University College London
Abstract:This work is focussed on the inversion task of inferring the distribution over parameters of interest leading to multiple sets of observations. The potential to solve such distributional inversion problems is driven by increasing availability of data, but a major roadblock is blind deconvolution, arising when the observational noise distribution is unknown. However, when data originates from collections of physical systems, a population, it is possible to leverage this information to perform deconvolution. To this end, we propose a methodology leveraging large data sets of observations, collected from different instantiations of the same physical processes, to simultaneously deconvolve the data corrupting noise distribution, and to identify the distribution over model parameters defining the physical processes. A parameter-dependent mathematical model of the physical process is employed. A loss function characterizing the match between the observed data and the output of the mathematical model is defined; it is minimized as a function of the both the parameter inputs to the model of the physics and the parameterized observational noise. This coupled problem is addressed with a modified gradient descent algorithm that leverages specific structure in the noise model. Furthermore, a new active learning scheme is proposed, based on adaptive empirical measures, to train a surrogate model to be accurate in parameter regions of interest; this approach accelerates computation and enables automatic differentiation of black-box, potentially nondifferentiable, code computing parameter-to-solution maps. The proposed methodology is demonstrated on porous medium flow, damped elastodynamics, and simplified models of atmospheric dynamics.




Abstract:Agent-based models (ABMs) are proliferating as decision-making tools across policy areas in transportation, economics, and epidemiology. In these models, a central object of interest is the discrete origin-destination matrix which captures spatial interactions and agent trip counts between locations. Existing approaches resort to continuous approximations of this matrix and subsequent ad-hoc discretisations in order to perform ABM simulation and calibration. This impedes conditioning on partially observed summary statistics, fails to explore the multimodal matrix distribution over a discrete combinatorial support, and incurs discretisation errors. To address these challenges, we introduce a computationally efficient framework that scales linearly with the number of origin-destination pairs, operates directly on the discrete combinatorial space, and learns the agents' trip intensity through a neural differential equation that embeds spatial interactions. Our approach outperforms the prior art in terms of reconstruction error and ground truth matrix coverage, at a fraction of the computational cost. We demonstrate these benefits in large-scale spatial mobility ABMs in Cambridge, UK and Washington, DC, USA.

Abstract:Variational inference (VI) is a computationally efficient and scalable methodology for approximate Bayesian inference. It strikes a balance between accuracy of uncertainty quantification and practical tractability. It excels at generative modelling and inversion tasks due to its built-in Bayesian regularisation and flexibility, essential qualities for physics related problems. Deriving the central learning objective for VI must often be tailored to new learning tasks where the nature of the problems dictates the conditional dependence between variables of interest, such as arising in physics problems. In this paper, we provide an accessible and thorough technical introduction to VI for forward and inverse problems, guiding the reader through standard derivations of the VI framework and how it can best be realized through deep learning. We then review and unify recent literature exemplifying the creative flexibility allowed by VI. This paper is designed for a general scientific audience looking to solve physics-based problems with an emphasis on uncertainty quantification.




Abstract:Autoencoders have found widespread application, in both their original deterministic form and in their variational formulation (VAEs). In scientific applications it is often of interest to consider data that are comprised of functions; the same perspective is useful in image processing. In practice, discretisation (of differential equations arising in the sciences) or pixellation (of images) renders problems finite dimensional, but conceiving first of algorithms that operate on functions, and only then discretising or pixellating, leads to better algorithms that smoothly operate between different levels of discretisation or pixellation. In this paper function-space versions of the autoencoder (FAE) and variational autoencoder (FVAE) are introduced, analysed, and deployed. Well-definedness of the objective function governing VAEs is a subtle issue, even in finite dimension, and more so on function space. The FVAE objective is well defined whenever the data distribution is compatible with the chosen generative model; this happens, for example, when the data arise from a stochastic differential equation. The FAE objective is valid much more broadly, and can be straightforwardly applied to data governed by differential equations. Pairing these objectives with neural operator architectures, which can thus be evaluated on any mesh, enables new applications of autoencoders to inpainting, superresolution, and generative modelling of scientific data.




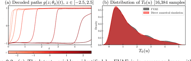
Abstract:Bayesian inversion is central to the quantification of uncertainty within problems arising from numerous applications in science and engineering. To formulate the approach, four ingredients are required: a forward model mapping the unknown parameter to an element of a solution space, often the solution space for a differential equation; an observation operator mapping an element of the solution space to the data space; a noise model describing how noise pollutes the observations; and a prior model describing knowledge about the unknown parameter before the data is acquired. This paper is concerned with learning the prior model from data; in particular, learning the prior from multiple realizations of indirect data obtained through the noisy observation process. The prior is represented, using a generative model, as the pushforward of a Gaussian in a latent space; the pushforward map is learned by minimizing an appropriate loss function. A metric that is well-defined under empirical approximation is used to define the loss function for the pushforward map to make an implementable methodology. Furthermore, an efficient residual-based neural operator approximation of the forward model is proposed and it is shown that this may be learned concurrently with the pushforward map, using a bilevel optimization formulation of the problem; this use of neural operator approximation has the potential to make prior learning from indirect data more computationally efficient, especially when the observation process is expensive, non-smooth or not known. The ideas are illustrated with the Darcy flow inverse problem of finding permeability from piezometric head measurements.




Abstract:We suggest a multilevel model, to represent aggregate train-passing events from the Staffordshire bridge monitoring system. We formulate a combined model from simple units, representing strain envelopes (of each train passing) for two types of commuter train. The measurements are treated as a longitudinal dataset and represented with a (low-rank approximation) hierarchical Gaussian process. For each unit in the combined model, we encode domain expertise as boundary condition constraints and work towards a general representation of the strain response. Looking forward, this should allow for the simulation of train types that were previously unobserved in the training data. For example, trains with more passengers or freights with a heavier payload. The strain event simulations are valuable since they can inform further experiments (including FEM calibration, fatigue analysis, or design) to test the bridge in hypothesised scenarios.




Abstract:Embedding graphs in continous spaces is a key factor in designing and developing algorithms for automatic information extraction to be applied in diverse tasks (e.g., learning, inferring, predicting). The reliability of graph embeddings directly depends on how much the geometry of the continuous space matches the graph structure. Manifolds are mathematical structure that can enable to incorporate in their topological spaces the graph characteristics, and in particular nodes distances. State-of-the-art of manifold-based graph embedding algorithms take advantage of the assumption that the projection on a tangential space of each point in the manifold (corresponding to a node in the graph) would locally resemble a Euclidean space. Although this condition helps in achieving efficient analytical solutions to the embedding problem, it does not represent an adequate set-up to work with modern real life graphs, that are characterized by weighted connections across nodes often computed over sparse datasets with missing records. In this work, we introduce a new class of manifold, named soft manifold, that can solve this situation. In particular, soft manifolds are mathematical structures with spherical symmetry where the tangent spaces to each point are hypocycloids whose shape is defined according to the velocity of information propagation across the data points. Using soft manifolds for graph embedding, we can provide continuous spaces to pursue any task in data analysis over complex datasets. Experimental results on reconstruction tasks on synthetic and real datasets show how the proposed approach enable more accurate and reliable characterization of graphs in continuous spaces with respect to the state-of-the-art.
Abstract:The Laplace's method approximates a target density with a Gaussian distribution at its mode. It is computationally efficient and asymptotically exact for Bayesian inference due to the Bernstein-von Mises theorem, but for complex targets and finite-data posteriors it is often too crude an approximation. A recent generalization of the Laplace Approximation transforms the Gaussian approximation according to a chosen Riemannian geometry providing a richer approximation family, while still retaining computational efficiency. However, as shown here, its properties heavily depend on the chosen metric, indeed the metric adopted in previous work results in approximations that are overly narrow as well as being biased even at the limit of infinite data. We correct this shortcoming by developing the approximation family further, deriving two alternative variants that are exact at the limit of infinite data, extending the theoretical analysis of the method, and demonstrating practical improvements in a range of experiments.




Abstract:We consider the fundamental task of optimizing a real-valued function defined in a potentially high-dimensional Euclidean space, such as the loss function in many machine-learning tasks or the logarithm of the probability distribution in statistical inference. We use the warped Riemannian geometry notions to redefine the optimisation problem of a function on Euclidean space to a Riemannian manifold with a warped metric, and then find the function's optimum along this manifold. The warped metric chosen for the search domain induces a computational friendly metric-tensor for which optimal search directions associate with geodesic curves on the manifold becomes easier to compute. Performing optimization along geodesics is known to be generally infeasible, yet we show that in this specific manifold we can analytically derive Taylor approximations up to third-order. In general these approximations to the geodesic curve will not lie on the manifold, however we construct suitable retraction maps to pull them back onto the manifold. Therefore, we can efficiently optimize along the approximate geodesic curves. We cover the related theory, describe a practical optimization algorithm and empirically evaluate it on a collection of challenging optimisation benchmarks. Our proposed algorithm, using third-order approximation of geodesics, outperforms standard Euclidean gradient-based counterparts in term of number of iterations until convergence and an alternative method for Hessian-based optimisation routines.
Abstract:Data from populations of systems are prevalent in many industrial applications. Machines and infrastructure are increasingly instrumented with sensing systems, emitting streams of telemetry data with complex interdependencies. In practice, data-centric monitoring procedures tend to consider these assets (and respective models) as distinct -- operating in isolation and associated with independent data. In contrast, this work captures the statistical correlations and interdependencies between models of a group of systems. Utilising a Bayesian multilevel approach, the value of data can be extended, since the population can be considered as a whole, rather than constituent parts. Most interestingly, domain expertise and knowledge of the underlying physics can be encoded in the model at the system, subgroup, or population level. We present an example of acoustic emission (time-of-arrival) mapping for source location, to illustrate how multilevel models naturally lend themselves to representing aggregate systems in engineering. In particular, we focus on constraining the combined models with domain knowledge to enhance transfer learning and enable further insights at the population level.