Abstract:Transformers have been established as the de-facto backbones for most recent advances in sequence modeling, mainly due to their growing memory capacity that scales with the context length. While plausible for retrieval tasks, it causes quadratic complexity and so has motivated recent studies to explore viable subquadratic recurrent alternatives. Despite showing promising preliminary results in diverse domains, such recurrent architectures underperform Transformers in recall-intensive tasks, often attributed to their fixed-size memory. In this paper, we introduce Memory Caching (MC), a simple yet effective technique that enhances recurrent models by caching checkpoints of their memory states (a.k.a. hidden states). Memory Caching allows the effective memory capacity of RNNs to grow with sequence length, offering a flexible trade-off that interpolates between the fixed memory (i.e., $O(L)$ complexity) of RNNs and the growing memory (i.e., $O(L^2)$ complexity) of Transformers. We propose four variants of MC, including gated aggregation and sparse selective mechanisms, and discuss their implications on both linear and deep memory modules. Our experimental results on language modeling, and long-context understanding tasks show that MC enhances the performance of recurrent models, supporting its effectiveness. The results of in-context recall tasks indicate that while Transformers achieve the best accuracy, our MC variants show competitive performance, close the gap with Transformers, and performs better than state-of-the-art recurrent models.
Abstract:Despite the recent progresses, particularly in developing Language Models, there are fundamental challenges and unanswered questions about how such models can continually learn/memorize, self-improve, and find effective solutions. In this paper, we present a new learning paradigm, called Nested Learning (NL), that coherently represents a machine learning model with a set of nested, multi-level, and/or parallel optimization problems, each of which with its own context flow. Through the lenses of NL, existing deep learning methods learns from data through compressing their own context flow, and in-context learning naturally emerges in large models. NL suggests a philosophy to design more expressive learning algorithms with more levels, resulting in higher-order in-context learning and potentially unlocking effective continual learning capabilities. We advocate for NL by presenting three core contributions: (1) Expressive Optimizers: We show that known gradient-based optimizers, such as Adam, SGD with Momentum, etc., are in fact associative memory modules that aim to compress the gradients' information (by gradient descent). Building on this insight, we present other more expressive optimizers with deep memory and/or more powerful learning rules; (2) Self-Modifying Learning Module: Taking advantage of NL's insights on learning algorithms, we present a sequence model that learns how to modify itself by learning its own update algorithm; and (3) Continuum Memory System: We present a new formulation for memory system that generalizes the traditional viewpoint of long/short-term memory. Combining our self-modifying sequence model with the continuum memory system, we present a continual learning module, called Hope, showing promising results in language modeling, knowledge incorporation, and few-shot generalization tasks, continual learning, and long-context reasoning tasks.
Abstract:State-space models (SSMs) have recently attention as an efficient alternative to computationally expensive attention-based models for sequence modeling. They rely on linear recurrences to integrate information over time, enabling fast inference, parallelizable training, and control over recurrence stability. However, traditional SSMs often suffer from limited effective memory, requiring larger state sizes for improved recall. Moreover, existing SSMs struggle to capture multi-scale dependencies, which are essential for modeling complex structures in time series, images, and natural language. This paper introduces a multi-scale SSM framework that addresses these limitations by representing sequence dynamics across multiple resolution and processing each resolution with specialized state-space dynamics. By capturing both fine-grained, high-frequency patterns and coarse, global trends, MS-SSM enhances memory efficiency and long-range modeling. We further introduce an input-dependent scale-mixer, enabling dynamic information fusion across resolutions. The proposed approach significantly improves sequence modeling, particularly in long-range and hierarchical tasks, while maintaining computational efficiency. Extensive experiments on benchmarks, including Long Range Arena, hierarchical reasoning, time series classification, and image recognition, demonstrate that MS-SSM consistently outperforms prior SSM-based models, highlighting the benefits of multi-resolution processing in state-space architectures.
Abstract:Recurrent neural networks (RNNs) with deep test-time memorization modules, such as Titans and TTT, represent a promising, linearly-scaling paradigm distinct from Transformers. While these expressive models do not yet match the peak performance of state-of-the-art Transformers, their potential has been largely untapped due to prohibitively slow training and low hardware utilization. Existing parallelization methods force a fundamental conflict governed by the chunksize hyperparameter: large chunks boost speed but degrade performance, necessitating a fixed, suboptimal compromise. To solve this challenge, we introduce TNT, a novel training paradigm that decouples training efficiency from inference performance through a two-stage process. Stage one is an efficiency-focused pre-training phase utilizing a hierarchical memory. A global module processes large, hardware-friendly chunks for long-range context, while multiple parallel local modules handle fine-grained details. Crucially, by periodically resetting local memory states, we break sequential dependencies to enable massive context parallelization. Stage two is a brief fine-tuning phase where only the local memory modules are adapted to a smaller, high-resolution chunksize, maximizing accuracy with minimal overhead. Evaluated on Titans and TTT models, TNT achieves a substantial acceleration in training speed-up to 17 times faster than the most accurate baseline configuration - while simultaneously improving model accuracy. This improvement removes a critical scalability barrier, establishing a practical foundation for developing expressive RNNs and facilitating future work to close the performance gap with Transformers.




Abstract:Transformers have been established as the most popular backbones in sequence modeling, mainly due to their effectiveness in in-context retrieval tasks and the ability to learn at scale. Their quadratic memory and time complexity, however, bound their applicability in longer sequences and so has motivated researchers to explore effective alternative architectures such as modern recurrent neural networks (a.k.a long-term recurrent memory module). Despite their recent success in diverse downstream tasks, they struggle in tasks that requires long context understanding and extrapolation to longer sequences. We observe that these shortcomings come from three disjoint aspects in their design: (1) limited memory capacity that is bounded by the architecture of memory and feature mapping of the input; (2) online nature of update, i.e., optimizing the memory only with respect to the last input; and (3) less expressive management of their fixed-size memory. To enhance all these three aspects, we present ATLAS, a long-term memory module with high capacity that learns to memorize the context by optimizing the memory based on the current and past tokens, overcoming the online nature of long-term memory models. Building on this insight, we present a new family of Transformer-like architectures, called DeepTransformers, that are strict generalizations of the original Transformer architecture. Our experimental results on language modeling, common-sense reasoning, recall-intensive, and long-context understanding tasks show that ATLAS surpasses the performance of Transformers and recent linear recurrent models. ATLAS further improves the long context performance of Titans, achieving +80\% accuracy in 10M context length of BABILong benchmark.




Abstract:Designing efficient and effective architectural backbones has been in the core of research efforts to enhance the capability of foundation models. Inspired by the human cognitive phenomenon of attentional bias-the natural tendency to prioritize certain events or stimuli-we reconceptualize neural architectures, including Transformers, Titans, and modern linear recurrent neural networks as associative memory modules that learn a mapping of keys and values using an internal objective, referred to as attentional bias. Surprisingly, we observed that most existing sequence models leverage either (1) dot-product similarity, or (2) L2 regression objectives as their attentional bias. Going beyond these objectives, we present a set of alternative attentional bias configurations along with their effective approximations to stabilize their training procedure. We then reinterpret forgetting mechanisms in modern deep learning architectures as a form of retention regularization, providing a novel set of forget gates for sequence models. Building upon these insights, we present Miras, a general framework to design deep learning architectures based on four choices of: (i) associative memory architecture, (ii) attentional bias objective, (iii) retention gate, and (iv) memory learning algorithm. We present three novel sequence models-Moneta, Yaad, and Memora-that go beyond the power of existing linear RNNs while maintaining a fast parallelizable training process. Our experiments show different design choices in Miras yield models with varying strengths. For example, certain instances of Miras achieve exceptional performance in special tasks such as language modeling, commonsense reasoning, and recall intensive tasks, even outperforming Transformers and other modern linear recurrent models.




Abstract:Modern machine learning models are trained on diverse datasets and tasks to improve generalization. A key challenge in multitask learning is determining the optimal data mixing and sampling strategy across different data sources. Prior research in this multi-task learning setting has primarily focused on mitigating gradient conflicts between tasks. However, we observe that many real-world multitask learning scenarios-such as multilingual training and multi-domain learning in large foundation models-exhibit predominantly positive task interactions with minimal or no gradient conflict. Building on this insight, we introduce PiKE (Positive gradient interaction-based K-task weights Estimator), an adaptive data mixing algorithm that dynamically adjusts task contributions throughout training. PiKE optimizes task sampling to minimize overall loss, effectively leveraging positive gradient interactions with almost no additional computational overhead. We establish theoretical convergence guarantees for PiKE and demonstrate its superiority over static and non-adaptive mixing strategies. Additionally, we extend PiKE to promote fair learning across tasks, ensuring balanced progress and preventing task underrepresentation. Empirical evaluations on large-scale language model pretraining show that PiKE consistently outperforms existing heuristic and static mixing strategies, leading to faster convergence and improved downstream task performance.
Abstract:Over more than a decade there has been an extensive research effort on how to effectively utilize recurrent models and attention. While recurrent models aim to compress the data into a fixed-size memory (called hidden state), attention allows attending to the entire context window, capturing the direct dependencies of all tokens. This more accurate modeling of dependencies, however, comes with a quadratic cost, limiting the model to a fixed-length context. We present a new neural long-term memory module that learns to memorize historical context and helps attention to attend to the current context while utilizing long past information. We show that this neural memory has the advantage of fast parallelizable training while maintaining a fast inference. From a memory perspective, we argue that attention due to its limited context but accurate dependency modeling performs as a short-term memory, while neural memory due to its ability to memorize the data, acts as a long-term, more persistent, memory. Based on these two modules, we introduce a new family of architectures, called Titans, and present three variants to address how one can effectively incorporate memory into this architecture. Our experimental results on language modeling, common-sense reasoning, genomics, and time series tasks show that Titans are more effective than Transformers and recent modern linear recurrent models. They further can effectively scale to larger than 2M context window size with higher accuracy in needle-in-haystack tasks compared to baselines.




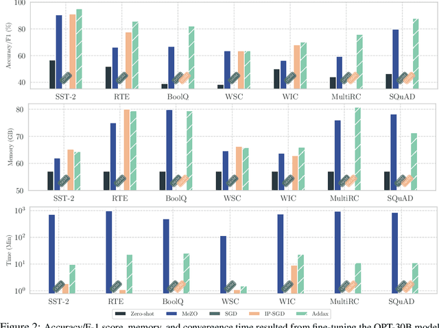
Abstract:Fine-tuning language models (LMs) with the Adam optimizer often demands excessive memory, limiting accessibility. The "in-place" version of Stochastic Gradient Descent (IP-SGD) and Memory-Efficient Zeroth-order Optimizer (MeZO) have been proposed to address this. However, IP-SGD still requires substantial memory, and MeZO suffers from slow convergence and degraded final performance due to its zeroth-order nature. This paper introduces Addax, a novel method that improves both memory efficiency and performance of IP-SGD by integrating it with MeZO. Specifically, Addax computes zeroth- or first-order gradients of data points in the minibatch based on their memory consumption, combining these gradient estimates to update directions. By computing zeroth-order gradients for data points that require more memory and first-order gradients for others, Addax overcomes the slow convergence of MeZO and the excessive memory requirement of IP-SGD. Additionally, the zeroth-order gradient acts as a regularizer for the first-order gradient, further enhancing the model's final performance. Theoretically, we establish the convergence of Addax under mild assumptions, demonstrating faster convergence and less restrictive hyper-parameter choices than MeZO. Our experiments with diverse LMs and tasks show that Addax consistently outperforms MeZO regarding accuracy and convergence speed while having a comparable memory footprint. When fine-tuning OPT-13B with one A100 GPU, on average, Addax outperforms MeZO in accuracy/F1 score by 14% and runs 15x faster while using memory similar to MeZO. In our experiments on the larger OPT-30B model, on average, Addax outperforms MeZO in terms of accuracy/F1 score by >16 and runs 30x faster on a single H100 GPU. Moreover, Addax surpasses the performance of standard fine-tuning approaches, such as IP-SGD and Adam, in most tasks with significantly less memory requirement.
Abstract:The performance of a model trained with \textit{noisy labels} is often improved by simply \textit{retraining} the model with its own predicted \textit{hard} labels (i.e., $1$/$0$ labels). Yet, a detailed theoretical characterization of this phenomenon is lacking. In this paper, we theoretically analyze retraining in a linearly separable setting with randomly corrupted labels given to us and prove that retraining can improve the population accuracy obtained by initially training with the given (noisy) labels. To the best of our knowledge, this is the first such theoretical result. Retraining finds application in improving training with label differential privacy (DP) which involves training with noisy labels. We empirically show that retraining selectively on the samples for which the predicted label matches the given label significantly improves label DP training at \textit{no extra privacy cost}; we call this \textit{consensus-based retraining}. For e.g., when training ResNet-18 on CIFAR-100 with $\epsilon=3$ label DP, we obtain $6.4\%$ improvement in accuracy with consensus-based retraining.