Abstract:Accurate forecasting of financial markets remains a long-standing challenge due to complex temporal and often latent dependencies, non-linear dynamics, and high volatility. Building on our earlier recurrent neural network framework, we present an enhanced StockBot architecture that systematically evaluates modern attention-based, convolutional, and recurrent time-series forecasting models within a unified experimental setting. While attention-based and transformer-inspired models offer increased modeling flexibility, extensive empirical evaluation reveals that a carefully constructed vanilla LSTM consistently achieves superior predictive accuracy and more stable buy/sell decision-making when trained under a common set of default hyperparameters. These results highlight the robustness and data efficiency of recurrent sequence models for financial time-series forecasting, particularly in the absence of extensive hyperparameter tuning or the availability of sufficient data when discretized to single-day intervals. Additionally, these results underscore the importance of architectural inductive bias in data-limited market prediction tasks.




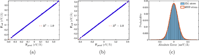
Abstract:Machine-learned force fields (MLFFs) promise to offer a computationally efficient alternative to ab initio simulations for complex molecular systems. However, ensuring their generalizability beyond training data is crucial for their wide application in studying solid materials. This work investigates the ability of a graph neural network (GNN)-based MLFF, trained on Lennard-Jones Argon, to describe solid-state phenomena not explicitly included during training. We assess the MLFF's performance in predicting phonon density of states (PDOS) for a perfect face-centered cubic (FCC) crystal structure at both zero and finite temperatures. Additionally, we evaluate vacancy migration rates and energy barriers in an imperfect crystal using direct molecular dynamics (MD) simulations and the string method. Notably, vacancy configurations were absent from the training data. Our results demonstrate the MLFF's capability to capture essential solid-state properties with good agreement to reference data, even for unseen configurations. We further discuss data engineering strategies to enhance the generalizability of MLFFs. The proposed set of benchmark tests and workflow for evaluating MLFF performance in describing perfect and imperfect crystals pave the way for reliable application of MLFFs in studying complex solid-state materials.




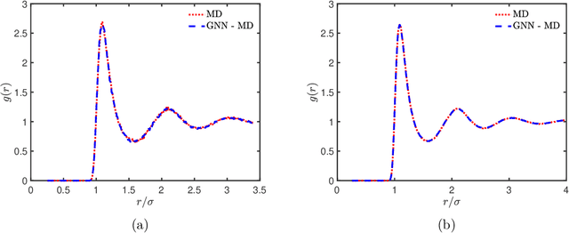
Abstract:Machine-learned force fields have generated significant interest in recent years as a tool for molecular dynamics (MD) simulations, with the aim of developing accurate and efficient models that can replace classical interatomic potentials. However, before these models can be confidently applied to materials simulations, they must be thoroughly tested and validated. The existing tests on the radial distribution function and mean-squared displacements are insufficient in assessing the transferability of these models. Here we present a more comprehensive set of benchmarking tests for evaluating the transferability of machine-learned force fields. We use a graph neural network (GNN)-based force field coupled with the OpenMM package to carry out MD simulations for Argon as a test case. Our tests include computational X-ray photon correlation spectroscopy (XPCS) signals, which capture the density fluctuation at various length scales in the liquid phase, as well as phonon density-of-state in the solid phase and the liquid-solid phase transition behavior. Our results show that the model can accurately capture the behavior of the solid phase only when the configurations from the solid phase are included in the training dataset. This underscores the importance of appropriately selecting the training data set when developing machine-learned force fields. The tests presented in this work provide a necessary foundation for the development and application of machine-learned force fields for materials simulations.



Abstract:Urban metabolism is an active field of research that deals with the estimation of emissions and resource consumption from urban regions. The analysis could be carried out through a manual surveyor by the implementation of elegant machine learning algorithms. In this exploratory work, we estimate the water consumption by the buildings in the region captured by satellite imagery. To this end, we break our analysis into three parts: i) Identification of building pixels, given a satellite image, followed by ii) identification of the building type (residential/non-residential) from the building pixels, and finally iii) using the building pixels along with their type to estimate the water consumption using the average per unit area consumption for different building types as obtained from municipal surveys.