



Abstract:This paper proposes an unsupervised deep-learning (DL) approach by integrating transformer and Kolmogorov-Arnold networks (KAN) termed KANsformer to realize scalable beamforming for mobile communication systems. Specifically, we consider a classic multi-input-single-output energy efficiency maximization problem subject to the total power budget. The proposed KANsformer first extracts hidden features via a multi-head self-attention mechanism and then reads out the desired beamforming design via KAN. Numerical results are provided to evaluate the KANsformer in terms of generalization performance, transfer learning and ablation experiment. Overall, the KANsformer outperforms existing benchmark DL approaches, and is adaptable to the change in the number of mobile users with real-time and near-optimal inference.
Abstract:In recent years, the fusion of high spatial resolution multispectral image (HR-MSI) and low spatial resolution hyperspectral image (LR-HSI) has been recognized as an effective method for HSI super-resolution (HSI-SR). However, both HSI and MSI may be acquired under extreme conditions such as night or poorly illuminating scenarios, which may cause different exposure levels, thereby seriously downgrading the yielded HSISR. In contrast to most existing methods based on respective low-light enhancements (LLIE) of MSI and HSI followed by their fusion, a deep Unfolding HSI Super-Resolution with Automatic Exposure Correction (UHSR-AEC) is proposed, that can effectively generate a high-quality fused HSI-SR (in texture and features) even under very imbalanced exposures, thanks to the correlation between LLIE and HSI-SR taken into account. Extensive experiments are provided to demonstrate the state-of-the-art overall performance of the proposed UHSR-AEC, including comparison with some benchmark peer methods.




Abstract:Federated learning (FL) has been recognized as a rapidly growing research area, where the model is trained over massively distributed clients under the orchestration of a parameter server (PS) without sharing clients' data. This paper delves into a class of federated problems characterized by non-convex and non-smooth loss functions, that are prevalent in FL applications but challenging to handle due to their intricate non-convexity and non-smoothness nature and the conflicting requirements on communication efficiency and privacy protection. In this paper, we propose a novel federated primal-dual algorithm with bidirectional model sparsification tailored for non-convex and non-smooth FL problems, and differential privacy is applied for strong privacy guarantee. Its unique insightful properties and some privacy and convergence analyses are also presented for the FL algorithm design guidelines. Extensive experiments on real-world data are conducted to demonstrate the effectiveness of the proposed algorithm and much superior performance than some state-of-the-art FL algorithms, together with the validation of all the analytical results and properties.




Abstract:This paper investigates the system model and the transmit beamforming design for the Cell-Free massive multi-input multi-output (MIMO) integrated sensing and communication (ISAC) system. The impact of the uncertainty of the target locations on the propagation of wireless signals is considered during both uplink and downlink phases, and especially, the main statistics of the MIMO channel estimation error are theoretically derived in the closed-form fashion. A fundamental performance metric, termed communication-sensing (C-S) region, is defined for the considered system via three cases, i.e., the sensing-only case, the communication-only case and the ISAC case. The transmit beamforming design problems for the three cases are respectively carried out through different reformulations, e.g., the Lagrangian dual transform and the quadratic fractional transform, and some combinations of the block coordinate descent method and the successive convex approximation method. Numerical results present a 3-dimensional C-S region with a dynamic number of access points to illustrate the trade-off between communication and radar sensing. The advantage for radar sensing of the Cell-Free massive MIMO system is also studied via a comparison with the traditional cellular system. Finally, the efficacy of the proposed beamforming scheme is validated in comparison with zero-forcing and maximum ratio transmission schemes.




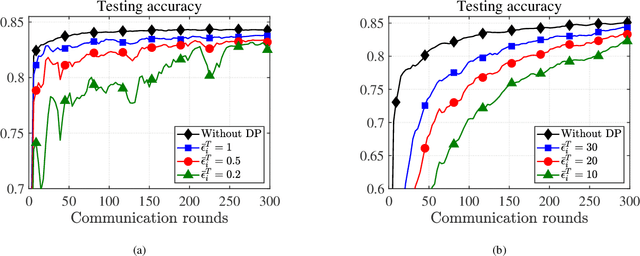
Abstract:Federated learning (FL) is a new paradigm that enables many clients to jointly train a machine learning (ML) model under the orchestration of a parameter server while keeping the local data not being exposed to any third party. However, the training of FL is an interactive process between local clients and the parameter server. Such process would cause privacy leakage since adversaries may retrieve sensitive information by analyzing the overheard messages. In this paper, we propose a new federated stochastic primal-dual algorithm with differential privacy (FedSPD-DP). Compared to the existing methods, the proposed FedSPD-DP incorporates local stochastic gradient descent (local SGD) and partial client participation (PCP) for addressing the issues of communication efficiency and straggler effects due to randomly accessed clients. Our analysis shows that the data sampling strategy and PCP can enhance the data privacy whereas the larger number of local SGD steps could increase privacy leakage, revealing a non-trivial tradeoff between algorithm communication efficiency and privacy protection. Specifically, we show that, by guaranteeing $(\epsilon, \delta)$-DP for each client per communication round, the proposed algorithm guarantees $(\mathcal{O}(q\epsilon \sqrt{p T}), \delta)$-DP after $T$ communication rounds while maintaining an $\mathcal{O}(1/\sqrt{pTQ})$ convergence rate for a convex and non-smooth learning problem, where $Q$ is the number of local SGD steps, $p$ is the client sampling probability, $q=\max_{i} q_i/\sqrt{1-q_i}$ and $q_i$ is the data sampling probability of each client under PCP. Experiment results are presented to evaluate the practical performance of the proposed algorithm and comparison with state-of-the-art methods.




Abstract:Consider a structured matrix factorization model where one factor is restricted to have its columns lying in the unit simplex. This simplex-structured matrix factorization (SSMF) model and the associated factorization techniques have spurred much interest in research topics over different areas, such as hyperspectral unmixing in remote sensing, topic discovery in machine learning, to name a few. In this paper we develop a new theoretical SSMF framework whose idea is to study a maximum volume ellipsoid inscribed in the convex hull of the data points. This maximum volume inscribed ellipsoid (MVIE) idea has not been attempted in prior literature, and we show a sufficient condition under which the MVIE framework guarantees exact recovery of the factors. The sufficient recovery condition we show for MVIE is much more relaxed than that of separable non-negative matrix factorization (or pure-pixel search); coincidentally it is also identical to that of minimum volume enclosing simplex, which is known to be a powerful SSMF framework for non-separable problem instances. We also show that MVIE can be practically implemented by performing facet enumeration and then by solving a convex optimization problem. The potential of the MVIE framework is illustrated by numerical results.




Abstract:In blind hyperspectral unmixing (HU), the pure-pixel assumption is well-known to be powerful in enabling simple and effective blind HU solutions. However, the pure-pixel assumption is not always satisfied in an exact sense, especially for scenarios where pixels are heavily mixed. In the no pure-pixel case, a good blind HU approach to consider is the minimum volume enclosing simplex (MVES). Empirical experience has suggested that MVES algorithms can perform well without pure pixels, although it was not totally clear why this is true from a theoretical viewpoint. This paper aims to address the latter issue. We develop an analysis framework wherein the perfect endmember identifiability of MVES is studied under the noiseless case. We prove that MVES is indeed robust against lack of pure pixels, as long as the pixels do not get too heavily mixed and too asymmetrically spread. The theoretical results are verified by numerical simulations.