Abstract:Learning solution operators for systems with complex, varying geometries and parametric physical settings is a central challenge in scientific machine learning. In many-query regimes such as design optimization, control and inverse problems, surrogate modeling must generalize across geometries while allowing flexible evaluation at arbitrary spatial locations. In this work, we propose Arbitrary Geometry-encoded Transformer (ArGEnT), a geometry-aware attention-based architecture for operator learning on arbitrary domains. ArGEnT employs Transformer attention mechanisms to encode geometric information directly from point-cloud representations with three variants-self-attention, cross-attention, and hybrid-attention-that incorporates different strategies for incorporating geometric features. By integrating ArGEnT into DeepONet as the trunk network, we develop a surrogate modeling framework capable of learning operator mappings that depend on both geometric and non-geometric inputs without the need to explicitly parametrize geometry as a branch network input. Evaluation on benchmark problems spanning fluid dynamics, solid mechanics and electrochemical systems, we demonstrate significantly improved prediction accuracy and generalization performance compared with the standard DeepONet and other existing geometry-aware saurrogates. In particular, the cross-attention transformer variant enables accurate geometry-conditioned predictions with reduced reliance on signed distance functions. By combining flexible geometry encoding with operator-learning capabilities, ArGEnT provides a scalable surrogate modeling framework for optimization, uncertainty quantification, and data-driven modeling of complex physical systems.
Abstract:The $f$-divergence is a fundamental notion that measures the difference between two distributions. In this paper, we study the problem of approximating the $f$-divergence between two Ising models, which is a generalization of recent work on approximating the TV-distance. Given two Ising models $\nu$ and $\mu$, which are specified by their interaction matrices and external fields, the problem is to approximate the $f$-divergence $D_f(\nu\,\|\,\mu)$ within an arbitrary relative error $\mathrm{e}^{\pm \varepsilon}$. For $\chi^\alpha$-divergence with a constant integer $\alpha$, we establish both algorithmic and hardness results. The algorithm works in a parameter regime that matches the hardness result. Our algorithm can be extended to other $f$-divergences such as $\alpha$-divergence, Kullback-Leibler divergence, R\'enyi divergence, Jensen-Shannon divergence, and squared Hellinger distance.




Abstract:In this paper, we present a physics-informed neural network (PINN) approach for predicting the performance of an all-vanadium redox flow battery, with its physics constraints enforced by a two-dimensional (2D) mathematical model. The 2D model, which includes 6 governing equations and 24 boundary conditions, provides a detailed representation of the electrochemical reactions, mass transport and hydrodynamics occurring inside the redox flow battery. To solve the 2D model with the PINN approach, a composite neural network is employed to approximate species concentration and potentials; the input and output are normalized according to prior knowledge of the battery system; the governing equations and boundary conditions are first scaled to an order of magnitude around 1, and then further balanced with a self-weighting method. Our numerical results show that the PINN is able to predict cell voltage correctly, but the prediction of potentials shows a constant-like shift. To fix the shift, the PINN is enhanced by further constrains derived from the current collector boundary. Finally, we show that the enhanced PINN can be even further improved if a small number of labeled data is available.
Abstract:We introduce a novel continual learning method based on multifidelity deep neural networks. This method learns the correlation between the output of previously trained models and the desired output of the model on the current training dataset, limiting catastrophic forgetting. On its own the multifidelity continual learning method shows robust results that limit forgetting across several datasets. Additionally, we show that the multifidelity method can be combined with existing continual learning methods, including replay and memory aware synapses, to further limit catastrophic forgetting. The proposed continual learning method is especially suited for physical problems where the data satisfy the same physical laws on each domain, or for physics-informed neural networks, because in these cases we expect there to be a strong correlation between the output of the previous model and the model on the current training domain.




Abstract:Data-driven modeling approaches can produce fast surrogates to study large-scale physics problems. Among them, graph neural networks (GNNs) that operate on mesh-based data are desirable because they possess inductive biases that promote physical faithfulness, but hardware limitations have precluded their application to large computational domains. We show that it is \textit{possible} to train a class of GNN surrogates on 3D meshes. We scale MeshGraphNets (MGN), a subclass of GNNs for mesh-based physics modeling, via our domain decomposition approach to facilitate training that is mathematically equivalent to training on the whole domain under certain conditions. With this, we were able to train MGN on meshes with \textit{millions} of nodes to generate computational fluid dynamics (CFD) simulations. Furthermore, we show how to enhance MGN via higher-order numerical integration, which can reduce MGN's error and training time. We validated our methods on an accompanying dataset of 3D $\text{CO}_2$-capture CFD simulations on a 3.1M-node mesh. This work presents a practical path to scaling MGN for real-world applications.




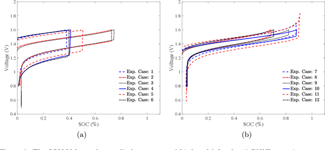
Abstract:Numerical modeling and simulation have become indispensable tools for advancing a comprehensive understanding of the underlying mechanisms and cost-effective process optimization and control of flow batteries. In this study, we propose an enhanced version of the physics-constrained deep neural network (PCDNN) approach [1] to provide high-accuracy voltage predictions in the vanadium redox flow batteries (VRFBs). The purpose of the PCDNN approach is to enforce the physics-based zero-dimensional (0D) VRFB model in a neural network to assure model generalization for various battery operation conditions. Limited by the simplifications of the 0D model, the PCDNN cannot capture sharp voltage changes in the extreme SOC regions. To improve the accuracy of voltage prediction at extreme ranges, we introduce a second (enhanced) DNN to mitigate the prediction errors carried from the 0D model itself and call the resulting approach enhanced PCDNN (ePCDNN). By comparing the model prediction with experimental data, we demonstrate that the ePCDNN approach can accurately capture the voltage response throughout the charge--discharge cycle, including the tail region of the voltage discharge curve. Compared to the standard PCDNN, the prediction accuracy of the ePCDNN is significantly improved. The loss function for training the ePCDNN is designed to be flexible by adjusting the weights of the physics-constrained DNN and the enhanced DNN. This allows the ePCDNN framework to be transferable to battery systems with variable physical model fidelity.




Abstract:The CO2 capture efficiency in solvent-based carbon capture systems (CCSs) critically depends on the gas-solvent interfacial area (IA), making maximization of IA a foundational challenge in CCS design. While the IA associated with a particular CCS design can be estimated via a computational fluid dynamics (CFD) simulation, using CFD to derive the IAs associated with numerous CCS designs is prohibitively costly. Fortunately, previous works such as Deep Fluids (DF) (Kim et al., 2019) show that large simulation speedups are achievable by replacing CFD simulators with neural network (NN) surrogates that faithfully mimic the CFD simulation process. This raises the possibility of a fast, accurate replacement for a CFD simulator and therefore efficient approximation of the IAs required by CCS design optimization. Thus, here, we build on the DF approach to develop surrogates that can successfully be applied to our complex carbon-capture CFD simulations. Our optimized DF-style surrogates produce large speedups (4000x) while obtaining IA relative errors as low as 4% on unseen CCS configurations that lie within the range of training configurations. This hints at the promise of NN surrogates for our CCS design optimization problem. Nonetheless, DF has inherent limitations with respect to CCS design (e.g., limited transferability of trained models to new CCS packings). We conclude with ideas to address these challenges.




Abstract:Bubble segmentation and size detection algorithms have been developed in recent years for their high efficiency and accuracy in measuring bubbly two-phase flows. In this work, we proposed an architecture called bubble generative adversarial networks (BubGAN) for the generation of realistic synthetic images which could be further used as training or benchmarking data for the development of advanced image processing algorithms. The BubGAN is trained initially on a labeled bubble dataset consisting of ten thousand images. By learning the distribution of these bubbles, the BubGAN can generate more realistic bubbles compared to the conventional models used in the literature. The trained BubGAN is conditioned on bubble feature parameters and has full control of bubble properties in terms of aspect ratio, rotation angle, circularity and edge ratio. A million bubble dataset is pre-generated using the trained BubGAN. One can then assemble realistic bubbly flow images using this dataset and associated image processing tool. These images contain detailed bubble information, therefore do not require additional manual labeling. This is more useful compared with the conventional GAN which generates images without labeling information. The tool could be used to provide benchmarking and training data for existing image processing algorithms and to guide the future development of bubble detecting algorithms.