Abstract:In-context learning, the ability of large language models to perform tasks using only examples provided in the prompt, has recently been adapted for time series forecasting. This paradigm enables zero-shot prediction, where past values serve as context for forecasting future values, making powerful forecasting tools accessible to non-experts and increasing the performance when training data are scarce. Most existing zero-shot forecasting approaches rely on transformer architectures, which, despite their success in language, often fall short of expectations in time series forecasting, where recurrent models like LSTMs frequently have the edge. Conversely, while LSTMs are well-suited for time series modeling due to their state-tracking capabilities, they lack strong in-context learning abilities. We introduce TiRex that closes this gap by leveraging xLSTM, an enhanced LSTM with competitive in-context learning skills. Unlike transformers, state-space models, or parallelizable RNNs such as RWKV, TiRex retains state-tracking, a critical property for long-horizon forecasting. To further facilitate its state-tracking ability, we propose a training-time masking strategy called CPM. TiRex sets a new state of the art in zero-shot time series forecasting on the HuggingFace benchmarks GiftEval and Chronos-ZS, outperforming significantly larger models including TabPFN-TS (Prior Labs), Chronos Bolt (Amazon), TimesFM (Google), and Moirai (Salesforce) across both short- and long-term forecasts.
Abstract:Recent breakthroughs in solving reasoning, math and coding problems with Large Language Models (LLMs) have been enabled by investing substantial computation budgets at inference time. Therefore, inference speed is one of the most critical properties of LLM architectures, and there is a growing need for LLMs that are efficient and fast at inference. Recently, LLMs built on the xLSTM architecture have emerged as a powerful alternative to Transformers, offering linear compute scaling with sequence length and constant memory usage, both highly desirable properties for efficient inference. However, such xLSTM-based LLMs have yet to be scaled to larger models and assessed and compared with respect to inference speed and efficiency. In this work, we introduce xLSTM 7B, a 7-billion-parameter LLM that combines xLSTM's architectural benefits with targeted optimizations for fast and efficient inference. Our experiments demonstrate that xLSTM 7B achieves performance on downstream tasks comparable to other similar-sized LLMs, while providing significantly faster inference speeds and greater efficiency compared to Llama- and Mamba-based LLMs. These results establish xLSTM 7B as the fastest and most efficient 7B LLM, offering a solution for tasks that require large amounts of test-time computation. Our work highlights xLSTM's potential as a foundational architecture for methods building on heavy use of LLM inference. Our model weights, model code and training code are open-source.
Abstract:Generative models are spearheading recent progress in deep learning, showing strong promise for trajectory sampling in dynamical systems as well. However, while latent space modeling paradigms have transformed image and video generation, similar approaches are more difficult for most dynamical systems. Such systems -- from chemical molecule structures to collective human behavior -- are described by interactions of entities, making them inherently linked to connectivity patterns and the traceability of entities over time. Our approach, LaM-SLidE (Latent Space Modeling of Spatial Dynamical Systems via Linked Entities), combines the advantages of graph neural networks, i.e., the traceability of entities across time-steps, with the efficiency and scalability of recent advances in image and video generation, where pre-trained encoder and decoder are frozen to enable generative modeling in the latent space. The core idea of LaM-SLidE is to introduce identifier representations (IDs) to allow for retrieval of entity properties, e.g., entity coordinates, from latent system representations and thus enables traceability. Experimentally, across different domains, we show that LaM-SLidE performs favorably in terms of speed, accuracy, and generalizability. (Code is available at https://github.com/ml-jku/LaM-SLidE)




Abstract:Language models for biological and chemical sequences enable crucial applications such as drug discovery, protein engineering, and precision medicine. Currently, these language models are predominantly based on Transformer architectures. While Transformers have yielded impressive results, their quadratic runtime dependency on the sequence length complicates their use for long genomic sequences and in-context learning on proteins and chemical sequences. Recently, the recurrent xLSTM architecture has been shown to perform favorably compared to Transformers and modern state-space model (SSM) architectures in the natural language domain. Similar to SSMs, xLSTMs have a linear runtime dependency on the sequence length and allow for constant-memory decoding at inference time, which makes them prime candidates for modeling long-range dependencies in biological and chemical sequences. In this work, we tailor xLSTM towards these domains and propose a suite of architectural variants called Bio-xLSTM. Extensive experiments in three large domains, genomics, proteins, and chemistry, were performed to assess xLSTM's ability to model biological and chemical sequences. The results show that models based on Bio-xLSTM a) can serve as proficient generative models for DNA, protein, and chemical sequences, b) learn rich representations for those modalities, and c) can perform in-context learning for proteins and small molecules.
Abstract:In recent years, there has been a trend in the field of Reinforcement Learning (RL) towards large action models trained offline on large-scale datasets via sequence modeling. Existing models are primarily based on the Transformer architecture, which result in powerful agents. However, due to slow inference times, Transformer-based approaches are impractical for real-time applications, such as robotics. Recently, modern recurrent architectures, such as xLSTM and Mamba, have been proposed that exhibit parallelization benefits during training similar to the Transformer architecture while offering fast inference. In this work, we study the aptitude of these modern recurrent architectures for large action models. Consequently, we propose a Large Recurrent Action Model (LRAM) with an xLSTM at its core that comes with linear-time inference complexity and natural sequence length extrapolation abilities. Experiments on 432 tasks from 6 domains show that LRAM compares favorably to Transformers in terms of performance and speed.




Abstract:In the 1990s, the constant error carousel and gating were introduced as the central ideas of the Long Short-Term Memory (LSTM). Since then, LSTMs have stood the test of time and contributed to numerous deep learning success stories, in particular they constituted the first Large Language Models (LLMs). However, the advent of the Transformer technology with parallelizable self-attention at its core marked the dawn of a new era, outpacing LSTMs at scale. We now raise a simple question: How far do we get in language modeling when scaling LSTMs to billions of parameters, leveraging the latest techniques from modern LLMs, but mitigating known limitations of LSTMs? Firstly, we introduce exponential gating with appropriate normalization and stabilization techniques. Secondly, we modify the LSTM memory structure, obtaining: (i) sLSTM with a scalar memory, a scalar update, and new memory mixing, (ii) mLSTM that is fully parallelizable with a matrix memory and a covariance update rule. Integrating these LSTM extensions into residual block backbones yields xLSTM blocks that are then residually stacked into xLSTM architectures. Exponential gating and modified memory structures boost xLSTM capabilities to perform favorably when compared to state-of-the-art Transformers and State Space Models, both in performance and scaling.




Abstract:Being able to identify regions within or around proteins, to which ligands can potentially bind, is an essential step to develop new drugs. Binding site identification methods can now profit from the availability of large amounts of 3D structures in protein structure databases or from AlphaFold predictions. Current binding site identification methods heavily rely on graph neural networks (GNNs), usually designed to output E(3)-equivariant predictions. Such methods turned out to be very beneficial for physics-related tasks like binding energy or motion trajectory prediction. However, the performance of GNNs at binding site identification is still limited potentially due to the lack of dedicated nodes that model hidden geometric entities, such as binding pockets. In this work, we extend E(n)-Equivariant Graph Neural Networks (EGNNs) by adding virtual nodes and applying an extended message passing scheme. The virtual nodes in these graphs are dedicated quantities to learn representations of binding sites, which leads to improved predictive performance. In our experiments, we show that our proposed method VN-EGNN sets a new state-of-the-art at locating binding site centers on COACH420, HOLO4K and PDBbind2020.


Abstract:Graph neural networks (GNNs), and especially message-passing neural networks, excel in various domains such as physics, drug discovery, and molecular modeling. The expressivity of GNNs with respect to their ability to discriminate non-isomorphic graphs critically depends on the functions employed for message aggregation and graph-level readout. By applying signal propagation theory, we propose a variance-preserving aggregation function (VPA) that maintains expressivity, but yields improved forward and backward dynamics. Experiments demonstrate that VPA leads to increased predictive performance for popular GNN architectures as well as improved learning dynamics. Our results could pave the way towards normalizer-free or self-normalizing GNNs.




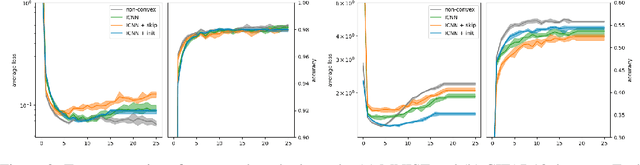
Abstract:Input-Convex Neural Networks (ICNNs) are networks that guarantee convexity in their input-output mapping. These networks have been successfully applied for energy-based modelling, optimal transport problems and learning invariances. The convexity of ICNNs is achieved by using non-decreasing convex activation functions and non-negative weights. Because of these peculiarities, previous initialisation strategies, which implicitly assume centred weights, are not effective for ICNNs. By studying signal propagation through layers with non-negative weights, we are able to derive a principled weight initialisation for ICNNs. Concretely, we generalise signal propagation theory by removing the assumption that weights are sampled from a centred distribution. In a set of experiments, we demonstrate that our principled initialisation effectively accelerates learning in ICNNs and leads to better generalisation. Moreover, we find that, in contrast to common belief, ICNNs can be trained without skip-connections when initialised correctly. Finally, we apply ICNNs to a real-world drug discovery task and show that they allow for more effective molecular latent space exploration.




Abstract:Quantifying uncertainty is important for actionable predictions in real-world applications. A crucial part of predictive uncertainty quantification is the estimation of epistemic uncertainty, which is defined as an integral of the product between a divergence function and the posterior. Current methods such as Deep Ensembles or MC dropout underperform at estimating the epistemic uncertainty, since they primarily consider the posterior when sampling models. We suggest Quantification of Uncertainty with Adversarial Models (QUAM) to better estimate the epistemic uncertainty. QUAM identifies regions where the whole product under the integral is large, not just the posterior. Consequently, QUAM has lower approximation error of the epistemic uncertainty compared to previous methods. Models for which the product is large correspond to adversarial models (not adversarial examples!). Adversarial models have both a high posterior as well as a high divergence between their predictions and that of a reference model. Our experiments show that QUAM excels in capturing epistemic uncertainty for deep learning models and outperforms previous methods on challenging tasks in the vision domain.