Abstract:Imaging biomarkers in magnetic resonance imaging (MRI) are important tools for diagnosing and tracking Alzheimer's disease (AD). As medial temporal lobe (MTL) is the earliest region to show AD-related hallmarks, brain atrophy caused by AD can first be observed in the MTL. Accurate segmentation of MTL subregions and extraction of imaging biomarkers from them are important. However, due to imaging limitations, the resolution of T2-weighted (T2w) MRI is anisotropic, which makes it difficult to accurately extract the thickness of cortical subregions in the MTL. In this study, we used an implicit neural representation method to combine the resolution advantages of T1-weighted and T2w MRI to accurately upsample an MTL subregion atlas set from anisotropic space to isotropic space, establishing a multi-modality, high-resolution atlas set. Based on this atlas, we developed an isotropic MTL subregion segmentation model. In an independent test set, the cortical subregion thickness extracted using this isotropic model showed higher significance than an anisotropic method in distinguishing between participants with mild cognitive impairment and cognitively unimpaired (CU) participants. In longitudinal analysis, the biomarkers extracted using isotropic method showed greater stability in CU participants. This study improved the accuracy of AD imaging biomarkers without increasing the amount of atlas annotation work, which may help to more accurately quantify the relationship between AD and brain atrophy and provide more accurate measures for disease tracking.

Abstract:Text-to-image (T2I) diffusion models have become prominent tools for generating high-fidelity images from text prompts. However, when trained on unfiltered internet data, these models can produce unsafe, incorrect, or stylistically undesirable images that are not aligned with human preferences. To address this, recent approaches have incorporated human preference datasets to fine-tune T2I models or to optimize reward functions that capture these preferences. Although effective, these methods are vulnerable to reward hacking, where the model overfits to the reward function, leading to a loss of diversity in the generated images. In this paper, we prove the inevitability of reward hacking and study natural regularization techniques like KL divergence and LoRA scaling, and their limitations for diffusion models. We also introduce Annealed Importance Guidance (AIG), an inference-time regularization inspired by Annealed Importance Sampling, which retains the diversity of the base model while achieving Pareto-Optimal reward-diversity tradeoffs. Our experiments demonstrate the benefits of AIG for Stable Diffusion models, striking the optimal balance between reward optimization and image diversity. Furthermore, a user study confirms that AIG improves diversity and quality of generated images across different model architectures and reward functions.





Abstract:Deep Learning in Image Registration (DLIR) methods have been tremendously successful in image registration due to their speed and ability to incorporate weak label supervision at training time. However, DLIR methods forego many of the benefits of classical optimization-based methods. The functional nature of deep networks do not guarantee that the predicted transformation is a local minima of the registration objective, the representation of the transformation (displacement/velocity field/affine) is fixed, and the networks are not robust to domain shift. Our method aims to bridge this gap between classical and learning methods by incorporating optimization as a layer in a deep network. A deep network is trained to predict multi-scale dense feature images that are registered using a black box iterative optimization solver. This optimal warp is then used to minimize image and label alignment errors. By implicitly differentiating end-to-end through an iterative optimization solver, our learned features are registration and label-aware, and the warp functions are guaranteed to be local minima of the registration objective in the feature space. Our framework shows excellent performance on in-domain datasets, and is agnostic to domain shift such as anisotropy and varying intensity profiles. For the first time, our method allows switching between arbitrary transformation representations (free-form to diffeomorphic) at test time with zero retraining. End-to-end feature learning also facilitates interpretability of features, and out-of-the-box promptability using additional label-fidelity terms at inference.





Abstract:Deformable image registration (DIR) is crucial in medical image analysis, enabling the exploration of biological dynamics such as organ motions and longitudinal changes in imaging. Leveraging Neural Ordinary Differential Equations (ODE) for registration, this extension work discusses how this framework can aid in the characterization of sequential biological processes. Utilizing the Neural ODE's ability to model state derivatives with neural networks, our Neural Ordinary Differential Equation Optimization-based (NODEO) framework considers voxels as particles within a dynamic system, defining deformation fields through the integration of neural differential equations. This method learns dynamics directly from data, bypassing the need for physical priors, making it exceptionally suitable for medical scenarios where such priors are unavailable or inapplicable. Consequently, the framework can discern underlying dynamics and use sequence data to regularize the transformation trajectory. We evaluated our framework on two clinical datasets: one for cardiac motion tracking and another for longitudinal brain MRI analysis. Demonstrating its efficacy in both 2D and 3D imaging scenarios, our framework offers flexibility and model agnosticism, capable of managing image sequences and facilitating label propagation throughout these sequences. This study provides a comprehensive understanding of how the Neural ODE-based framework uniquely benefits the image registration challenge.





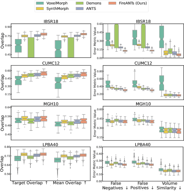
Abstract:Diffeomorphic Image Registration is a critical part of the analysis in various imaging modalities and downstream tasks like image translation, segmentation, and atlas building. Registration algorithms based on optimization have stood the test of time in terms of accuracy, reliability, and robustness across a wide spectrum of modalities and acquisition settings. However, these algorithms converge slowly, are prohibitively expensive to run, and their usage requires a steep learning curve, limiting their scalability to larger clinical and scientific studies. In this paper, we develop multi-scale Adaptive Riemannian Optimization algorithms for diffeomorphic image registration. We demonstrate compelling improvements on image registration across a spectrum of modalities and anatomies by measuring structural and landmark overlap of the registered image volumes. Our proposed framework leads to a consistent improvement in performance, and from 300x up to 2000x speedup over existing algorithms. Our modular library design makes it easy to use and allows customization via user-defined cost functions.

Abstract:Coronary angiography is the gold standard imaging technique for studying and diagnosing coronary artery disease. However, the resulting 2D X-ray projections lose 3D information and exhibit visual ambiguities. In this work, we aim to establish dense correspondence in multi-view angiography, serving as a fundamental basis for various clinical applications and downstream tasks. To overcome the challenge of unavailable annotated data, we designed a data simulation pipeline using 3D Coronary Computed Tomography Angiography (CCTA). We formulated the problem of dense correspondence estimation as a query matching task over all points of interest in the given views. We established point-to-point query matching and advanced it to curve-to-curve correspondence, significantly reducing errors by minimizing ambiguity and improving topological awareness. The method was evaluated on a set of 1260 image pairs from different views across 8 clinically relevant angulation groups, demonstrating compelling results and indicating the feasibility of establishing dense correspondence in multi-view angiography.





Abstract:We propose SplatArmor, a novel approach for recovering detailed and animatable human models by `armoring' a parameterized body model with 3D Gaussians. Our approach represents the human as a set of 3D Gaussians within a canonical space, whose articulation is defined by extending the skinning of the underlying SMPL geometry to arbitrary locations in the canonical space. To account for pose-dependent effects, we introduce a SE(3) field, which allows us to capture both the location and anisotropy of the Gaussians. Furthermore, we propose the use of a neural color field to provide color regularization and 3D supervision for the precise positioning of these Gaussians. We show that Gaussian splatting provides an interesting alternative to neural rendering based methods by leverging a rasterization primitive without facing any of the non-differentiability and optimization challenges typically faced in such approaches. The rasterization paradigms allows us to leverage forward skinning, and does not suffer from the ambiguities associated with inverse skinning and warping. We show compelling results on the ZJU MoCap and People Snapshot datasets, which underscore the effectiveness of our method for controllable human synthesis.

Abstract:Human reconstruction and synthesis from monocular RGB videos is a challenging problem due to clothing, occlusion, texture discontinuities and sharpness, and framespecific pose changes. Many methods employ deferred rendering, NeRFs and implicit methods to represent clothed humans, on the premise that mesh-based representations cannot capture complex clothing and textures from RGB, silhouettes, and keypoints alone. We provide a counter viewpoint to this fundamental premise by optimizing a SMPL+D mesh and an efficient, multi-resolution texture representation using only RGB images, binary silhouettes and sparse 2D keypoints. Experimental results demonstrate that our approach is more capable of capturing geometric details compared to visual hull, mesh-based methods. We show competitive novel view synthesis and improvements in novel pose synthesis compared to NeRF-based methods, which introduce noticeable, unwanted artifacts. By restricting the solution space to the SMPL+D model combined with differentiable rendering, we obtain dramatic speedups in compute, training times (up to 24x) and inference times (up to 192x). Our method therefore can be used as is or as a fast initialization to NeRF-based methods.





Abstract:Top-down instance segmentation methods improve mAP by hedging bets on low-confidence predictions to match a ground truth. Moreover, the query-key paradigm of top-down methods leads to the instance merging problem. An excessive number of duplicate predictions leads to the (over)counting error, and the independence of category and localization branches leads to the naming error. The de-facto mAP metric doesn't capture these errors, as we show that a trivial dithering scheme can simultaneously increase mAP with hedging errors. To this end, we propose two graph-based metrics that quantifies the amount of hedging both inter-and intra-class. We conjecture the source of the hedging problem is due to feature merging and propose a) Contrastive Flow Field to encode contextual differences between instances as a supervisory signal, and b) Semantic Sorting and NMS step to suppress duplicates and incorrectly categorized prediction. Ablations show that our method encodes contextual information better than baselines, and experiments on COCO our method simultaneously reduces merging and hedging errors compared to state-of-the-art instance segmentation methods.





Abstract:Vessel segmenting is an essential task in many clinical applications. Although supervised methods have achieved state-of-art performance, acquiring expert annotation is laborious and mostly limited for two-dimensional datasets with a small sample size. On the contrary, unsupervised methods rely on handcrafted features to detect tube-like structures such as vessels. However, those methods require complex pipelines involving several hyper-parameters and design choices rendering the procedure sensitive, dataset-specific, and not generalizable. Also, unsupervised methods usually underperform supervised methods. We propose a self-supervised method with a limited number of hyper-parameters that is generalizable. Our method uses tube-like structure properties, such as connectivity, profile consistency, and bifurcation, to introduce inductive bias into a learning algorithm. To model those properties, we generate a vector field that we refer to as a flow. Our experiments on various datasets in 2D and 3D show that our method reduces the gap between supervised and unsupervised methods. Unlike generic self-supervised methods, the learned features are transferable for supervised approaches, which is essential when the number of annotated data is limited.
