Abstract:We propose ARDO method for solving PDEs and PDE-related problems with deep learning techniques. This method uses a weak adversarial formulation but transfers the random difference operator onto the test function. The main advantage of this framework is that it is fully derivative-free with respect to the solution neural network. This framework is particularly suitable for Fokker-Planck type second-order elliptic and parabolic PDEs.
Abstract:Large Vision-Language Models face growing safety challenges with multimodal inputs. This paper introduces the concept of Implicit Reasoning Safety, a vulnerability in LVLMs. Benign combined inputs trigger unsafe LVLM outputs due to flawed or hidden reasoning. To showcase this, we developed Safe Semantics, Unsafe Interpretations, the first dataset for this critical issue. Our demonstrations show that even simple In-Context Learning with SSUI significantly mitigates these implicit multimodal threats, underscoring the urgent need to improve cross-modal implicit reasoning.




Abstract:In this paper, a multi-scale DeepOnet (Mscale-DeepOnet) is proposed to reduce the spectral bias of the DeepOnet in learning high-frequency mapping between highly oscillatory functions, with an application to the nonlinear mapping between the coefficient of the Helmholtz equation and its solution. The Mscale-DeepOnet introduces the multiscale neural network in the branch and trunk networks of the original DeepOnet, the resulting Mscale-DeepOnet is shown to be able to capture various high-frequency components of the mapping itself and its image. Numerical results demonstrate the substantial improvement of the Mscale-DeepOnet for the problem of wave scattering in the high-frequency regime over the normal DeepOnet with a similar number of network parameters.




Abstract:This study proposes a systematic image registration approach to align 2D optical thin-section images within a 3D digital rock volume. Using template image matching with differential evolution optimization, we identify the most similar 2D plane in 3D. The method is validated on a synthetic porous medium, achieving exact registration, and applied to Berea sandstone, where it achieves a structural similarity index (SSIM) of 0.990. With the registered images, we explore upscaling properties based on paired multimodal images, focusing on pore characteristics and effective elastic moduli. The thin-section image reveals 50 % more porosity and submicron pores than the registered CT plane. In addition, bulk and shear moduli from thin sections are 25 % and 30 % lower, respectively, than those derived from CT images. Beyond numerical comparisons, thin sections provide additional geological insights, including cementation, mineral phases, and weathering effects, which are not clear in CT images. This study demonstrates the potential of multimodal image registration to improve computed rock properties in digital rock physics by integrating complementary imaging modalities.

Abstract:The rapid proliferation of the Internet and the widespread adoption of social networks have significantly accelerated information dissemination. However, this transformation has introduced complexities in information capture and processing, posing substantial challenges for researchers and practitioners. Predicting the dissemination of topic-related information within social networks has thus become a critical research focus. This paper proposes a predictive model for topic dissemination in social networks by integrating multidimensional features derived from key dissemination characteristics. Specifically, we introduce two novel indicators, user relationship breadth and user authority, into the PageRank algorithm to quantify user influence more effectively. Additionally, we employ a Text-CNN model for sentiment classification, extracting sentiment features from textual content. Temporal embeddings of nodes are encoded using a Bi-LSTM model to capture temporal dynamics. Furthermore, we refine the measurement of user interaction traces with topics, replacing traditional topic view metrics with a more precise communication characteristics measure. Finally, we integrate the extracted multidimensional features using a Transformer model, significantly enhancing predictive performance. Experimental results demonstrate that our proposed model outperforms traditional machine learning and unimodal deep learning models in terms of FI-Score, AUC, and Recall, validating its effectiveness in predicting topic propagation within social networks.




Abstract:In recent years, the rapid development of artificial intelligence (AI) especially multi-modal Large Language Models (MLLMs), has enabled it to understand text, images, videos, and other multimedia data, allowing AI systems to execute various tasks based on human-provided prompts. However, AI-powered bots have increasingly been able to bypass most existing CAPTCHA systems, posing significant security threats to web applications. This makes the design of new CAPTCHA mechanisms an urgent priority. We observe that humans are highly sensitive to shifts and abrupt changes in videos, while current AI systems still struggle to comprehend and respond to such situations effectively. Based on this observation, we design and implement BounTCHA, a CAPTCHA mechanism that leverages human perception of boundaries in video transitions and disruptions. By utilizing AI's capability to expand original videos with prompts, we introduce unexpected twists and changes to create a pipeline for generating short videos for CAPTCHA purposes. We develop a prototype and conduct experiments to collect data on humans' time biases in boundary identification. This data serves as a basis for distinguishing between human users and bots. Additionally, we perform a detailed security analysis of BounTCHA, demonstrating its resilience against various types of attacks. We hope that BounTCHA will act as a robust defense, safeguarding millions of web applications in the AI-driven era.




Abstract:Medication recommender is to suggest appropriate medication combinations based on a patient's health history, e.g., diagnoses and procedures. Existing works represent different diagnoses/procedures well separated by one-hot encodings. However, they ignore the latent hierarchical structures of these medical terms, undermining the generalization performance of the model. For example, "Respiratory Diseases", "Chronic Respiratory Diseases" and "Chronic Bronchiti" have a hierarchical relationship, progressing from general to specific. To address this issue, we propose a novel hierarchical encoder named HIER to hierarchically represent diagnoses and procedures, which is based on standard medical codes and compatible with any existing methods. Specifically, the proposed method learns relation embedding with a self-supervised objective for incorporating the neighbor hierarchical structure. Additionally, we develop the position encoding to explicitly introduce global hierarchical position. Extensive experiments demonstrate significant and consistent improvements in recommendation accuracy across four baselines and two real-world clinical datasets.




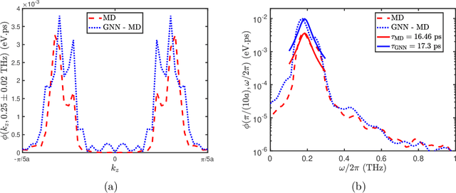
Abstract:Machine-learned force fields (MLFFs) promise to offer a computationally efficient alternative to ab initio simulations for complex molecular systems. However, ensuring their generalizability beyond training data is crucial for their wide application in studying solid materials. This work investigates the ability of a graph neural network (GNN)-based MLFF, trained on Lennard-Jones Argon, to describe solid-state phenomena not explicitly included during training. We assess the MLFF's performance in predicting phonon density of states (PDOS) for a perfect face-centered cubic (FCC) crystal structure at both zero and finite temperatures. Additionally, we evaluate vacancy migration rates and energy barriers in an imperfect crystal using direct molecular dynamics (MD) simulations and the string method. Notably, vacancy configurations were absent from the training data. Our results demonstrate the MLFF's capability to capture essential solid-state properties with good agreement to reference data, even for unseen configurations. We further discuss data engineering strategies to enhance the generalizability of MLFFs. The proposed set of benchmark tests and workflow for evaluating MLFF performance in describing perfect and imperfect crystals pave the way for reliable application of MLFFs in studying complex solid-state materials.




Abstract:Cyber Threat Intelligence (CTI) summarization task requires the system to generate concise and accurate highlights from raw intelligence data, which plays an important role in providing decision-makers with crucial information to quickly detect and respond to cyber threats in the cybersecurity domain. However, efficient techniques for summarizing CTI reports, including facts, analytical insights, attack processes, etc., have largely been unexplored, primarily due to the lack of available dataset. To this end, we present CTISum, a new benchmark for CTI summarization task. Considering the importance of attack process, a novel fine-grained subtask of attack process summarization is proposed to enable defenders to assess risk, identify security gaps, vulnerabilities, and so on. Specifically, we first design a multi-stage annotation pipeline to gather and annotate the CTI data, and then benchmark the CTISum with a collection of extractive and abstractive summarization methods. Experimental results show that current state-of-the-art models exhibit limitations when applied to CTISum, underscoring the fact that automatically producing concise summaries of CTI reports remains an open research challenge.




Abstract:We propose a deep neural network architecture designed such that its output forms an invertible symplectomorphism of the input. This design draws an analogy to the real-valued non-volume-preserving (real NVP) method used in normalizing flow techniques. Utilizing this neural network type allows for learning tasks on unknown Hamiltonian systems without breaking the inherent symplectic structure of the phase space.