Abstract:Increasingly popular home assistants are widely utilized as the central controller for smart home devices. However, current designs heavily rely on voice interfaces with accessibility and usability issues; some latest ones are equipped with additional cameras and displays, which are costly and raise privacy concerns. These concerns jointly motivate Beyond-Voice, a novel deep-learning-driven acoustic sensing system that allows commodity home assistant devices to track and reconstruct hand poses continuously. It transforms the home assistant into an active sonar system using its existing onboard microphones and speakers. We feed a high-resolution range profile to the deep learning model that can analyze the motions of multiple body parts and predict the 3D positions of 21 finger joints, bringing the granularity for acoustic hand tracking to the next level. It operates across different environments and users without the need for personalized training data. A user study with 11 participants in 3 different environments shows that Beyond-Voice can track joints with an average mean absolute error of 16.47mm without any training data provided by the testing subject.




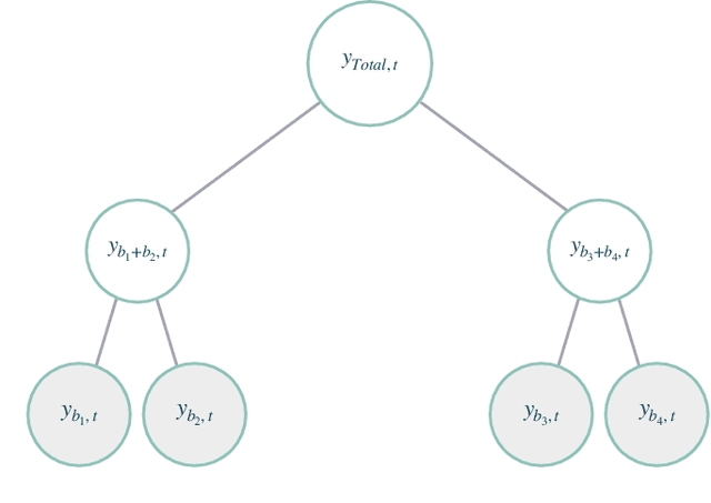
Abstract:Hierarchical forecasting problems arise when time series compose a group structure that naturally defines aggregation and disaggregation coherence constraints for the predictions. In this work, we explore a new forecast representation, the Poisson Mixture Mesh (PMM), that can produce probabilistic, coherent predictions; it is compatible with the neural forecasting innovations, and defines simple aggregation and disaggregation rules capable of accommodating hierarchical structures, unknown during its optimization. We performed an empirical evaluation to compare the PMM to other hierarchical forecasting methods on Australian domestic tourism data, where we obtain a 20 percent relative improvement.