Abstract:We present LiGR, a large-scale ranking framework developed at LinkedIn that brings state-of-the-art transformer-based modeling architectures into production. We introduce a modified transformer architecture that incorporates learned normalization and simultaneous set-wise attention to user history and ranked items. This architecture enables several breakthrough achievements, including: (1) the deprecation of most manually designed feature engineering, outperforming the prior state-of-the-art system using only few features (compared to hundreds in the baseline), (2) validation of the scaling law for ranking systems, showing improved performance with larger models, more training data, and longer context sequences, and (3) simultaneous joint scoring of items in a set-wise manner, leading to automated improvements in diversity. To enable efficient serving of large ranking models, we describe techniques to scale inference effectively using single-pass processing of user history and set-wise attention. We also summarize key insights from various ablation studies and A/B tests, highlighting the most impactful technical approaches.




Abstract:We study user history modeling via Transformer encoders in deep learning recommendation models (DLRM). Such architectures can significantly improve recommendation quality, but usually incur high latency cost necessitating infrastructure upgrades or very small Transformer models. An important part of user history modeling is early fusion of the candidate item and various methods have been studied. We revisit early fusion and compare concatenation of the candidate to each history item against appending it to the end of the list as a separate item. Using the latter method, allows us to reformulate the recently proposed amortized history inference algorithm M-FALCON \cite{zhai2024actions} for the case of DLRM models. We show via experimental results that appending with cross-attention performs on par with concatenation and that amortization significantly reduces inference costs. We conclude with results from deploying this model on the LinkedIn Feed and Ads surfaces, where amortization reduces latency by 30\% compared to non-amortized inference.




Abstract:We present LiRank, a large-scale ranking framework at LinkedIn that brings to production state-of-the-art modeling architectures and optimization methods. We unveil several modeling improvements, including Residual DCN, which adds attention and residual connections to the famous DCNv2 architecture. We share insights into combining and tuning SOTA architectures to create a unified model, including Dense Gating, Transformers and Residual DCN. We also propose novel techniques for calibration and describe how we productionalized deep learning based explore/exploit methods. To enable effective, production-grade serving of large ranking models, we detail how to train and compress models using quantization and vocabulary compression. We provide details about the deployment setup for large-scale use cases of Feed ranking, Jobs Recommendations, and Ads click-through rate (CTR) prediction. We summarize our learnings from various A/B tests by elucidating the most effective technical approaches. These ideas have contributed to relative metrics improvements across the board at LinkedIn: +0.5% member sessions in the Feed, +1.76% qualified job applications for Jobs search and recommendations, and +4.3% for Ads CTR. We hope this work can provide practical insights and solutions for practitioners interested in leveraging large-scale deep ranking systems.




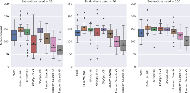
Abstract:Reinforcement learning algorithms can show strong variation in performance between training runs with different random seeds. In this paper we explore how this affects hyperparameter optimization when the goal is to find hyperparameter settings that perform well across random seeds. In particular, we benchmark whether it is better to explore a large quantity of hyperparameter settings via pruning of bad performers, or if it is better to aim for quality of collected results by using repetitions. For this we consider the Successive Halving, Random Search, and Bayesian Optimization algorithms, the latter two with and without repetitions. We apply these to tuning the PPO2 algorithm on the Cartpole balancing task and the Inverted Pendulum Swing-up task. We demonstrate that pruning may negatively affect the optimization and that repeated sampling does not help in finding hyperparameter settings that perform better across random seeds. From our experiments we conclude that Bayesian optimization with a noise robust acquisition function is the best choice for hyperparameter optimization in reinforcement learning tasks.




Abstract:Sherpa is a hyperparameter optimization library for machine learning models. It is specifically designed for problems with computationally expensive, iterative function evaluations, such as the hyperparameter tuning of deep neural networks. With Sherpa, scientists can quickly optimize hyperparameters using a variety of powerful and interchangeable algorithms. Sherpa can be run on either a single machine or in parallel on a cluster. Finally, an interactive dashboard enables users to view the progress of models as they are trained, cancel trials, and explore which hyperparameter combinations are working best. Sherpa empowers machine learning practitioners by automating the more tedious aspects of model tuning. Its source code and documentation are available at https://github.com/sherpa-ai/sherpa.




Abstract:Recognizing objects in natural images is an intricate problem involving multiple conflicting objectives. Deep convolutional neural networks, trained on large datasets, achieve convincing results and are currently the state-of-the-art approach for this task. However, the long time needed to train such deep networks is a major drawback. We tackled this problem by reusing a previously trained network. For this purpose, we first trained a deep convolutional network on the ILSVRC2012 dataset. We then maintained the learned convolution kernels and only retrained the classification part on different datasets. Using this approach, we achieved an accuracy of 67.68 % on CIFAR-100, compared to the previous state-of-the-art result of 65.43 %. Furthermore, our findings indicate that convolutional networks are able to learn generic feature extractors that can be used for different tasks.



Abstract:We describe in this report our audio scene recognition system submitted to the DCASE 2016 challenge. Firstly, given the label set of the scenes, a label tree is automatically constructed. This category taxonomy is then used in the feature extraction step in which an audio scene instance is represented by a label tree embedding image. Different convolutional neural networks, which are tailored for the task at hand, are finally learned on top of the image features for scene recognition. Our system reaches an overall recognition accuracy of 81.2% and 83.3% and outperforms the DCASE 2016 baseline with absolute improvements of 8.7% and 6.1% on the development and test data, respectively.




Abstract:This report describes our submissions to Task2 and Task3 of the DCASE 2016 challenge. The systems aim at dealing with the detection of overlapping audio events in continuous streams, where the detectors are based on random decision forests. The proposed forests are jointly trained for classification and regression simultaneously. Initially, the training is classification-oriented to encourage the trees to select discriminative features from overlapping mixtures to separate positive audio segments from the negative ones. The regression phase is then carried out to let the positive audio segments vote for the event onsets and offsets, and therefore model the temporal structure of audio events. One random decision forest is specifically trained for each event category of interest. Experimental results on the development data show that our systems significantly outperform the baseline on the Task2 evaluation while they are inferior to the baseline in the Task3 evaluation.




Abstract:We present in this paper an efficient approach for acoustic scene classification by exploring the structure of class labels. Given a set of class labels, a category taxonomy is automatically learned by collectively optimizing a clustering of the labels into multiple meta-classes in a tree structure. An acoustic scene instance is then embedded into a low-dimensional feature representation which consists of the likelihoods that it belongs to the meta-classes. We demonstrate state-of-the-art results on two different datasets for the acoustic scene classification task, including the DCASE 2013 and LITIS Rouen datasets.



Abstract:We trained a deep all-convolutional neural network with masked global pooling to perform single-label classification for acoustic scene classification and multi-label classification for domestic audio tagging in the DCASE-2016 contest. Our network achieved an average accuracy of 84.5% on the four-fold cross-validation for acoustic scene recognition, compared to the provided baseline of 72.5%, and an average equal error rate of 0.17 for domestic audio tagging, compared to the baseline of 0.21. The network therefore improves the baselines by a relative amount of 17% and 19%, respectively. The network only consists of convolutional layers to extract features from the short-time Fourier transform and one global pooling layer to combine those features. It particularly possesses neither fully-connected layers, besides the fully-connected output layer, nor dropout layers.