SS-PNG-NW+ in overcoming the challenges posed by limited annotations and enhancing the applicability of PNG tasks. The source code is available at https://github.com/nini0919/SSPNG.

Abstract:We study the problem of computationally and label efficient PAC active learning $d$-dimensional halfspaces with Tsybakov Noise~\citep{tsybakov2004optimal} under structured unlabeled data distributions. Inspired by~\cite{diakonikolas2020learning}, we prove that any approximate first-order stationary point of a smooth nonconvex loss function yields a halfspace with a low excess error guarantee. In light of the above structural result, we design a nonconvex optimization-based algorithm with a label complexity of $\tilde{O}(d (\frac{1}{\epsilon})^{\frac{8-6\alpha}{3\alpha-1}})$\footnote{In the main body of this work, we use $\tilde{O}(\cdot), \tilde{\Theta}(\cdot)$ to hide factors of the form $\polylog(d, \frac{1}{\epsilon}, \frac{1}{\delta})$}, under the assumption that the Tsybakov noise parameter $\alpha \in (\frac13, 1]$, which narrows down the gap between the label complexities of the previously known efficient passive or active algorithms~\citep{diakonikolas2020polynomial,zhang2021improved} and the information-theoretic lower bound in this setting.




Abstract:Understanding the power of parameterized quantum circuits (PQCs) in accomplishing machine learning tasks is one of the most important questions in quantum machine learning. In this paper, we analyze the expressivity of PQCs through the lens of function approximation. Previously established universal approximation theorems for PQCs are mainly nonconstructive, leading us to the following question: How large do the PQCs need to be to approximate the target function up to a given error? We exhibit explicit constructions of data re-uploading PQCs for approximating continuous and smooth functions and establish quantitative approximation error bounds in terms of the width, the depth and the number of trainable parameters of the PQCs. To achieve this, we utilize techniques from quantum signal processing and linear combinations of unitaries to construct PQCs that implement multivariate polynomials. We implement global and local approximation techniques using Bernstein polynomials and local Taylor expansion and analyze their performances in the quantum setting. We also compare our proposed PQCs to nearly optimal deep neural networks in approximating high-dimensional smooth functions, showing that the ratio between model sizes of PQC and deep neural networks is exponentially small with respect to the input dimension. This suggests a potentially novel avenue for showcasing quantum advantages in quantum machine learning.




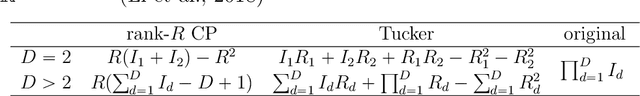
Abstract:Tensor data are multi-dimension arrays. Low-rank decomposition-based regression methods with tensor predictors exploit the structural information in tensor predictors while significantly reducing the number of parameters in tensor regression. We propose a method named NA$_0$CT$^2$ (Noise Augmentation for $\ell_0$ regularization on Core Tensor in Tucker decomposition) to regularize the parameters in tensor regression (TR), coupled with Tucker decomposition. We establish theoretically that NA$_0$CT$^2$ achieves exact $\ell_0$ regularization in linear TR and generalized linear TR on the core tensor from the Tucker decomposition. To our knowledge, NA$_0$CT$^2$ is the first Tucker decomposition-based regularization method in TR to achieve $\ell_0$ in core tensor. NA$_0$CT$^2$ is implemented through an iterative procedure and involves two simple steps in each iteration -- generating noisy data based on the core tensor from the Tucker decomposition of the updated parameter estimate and running a regular GLM on noise-augmented data on vectorized predictors. We demonstrate the implementation of NA$_0$CT$^2$ and its $\ell_0$ regularization effect in both simulation studies and real data applications. The results suggest that NA$_0$CT$^2$ improves predictions compared to other decomposition-based TR approaches, with or without regularization and it also helps to identify important predictors though not designed for that purpose.