Abstract:In many time series forecasting settings, the target time series is accompanied by exogenous covariates, such as promotions and prices in retail demand; temperature in energy load; calendar and holiday indicators for traffic or sales; and grid load or fuel costs in electricity pricing. Ignoring these exogenous signals can substantially degrade forecasting accuracy, particularly when they drive spikes, discontinuities, or regime and phase changes in the target series. Most current time series foundation models (e.g., Chronos, Sundial, TimesFM, TimeMoE, TimeLLM, and LagLlama) ignore exogenous covariates and make forecasts solely from the numerical time series history, thereby limiting their performance. In this paper, we develop ApolloPFN, a prior-data fitted network (PFN) that is time-aware (unlike prior PFNs) and that natively incorporates exogenous covariates (unlike prior univariate forecasters). Our design introduces two major advances: (i) a synthetic data generation procedure tailored to resolve the failure modes that arise when tabular (non-temporal) PFNs are applied to time series; and (ii) time-aware architectural modifications that embed inductive biases needed to exploit the time series context. We demonstrate that ApolloPFN achieves state-of-the-art results across benchmarks, such as M5 and electric price forecasting, that contain exogenous information.



Abstract:Many time series applications require access to multi-step forecast trajectories in the form of sample paths. Recently, time series foundation models have leveraged multi-step lookahead predictions to improve the quality and efficiency of multi-step forecasts. However, these models only predict independent marginal distributions for each time step, rather than a full joint predictive distribution. To generate forecast sample paths with realistic correlation structures, one typically resorts to autoregressive sampling, which can be extremely expensive. In this paper, we present a copula-based approach to efficiently generate accurate, correlated sample paths from existing multi-step time series foundation models in one forward pass. Our copula-based approach generates correlated sample paths orders of magnitude faster than autoregressive sampling, and it yields improved sample path quality by mitigating the snowballing error phenomenon.
Abstract:We present a general purpose probabilistic forecasting framework, ProbHardE2E, to learn systems that can incorporate operational/physical constraints as hard requirements. ProbHardE2E enforces hard constraints by exploiting variance information in a novel way; and thus it is also capable of performing uncertainty quantification (UQ) on the model. Our methodology uses a novel differentiable probabilistic projection layer (DPPL) that can be combined with a wide range of neural network architectures. This DPPL allows the model to learn the system in an end-to-end manner, compared to other approaches where the constraints are satisfied either through a post-processing step or at inference. In addition, ProbHardE2E can optimize a strictly proper scoring rule, without making any distributional assumptions on the target, which enables it to obtain robust distributional estimates (in contrast to existing approaches that generally optimize likelihood-based objectives, which are heavily biased by their distributional assumptions and model choices); and it can incorporate a range of non-linear constraints (increasing the power of modeling and flexibility). We apply ProbHardE2E to problems in learning partial differential equations with uncertainty estimates and to probabilistic time-series forecasting, showcasing it as a broadly applicable general setup that connects these seemingly disparate domains.




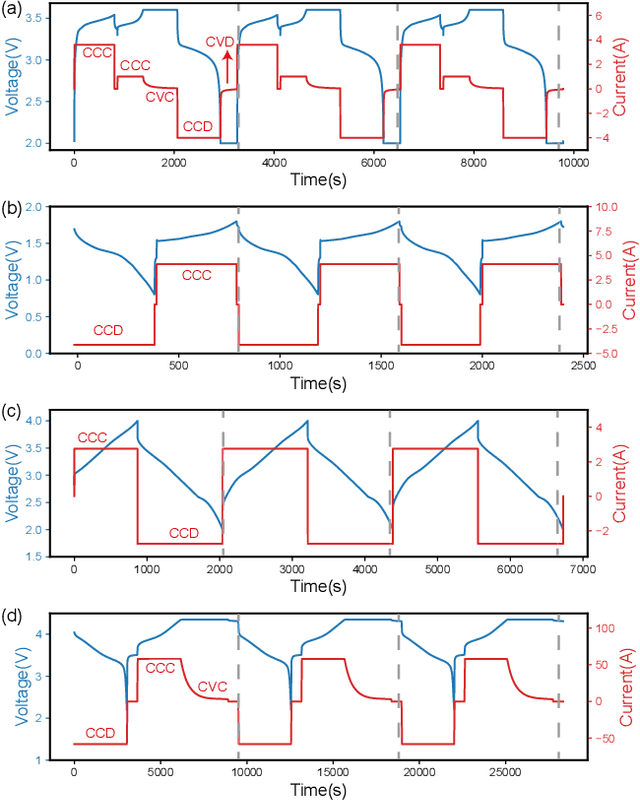
Abstract:Battery Life Prediction (BLP), which relies on time series data produced by battery degradation tests, is crucial for battery utilization, optimization, and production. Despite impressive advancements, this research area faces three key challenges. Firstly, the limited size of existing datasets impedes insights into modern battery life data. Secondly, most datasets are restricted to small-capacity lithium-ion batteries tested under a narrow range of diversity in labs, raising concerns about the generalizability of findings. Thirdly, inconsistent and limited benchmarks across studies obscure the effectiveness of baselines and leave it unclear if models popular in other time series fields are effective for BLP. To address these challenges, we propose BatteryLife, a comprehensive dataset and benchmark for BLP. BatteryLife integrates 16 datasets, offering a 2.4 times sample size compared to the previous largest dataset, and provides the most diverse battery life resource with batteries from 8 formats, 80 chemical systems, 12 operating temperatures, and 646 charge/discharge protocols, including both laboratory and industrial tests. Notably, BatteryLife is the first to release battery life datasets of zinc-ion batteries, sodium-ion batteries, and industry-tested large-capacity lithium-ion batteries. With the comprehensive dataset, we revisit the effectiveness of baselines popular in this and other time series fields. Furthermore, we propose CyclePatch, a plug-in technique that can be employed in a series of neural networks. Extensive benchmarking of 18 methods reveals that models popular in other time series fields can be unsuitable for BLP, and CyclePatch consistently improves model performance establishing state-of-the-art benchmarks. Moreover, BatteryLife evaluates model performance across aging conditions and domains. BatteryLife is available at https://github.com/Ruifeng-Tan/BatteryLife.




Abstract:Obtaining accurate probabilistic forecasts while respecting hierarchical information is an important operational challenge in many applications, perhaps most obviously in energy management, supply chain planning, and resource allocation. The basic challenge, especially for multivariate forecasting, is that forecasts are often required to be coherent with respect to the hierarchical structure. In this paper, we propose a new model which leverages a factor model structure to produce coherent forecasts by construction. This is a consequence of a simple (exchangeability) observation: permuting \textit{}base-level series in the hierarchy does not change their aggregates. Our model uses a convolutional neural network to produce parameters for the factors, their loadings and base-level distributions; it produces samples which can be differentiated with respect to the model's parameters; and it can therefore optimize for any sample-based loss function, including the Continuous Ranked Probability Score and quantile losses. We can choose arbitrary continuous distributions for the factor and the base-level distributions. We compare our method to two previous methods which can be optimized end-to-end, while enforcing coherent aggregation. Our model achieves significant improvements: between $11.8-41.4\%$ on three hierarchical forecasting datasets. We also analyze the influence of parameters in our model with respect to base-level distribution and number of factors.




Abstract:Hierarchical forecasting problems arise when time series compose a group structure that naturally defines aggregation and disaggregation coherence constraints for the predictions. In this work, we explore a new forecast representation, the Poisson Mixture Mesh (PMM), that can produce probabilistic, coherent predictions; it is compatible with the neural forecasting innovations, and defines simple aggregation and disaggregation rules capable of accommodating hierarchical structures, unknown during its optimization. We performed an empirical evaluation to compare the PMM to other hierarchical forecasting methods on Australian domestic tourism data, where we obtain a 20 percent relative improvement.




Abstract:In deep learning area, large-scale image datasets bring a breakthrough in the success of object recognition and retrieval. Nowadays, as the embodiment of innovation, the diversity of the industrial goods is significantly larger, in which the incomplete multiview, multimodal and multilabel are different from the traditional dataset. In this paper, we introduce an industrial goods dataset, namely PatentNet, with numerous highly diverse, accurate and detailed annotations of industrial goods images, and corresponding texts. In PatentNet, the images and texts are sourced from design patent. Within over 6M images and corresponding texts of industrial goods labeled manually checked by professionals, PatentNet is the first ongoing industrial goods image database whose varieties are wider than industrial goods datasets used previously for benchmarking. PatentNet organizes millions of images into 32 classes and 219 subclasses based on the Locarno Classification Agreement. Through extensive experiments on image classification, image retrieval and incomplete multiview clustering, we demonstrate that our PatentNet is much more diverse, complex, and challenging, enjoying higher potentials than existing industrial image datasets. Furthermore, the characteristics of incomplete multiview, multimodal and multilabel in PatentNet are able to offer unparalleled opportunities in the artificial intelligence community and beyond.