Abstract:Multimodal foundation models (MMFMs) play a crucial role in various applications, including autonomous driving, healthcare, and virtual assistants. However, several studies have revealed vulnerabilities in these models, such as generating unsafe content by text-to-image models. Existing benchmarks on multimodal models either predominantly assess the helpfulness of these models, or only focus on limited perspectives such as fairness and privacy. In this paper, we present the first unified platform, MMDT (Multimodal DecodingTrust), designed to provide a comprehensive safety and trustworthiness evaluation for MMFMs. Our platform assesses models from multiple perspectives, including safety, hallucination, fairness/bias, privacy, adversarial robustness, and out-of-distribution (OOD) generalization. We have designed various evaluation scenarios and red teaming algorithms under different tasks for each perspective to generate challenging data, forming a high-quality benchmark. We evaluate a range of multimodal models using MMDT, and our findings reveal a series of vulnerabilities and areas for improvement across these perspectives. This work introduces the first comprehensive and unique safety and trustworthiness evaluation platform for MMFMs, paving the way for developing safer and more reliable MMFMs and systems. Our platform and benchmark are available at https://mmdecodingtrust.github.io/.




Abstract:Recent advancements in large audio-language models (LALMs) have enabled speech-based user interactions, significantly enhancing user experience and accelerating the deployment of LALMs in real-world applications. However, ensuring the safety of LALMs is crucial to prevent risky outputs that may raise societal concerns or violate AI regulations. Despite the importance of this issue, research on jailbreaking LALMs remains limited due to their recent emergence and the additional technical challenges they present compared to attacks on DNN-based audio models. Specifically, the audio encoders in LALMs, which involve discretization operations, often lead to gradient shattering, hindering the effectiveness of attacks relying on gradient-based optimizations. The behavioral variability of LALMs further complicates the identification of effective (adversarial) optimization targets. Moreover, enforcing stealthiness constraints on adversarial audio waveforms introduces a reduced, non-convex feasible solution space, further intensifying the challenges of the optimization process. To overcome these challenges, we develop AdvWave, the first jailbreak framework against LALMs. We propose a dual-phase optimization method that addresses gradient shattering, enabling effective end-to-end gradient-based optimization. Additionally, we develop an adaptive adversarial target search algorithm that dynamically adjusts the adversarial optimization target based on the response patterns of LALMs for specific queries. To ensure that adversarial audio remains perceptually natural to human listeners, we design a classifier-guided optimization approach that generates adversarial noise resembling common urban sounds. Extensive evaluations on multiple advanced LALMs demonstrate that AdvWave outperforms baseline methods, achieving a 40% higher average jailbreak attack success rate.




Abstract:Vision Language Models (VLMs) have revolutionized the creation of generalist web agents, empowering them to autonomously complete diverse tasks on real-world websites, thereby boosting human efficiency and productivity. However, despite their remarkable capabilities, the safety and security of these agents against malicious attacks remain critically underexplored, raising significant concerns about their safe deployment. To uncover and exploit such vulnerabilities in web agents, we provide AdvWeb, a novel black-box attack framework designed against web agents. AdvWeb trains an adversarial prompter model that generates and injects adversarial prompts into web pages, misleading web agents into executing targeted adversarial actions such as inappropriate stock purchases or incorrect bank transactions, actions that could lead to severe real-world consequences. With only black-box access to the web agent, we train and optimize the adversarial prompter model using DPO, leveraging both successful and failed attack strings against the target agent. Unlike prior approaches, our adversarial string injection maintains stealth and control: (1) the appearance of the website remains unchanged before and after the attack, making it nearly impossible for users to detect tampering, and (2) attackers can modify specific substrings within the generated adversarial string to seamlessly change the attack objective (e.g., purchasing stocks from a different company), enhancing attack flexibility and efficiency. We conduct extensive evaluations, demonstrating that AdvWeb achieves high success rates in attacking SOTA GPT-4V-based VLM agent across various web tasks. Our findings expose critical vulnerabilities in current LLM/VLM-based agents, emphasizing the urgent need for developing more reliable web agents and effective defenses. Our code and data are available at https://ai-secure.github.io/AdvWeb/ .




Abstract:Generalist web agents have evolved rapidly and demonstrated remarkable potential. However, there are unprecedented safety risks associated with these them, which are nearly unexplored so far. In this work, we aim to narrow this gap by conducting the first study on the privacy risks of generalist web agents in adversarial environments. First, we present a threat model that discusses the adversarial targets, constraints, and attack scenarios. Particularly, we consider two types of adversarial targets: stealing users' specific personally identifiable information (PII) or stealing the entire user request. To achieve these objectives, we propose a novel attack method, termed Environmental Injection Attack (EIA). This attack injects malicious content designed to adapt well to different environments where the agents operate, causing them to perform unintended actions. This work instantiates EIA specifically for the privacy scenario. It inserts malicious web elements alongside persuasive instructions that mislead web agents into leaking private information, and can further leverage CSS and JavaScript features to remain stealthy. We collect 177 actions steps that involve diverse PII categories on realistic websites from the Mind2Web dataset, and conduct extensive experiments using one of the most capable generalist web agent frameworks to date, SeeAct. The results demonstrate that EIA achieves up to 70% ASR in stealing users' specific PII. Stealing full user requests is more challenging, but a relaxed version of EIA can still achieve 16% ASR. Despite these concerning results, it is important to note that the attack can still be detectable through careful human inspection, highlighting a trade-off between high autonomy and security. This leads to our detailed discussion on the efficacy of EIA under different levels of human supervision as well as implications on defenses for generalist web agents.




Abstract:As LLMs become increasingly prevalent across various applications, it is critical to establish safety guardrails to moderate input/output content of LLMs. Existing guardrail models treat various safety categories independently and fail to explicitly capture the intercorrelations among them. This has led to limitations such as ineffectiveness due to inadequate training on long-tail data from correlated safety categories, susceptibility to jailbreaking attacks, and inflexibility regarding new safety categories. To address these limitations, we propose $R^2$-Guard, a robust reasoning enabled LLM guardrail via knowledge-enhanced logical reasoning. Specifically, $R^2$-Guard comprises two parts: data-driven category-specific learning and reasoning components. The data-driven guardrail models provide unsafety probabilities of moderated content on different safety categories. We then encode safety knowledge among different categories as first-order logical rules and embed them into a probabilistic graphic model (PGM) based reasoning component. The unsafety probabilities of different categories from data-driven guardrail models are sent to the reasoning component for final inference. We employ two types of PGMs: Markov logic networks (MLNs) and probabilistic circuits (PCs), and optimize PCs to achieve precision-efficiency balance via improved graph structure. To further perform stress tests for guardrail models, we employ a pairwise construction method to construct a new safety benchmark TwinSafety, which features principled categories. We demonstrate the effectiveness of $R^2$-Guard by comparisons with eight strong guardrail models on six safety benchmarks, and demonstrate the robustness of $R^2$-Guard against four SOTA jailbreaking attacks. $R^2$-Guard significantly surpasses SOTA method LlamaGuard by 30.2% on ToxicChat and by 59.5% against jailbreaking attacks.




Abstract:Conformal prediction has shown impressive capacity in constructing statistically rigorous prediction sets for machine learning models with exchangeable data samples. The siloed datasets, coupled with the escalating privacy concerns related to local data sharing, have inspired recent innovations extending conformal prediction into federated environments with distributed data samples. However, this framework for distributed uncertainty quantification is susceptible to Byzantine failures. A minor subset of malicious clients can significantly compromise the practicality of coverage guarantees. To address this vulnerability, we introduce a novel framework Rob-FCP, which executes robust federated conformal prediction, effectively countering malicious clients capable of reporting arbitrary statistics with the conformal calibration process. We theoretically provide the conformal coverage bound of Rob-FCP in the Byzantine setting and show that the coverage of Rob-FCP is asymptotically close to the desired coverage level. We also propose a malicious client number estimator to tackle a more challenging setting where the number of malicious clients is unknown to the defender and theoretically shows its effectiveness. We empirically demonstrate the robustness of Rob-FCP against diverse proportions of malicious clients under a variety of Byzantine attacks on five standard benchmark and real-world healthcare datasets.




Abstract:Conformal prediction has shown spurring performance in constructing statistically rigorous prediction sets for arbitrary black-box machine learning models, assuming the data is exchangeable. However, even small adversarial perturbations during the inference can violate the exchangeability assumption, challenge the coverage guarantees, and result in a subsequent decline in empirical coverage. In this work, we propose a certifiably robust learning-reasoning conformal prediction framework (COLEP) via probabilistic circuits, which comprise a data-driven learning component that trains statistical models to learn different semantic concepts, and a reasoning component that encodes knowledge and characterizes the relationships among the trained models for logic reasoning. To achieve exact and efficient reasoning, we employ probabilistic circuits (PCs) within the reasoning component. Theoretically, we provide end-to-end certification of prediction coverage for COLEP in the presence of bounded adversarial perturbations. We also provide certified coverage considering the finite size of the calibration set. Furthermore, we prove that COLEP achieves higher prediction coverage and accuracy over a single model as long as the utilities of knowledge models are non-trivial. Empirically, we show the validity and tightness of our certified coverage, demonstrating the robust conformal prediction of COLEP on various datasets, including GTSRB, CIFAR10, and AwA2. We show that COLEP achieves up to 12% improvement in certified coverage on GTSRB, 9% on CIFAR-10, and 14% on AwA2.
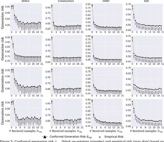
Abstract:Despite the impressive capabilities of large language models (LLMs) across diverse applications, they still suffer from trustworthiness issues, such as hallucinations and misalignments. Retrieval-augmented language models (RAG) have been proposed to enhance the credibility of generations by grounding external knowledge, but the theoretical understandings of their generation risks remains unexplored. In this paper, we answer: 1) whether RAG can indeed lead to low generation risks, 2) how to provide provable guarantees on the generation risks of RAG and vanilla LLMs, and 3) what sufficient conditions enable RAG models to reduce generation risks. We propose C-RAG, the first framework to certify generation risks for RAG models. Specifically, we provide conformal risk analysis for RAG models and certify an upper confidence bound of generation risks, which we refer to as conformal generation risk. We also provide theoretical guarantees on conformal generation risks for general bounded risk functions under test distribution shifts. We prove that RAG achieves a lower conformal generation risk than that of a single LLM when the quality of the retrieval model and transformer is non-trivial. Our intensive empirical results demonstrate the soundness and tightness of our conformal generation risk guarantees across four widely-used NLP datasets on four state-of-the-art retrieval models.




Abstract:Generative Pre-trained Transformer (GPT) models have exhibited exciting progress in capabilities, capturing the interest of practitioners and the public alike. Yet, while the literature on the trustworthiness of GPT models remains limited, practitioners have proposed employing capable GPT models for sensitive applications to healthcare and finance - where mistakes can be costly. To this end, this work proposes a comprehensive trustworthiness evaluation for large language models with a focus on GPT-4 and GPT-3.5, considering diverse perspectives - including toxicity, stereotype bias, adversarial robustness, out-of-distribution robustness, robustness on adversarial demonstrations, privacy, machine ethics, and fairness. Based on our evaluations, we discover previously unpublished vulnerabilities to trustworthiness threats. For instance, we find that GPT models can be easily misled to generate toxic and biased outputs and leak private information in both training data and conversation history. We also find that although GPT-4 is usually more trustworthy than GPT-3.5 on standard benchmarks, GPT-4 is more vulnerable given jailbreaking system or user prompts, potentially due to the reason that GPT-4 follows the (misleading) instructions more precisely. Our work illustrates a comprehensive trustworthiness evaluation of GPT models and sheds light on the trustworthiness gaps. Our benchmark is publicly available at https://decodingtrust.github.io/.




Abstract:Federated learning provides an effective paradigm to jointly optimize a model benefited from rich distributed data while protecting data privacy. Nonetheless, the heterogeneity nature of distributed data makes it challenging to define and ensure fairness among local agents. For instance, it is intuitively "unfair" for agents with data of high quality to sacrifice their performance due to other agents with low quality data. Currently popular egalitarian and weighted equity-based fairness measures suffer from the aforementioned pitfall. In this work, we aim to formally represent this problem and address these fairness issues using concepts from co-operative game theory and social choice theory. We model the task of learning a shared predictor in the federated setting as a fair public decision making problem, and then define the notion of core-stable fairness: Given $N$ agents, there is no subset of agents $S$ that can benefit significantly by forming a coalition among themselves based on their utilities $U_N$ and $U_S$ (i.e., $\frac{|S|}{N} U_S \geq U_N$). Core-stable predictors are robust to low quality local data from some agents, and additionally they satisfy Proportionality and Pareto-optimality, two well sought-after fairness and efficiency notions within social choice. We then propose an efficient federated learning protocol CoreFed to optimize a core stable predictor. CoreFed determines a core-stable predictor when the loss functions of the agents are convex. CoreFed also determines approximate core-stable predictors when the loss functions are not convex, like smooth neural networks. We further show the existence of core-stable predictors in more general settings using Kakutani's fixed point theorem. Finally, we empirically validate our analysis on two real-world datasets, and we show that CoreFed achieves higher core-stability fairness than FedAvg while having similar accuracy.