Abstract:Ensuring the safety of language models in high-stakes settings remains a pressing challenge, as aligned behaviors are often brittle and easily undone by adversarial pressure or downstream finetuning. Prior work has shown that interventions applied during pretraining, such as rephrasing harmful content, can substantially improve the safety of the resulting models. In this paper, we study the fundamental question: "When during pretraining should safety interventions be introduced?" We keep the underlying data fixed and vary only the choice of a safety curriculum: the timing of these interventions, i.e., after 0%, 20%, or 60% of the pretraining token budget. We find that introducing interventions earlier generally yields more robust models with no increase in overrefusal rates, with the clearest benefits appearing after downstream, benign finetuning. We also see clear benefits in the steerability of models towards safer generations. Finally, we observe that earlier interventions reshape internal representations: linear probes more cleanly separate safe vs harmful examples. Overall, these results argue for incorporating safety signals early in pretraining, producing models that are more robust to downstream finetuning and jailbreaking, and more reliable under both standard and safety-aware inference procedures.
Abstract:Empirical evaluation serves as the primary compass guiding research progress in foundation models. Despite a large body of work focused on training frontier vision-language models (VLMs), approaches to their evaluation remain nascent. To guide their maturation, we propose three desiderata that evaluations should satisfy: (1) faithfulness to the modality and application, (2) discriminability between models of varying quality, and (3) efficiency in compute. Through this lens, we identify critical failure modes that violate faithfulness and discriminability, misrepresenting model capabilities: (i) multiple-choice formats reward guessing, poorly reflect downstream use cases, and saturate early as models improve; (ii) blindly solvable questions, which can be answered without images, constitute up to 70% of some evaluations; and (iii) mislabeled or ambiguous samples compromise up to 42% of examples in certain datasets. Regarding efficiency, the computational burden of evaluating frontier models has become prohibitive: by some accounts, nearly 20% of development compute is devoted to evaluation alone. Rather than discarding existing benchmarks, we curate them via transformation and filtering to maximize fidelity and discriminability. We find that converting multiple-choice questions to generative tasks reveals sharp capability drops of up to 35%. In addition, filtering blindly solvable and mislabeled samples improves discriminative power while simultaneously reducing computational cost. We release DatBench-Full, a cleaned evaluation suite of 33 datasets spanning nine VLM capabilities, and DatBench, a discriminative subset that achieves 13x average speedup (up to 50x) while closely matching the discriminative power of the original datasets. Our work outlines a path toward evaluation practices that are both rigorous and sustainable as VLMs continue to scale.
Abstract:Frontier language model quality increasingly hinges on our ability to organize web-scale text corpora for training. Today's dominant tools trade off speed and flexibility: lexical classifiers (e.g., FastText) are fast but limited to producing classification output scores, while the vector-valued outputs of transformer text embedding models flexibly support numerous workflows (e.g., clustering, classification, and retrieval) but are computationally expensive to produce. We introduce Luxical, a library for high-speed "lexical-dense" text embeddings that aims to recover the best properties of both approaches for web-scale text organization. Luxical combines sparse TF--IDF features, a small ReLU network, and a knowledge distillation training regimen to approximate large transformer embedding models at a fraction of their operational cost. In this technical report, we describe the Luxical architecture and training objective and evaluate a concrete Luxical model in two disparate applications: a targeted webcrawl document retrieval test and an end-to-end language model data curation task grounded in text classification. In these tasks we demonstrate speedups ranging from 3x to 100x over varying-sized neural baselines, and comparable to FastText model inference during the data curation task. On these evaluations, the tested Luxical model illustrates favorable compute/quality trade-offs for large-scale text organization, matching the quality of neural baselines. Luxical is available as open-source software at https://github.com/datologyai/luxical.
Abstract:The remarkable capabilities of Large Language Models (LLMs) can be mainly attributed to their massive training datasets, which are often scraped from the internet without respecting data owners' intellectual property rights. Dataset Inference (DI) offers a potential remedy by identifying whether a suspect dataset was used in training, thereby enabling data owners to verify unauthorized use. However, existing DI methods require a private set-known to be absent from training-that closely matches the compromised dataset's distribution. Such in-distribution, held-out data is rarely available in practice, severely limiting the applicability of DI. In this work, we address this challenge by synthetically generating the required held-out set. Our approach tackles two key obstacles: (1) creating high-quality, diverse synthetic data that accurately reflects the original distribution, which we achieve via a data generator trained on a carefully designed suffix-based completion task, and (2) bridging likelihood gaps between real and synthetic data, which is realized through post-hoc calibration. Extensive experiments on diverse text datasets show that using our generated data as a held-out set enables DI to detect the original training sets with high confidence, while maintaining a low false positive rate. This result empowers copyright owners to make legitimate claims on data usage and demonstrates our method's reliability for real-world litigations. Our code is available at https://github.com/sprintml/PostHocDatasetInference.




Abstract:Robust unlearning is crucial for safely deploying large language models (LLMs) in environments where data privacy, model safety, and regulatory compliance must be ensured. Yet the task is inherently challenging, partly due to difficulties in reliably measuring whether unlearning has truly occurred. Moreover, fragmentation in current methodologies and inconsistent evaluation metrics hinder comparative analysis and reproducibility. To unify and accelerate research efforts, we introduce OpenUnlearning, a standardized and extensible framework designed explicitly for benchmarking both LLM unlearning methods and metrics. OpenUnlearning integrates 9 unlearning algorithms and 16 diverse evaluations across 3 leading benchmarks (TOFU, MUSE, and WMDP) and also enables analyses of forgetting behaviors across 450+ checkpoints we publicly release. Leveraging OpenUnlearning, we propose a novel meta-evaluation benchmark focused specifically on assessing the faithfulness and robustness of evaluation metrics themselves. We also benchmark diverse unlearning methods and provide a comparative analysis against an extensive evaluation suite. Overall, we establish a clear, community-driven pathway toward rigorous development in LLM unlearning research.
Abstract:As large language models (LLMs) are increasingly deployed in high-stakes settings, the risk of generating harmful or toxic content remains a central challenge. Post-hoc alignment methods are brittle: once unsafe patterns are learned during pretraining, they are hard to remove. We present a data-centric pretraining framework that builds safety into the model from the start. Our contributions include: (i) a safety classifier trained on 10,000 GPT-4 labeled examples, used to filter 600B tokens; (ii) the largest synthetic safety dataset to date (100B tokens) generated via recontextualization of harmful web data; (iii) RefuseWeb and Moral Education datasets that convert harmful prompts into refusal dialogues and web-style educational material; (iv) Harmfulness-Tag annotations injected during pretraining to flag unsafe content and steer away inference from harmful generations; and (v) safety evaluations measuring base model behavior before instruction tuning. Our safety-pretrained models reduce attack success rates from 38.8% to 8.4% with no performance degradation on standard LLM safety benchmarks.
Abstract:Given how large parts of publicly available text are crawled to pretrain large language models (LLMs), data creators increasingly worry about the inclusion of their proprietary data for model training without attribution or licensing. Their concerns are also shared by benchmark curators whose test-sets might be compromised. In this paper, we present STAMP, a framework for detecting dataset membership-i.e., determining the inclusion of a dataset in the pretraining corpora of LLMs. Given an original piece of content, our proposal involves first generating multiple rephrases, each embedding a watermark with a unique secret key. One version is to be released publicly, while others are to be kept private. Subsequently, creators can compare model likelihoods between public and private versions using paired statistical tests to prove membership. We show that our framework can successfully detect contamination across four benchmarks which appear only once in the training data and constitute less than 0.001% of the total tokens, outperforming several contamination detection and dataset inference baselines. We verify that STAMP preserves both the semantic meaning and the utility of the original data in comparing different models. We apply STAMP to two real-world scenarios to confirm the inclusion of paper abstracts and blog articles in the pretraining corpora.




Abstract:Colloquially speaking, image generation models based upon diffusion processes are frequently said to exhibit "hallucinations," samples that could never occur in the training data. But where do such hallucinations come from? In this paper, we study a particular failure mode in diffusion models, which we term mode interpolation. Specifically, we find that diffusion models smoothly "interpolate" between nearby data modes in the training set, to generate samples that are completely outside the support of the original training distribution; this phenomenon leads diffusion models to generate artifacts that never existed in real data (i.e., hallucinations). We systematically study the reasons for, and the manifestation of this phenomenon. Through experiments on 1D and 2D Gaussians, we show how a discontinuous loss landscape in the diffusion model's decoder leads to a region where any smooth approximation will cause such hallucinations. Through experiments on artificial datasets with various shapes, we show how hallucination leads to the generation of combinations of shapes that never existed. Finally, we show that diffusion models in fact know when they go out of support and hallucinate. This is captured by the high variance in the trajectory of the generated sample towards the final few backward sampling process. Using a simple metric to capture this variance, we can remove over 95% of hallucinations at generation time while retaining 96% of in-support samples. We conclude our exploration by showing the implications of such hallucination (and its removal) on the collapse (and stabilization) of recursive training on synthetic data with experiments on MNIST and 2D Gaussians dataset. We release our code at https://github.com/locuslab/diffusion-model-hallucination.




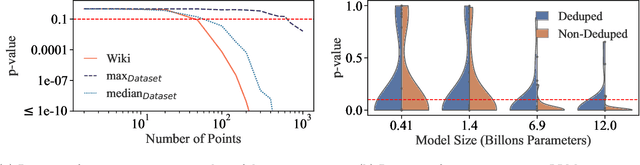
Abstract:The proliferation of large language models (LLMs) in the real world has come with a rise in copyright cases against companies for training their models on unlicensed data from the internet. Recent works have presented methods to identify if individual text sequences were members of the model's training data, known as membership inference attacks (MIAs). We demonstrate that the apparent success of these MIAs is confounded by selecting non-members (text sequences not used for training) belonging to a different distribution from the members (e.g., temporally shifted recent Wikipedia articles compared with ones used to train the model). This distribution shift makes membership inference appear successful. However, most MIA methods perform no better than random guessing when discriminating between members and non-members from the same distribution (e.g., in this case, the same period of time). Even when MIAs work, we find that different MIAs succeed at inferring membership of samples from different distributions. Instead, we propose a new dataset inference method to accurately identify the datasets used to train large language models. This paradigm sits realistically in the modern-day copyright landscape, where authors claim that an LLM is trained over multiple documents (such as a book) written by them, rather than one particular paragraph. While dataset inference shares many of the challenges of membership inference, we solve it by selectively combining the MIAs that provide positive signal for a given distribution, and aggregating them to perform a statistical test on a given dataset. Our approach successfully distinguishes the train and test sets of different subsets of the Pile with statistically significant p-values < 0.1, without any false positives.




Abstract:Large language models (LLMs) trained on web-scale datasets raise substantial concerns regarding permissible data usage. One major question is whether these models "memorize" all their training data or they integrate many data sources in some way more akin to how a human would learn and synthesize information. The answer hinges, to a large degree, on $\textit{how we define memorization}$. In this work, we propose the Adversarial Compression Ratio (ACR) as a metric for assessing memorization in LLMs -- a given string from the training data is considered memorized if it can be elicited by a prompt shorter than the string itself. In other words, these strings can be "compressed" with the model by computing adversarial prompts of fewer tokens. We outline the limitations of existing notions of memorization and show how the ACR overcomes these challenges by (i) offering an adversarial view to measuring memorization, especially for monitoring unlearning and compliance; and (ii) allowing for the flexibility to measure memorization for arbitrary strings at a reasonably low compute. Our definition serves as a valuable and practical tool for determining when model owners may be violating terms around data usage, providing a potential legal tool and a critical lens through which to address such scenarios. Project page: https://locuslab.github.io/acr-memorization.