Abstract:The Warmup Stable Decay (WSD) learning rate scheduler has recently become popular, largely due to its good performance and flexibility when training large language models. It remains an open question whether the remarkable performance of WSD - using a decaying learning rate for only a fraction of training compared to cosine decay - is a phenomenon specific to transformer-based language models that can potentially offer new theoretical insights into their training dynamics. Inspired by the usage of learning rate schedulers as a new lens into understanding landscape geometry (e.g., river valley, connected minima, progressive sharpening), in this work we compare the WSD path of the Adam optimizer on a Pythia-like language model to that of a small CNN trained to classify CIFAR10 images. We observe most training signals, optimizer path features, and sharpness dynamics to be qualitatively similar in such architectures. This consistency points to shared geometric characteristics of the loss landscapes of old and new nonconvex problems, and hints to future research questions around the geometry of high dimensional optimization problems.
Abstract:We study compute efficiency of LLM training when using different parameterizations, i.e., rules for adjusting model and optimizer hyperparameters (HPs) as model size changes. Some parameterizations fail to transfer optimal base HPs (such as learning rate) across changes in model depth, requiring practitioners to either re-tune these HPs as they scale up (expensive), or accept sub-optimal training when re-tuning is prohibitive. Even when they achieve HP transfer, we develop theory to show parameterizations may still exist in the lazy learning regime where layers learn only features close to their linearization, preventing effective use of depth and nonlinearity. Finally, we identify and adopt the unique parameterization we call CompleteP that achieves both depth-wise HP transfer and non-lazy learning in all layers. CompleteP enables a wider range of model width/depth ratios to remain compute-efficient, unlocking shapes better suited for different hardware settings and operational contexts. Moreover, CompleteP enables 12-34\% compute efficiency improvements over the prior state-of-the-art.




Abstract:Outlier Features (OF) are neurons whose activation magnitudes significantly exceed the average over a neural network's (NN) width. They are well known to emerge during standard transformer training and have the undesirable effect of hindering quantisation in afflicted models. Despite their practical importance, little is known behind why OFs emerge during training, nor how one can minimise them. Our work focuses on the above questions, first identifying several quantitative metrics, such as the kurtosis over neuron activation norms, to measure OFs. With these metrics, we study how architectural and optimisation choices influence OFs, and provide practical insights to minimise OFs during training. As highlights, we emphasise the importance of controlling signal propagation throughout training, and propose the Outlier Protected transformer block, which removes standard Pre-Norm layers to mitigate OFs, without loss of convergence speed or training stability. Overall, our findings shed new light on our understanding of, our ability to prevent, and the complexity of this important facet in NN training dynamics.




Abstract:Recently, there has been growing evidence that if the width and depth of a neural network are scaled toward the so-called rich feature learning limit ($\mu$P and its depth extension), then some hyperparameters - such as the learning rate - exhibit transfer from small to very large models, thus reducing the cost of hyperparameter tuning. From an optimization perspective, this phenomenon is puzzling, as it implies that the loss landscape is remarkably consistent across very different model sizes. In this work, we find empirical evidence that learning rate transfer can be attributed to the fact that under $\mu$P and its depth extension, the largest eigenvalue of the training loss Hessian (i.e. the sharpness) is largely independent of the width and depth of the network for a sustained period of training time. On the other hand, we show that under the neural tangent kernel (NTK) regime, the sharpness exhibits very different dynamics at different scales, thus preventing learning rate transfer. But what causes these differences in the sharpness dynamics? Through a connection between the spectra of the Hessian and the NTK matrix, we argue that the cause lies in the presence (for $\mu$P) or progressive absence (for the NTK regime) of feature learning, which results in a different evolution of the NTK, and thus of the sharpness. We corroborate our claims with a substantial suite of experiments, covering a wide range of datasets and architectures: from ResNets and Vision Transformers trained on benchmark vision datasets to Transformers-based language models trained on WikiText
Abstract:The multi-modal nature of neural loss landscapes is often considered to be the main driver behind the empirical success of deep ensembles. In this work, we probe this belief by constructing various "connected" ensembles which are restricted to lie in the same basin. Through our experiments, we demonstrate that increased connectivity indeed negatively impacts performance. However, when incorporating the knowledge from other basins implicitly through distillation, we show that the gap in performance can be mitigated by re-discovering (multi-basin) deep ensembles within a single basin. Thus, we conjecture that while the extra-basin knowledge is at least partially present in any given basin, it cannot be easily harnessed without learning it from other basins.




Abstract:Linear mode-connectivity (LMC) (or lack thereof) is one of the intriguing characteristics of neural network loss landscapes. While empirically well established, it unfortunately still lacks a proper theoretical understanding. Even worse, although empirical data points are abound, a systematic study of when networks exhibit LMC is largely missing in the literature. In this work we aim to close this gap. We explore how LMC is affected by three factors: (1) architecture (sparsity, weight-sharing), (2) training strategy (optimization setup) as well as (3) the underlying dataset. We place particular emphasis on minimal but non-trivial settings, removing as much unnecessary complexity as possible. We believe that our insights can guide future theoretical works on uncovering the inner workings of LMC.




Abstract:The cost of hyperparameter tuning in deep learning has been rising with model sizes, prompting practitioners to find new tuning methods using a proxy of smaller networks. One such proposal uses $\mu$P parameterized networks, where the optimal hyperparameters for small width networks transfer to networks with arbitrarily large width. However, in this scheme, hyperparameters do not transfer across depths. As a remedy, we study residual networks with a residual branch scale of $1/\sqrt{\text{depth}}$ in combination with the $\mu$P parameterization. We provide experiments demonstrating that residual architectures including convolutional ResNets and Vision Transformers trained with this parameterization exhibit transfer of optimal hyperparameters across width and depth on CIFAR-10 and ImageNet. Furthermore, our empirical findings are supported and motivated by theory. Using recent developments in the dynamical mean field theory (DMFT) description of neural network learning dynamics, we show that this parameterization of ResNets admits a well-defined feature learning joint infinite-width and infinite-depth limit and show convergence of finite-size network dynamics towards this limit.




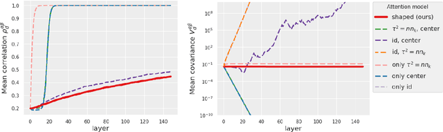
Abstract:In deep learning theory, the covariance matrix of the representations serves as a proxy to examine the network's trainability. Motivated by the success of Transformers, we study the covariance matrix of a modified Softmax-based attention model with skip connections in the proportional limit of infinite-depth-and-width. We show that at initialization the limiting distribution can be described by a stochastic differential equation (SDE) indexed by the depth-to-width ratio. To achieve a well-defined stochastic limit, the Transformer's attention mechanism is modified by centering the Softmax output at identity, and scaling the Softmax logits by a width-dependent temperature parameter. We examine the stability of the network through the corresponding SDE, showing how the scale of both the drift and diffusion can be elegantly controlled with the aid of residual connections. The existence of a stable SDE implies that the covariance structure is well-behaved, even for very large depth and width, thus preventing the notorious issues of rank degeneracy in deep attention models. Finally, we show, through simulations, that the SDE provides a surprisingly good description of the corresponding finite-size model. We coin the name shaped Transformer for these architectural modifications.
Abstract:Autoregressive Transformers adopted in Large Language Models (LLMs) are hard to scale to long sequences. Despite several works trying to reduce their computational cost, most of LLMs still adopt attention layers between all pairs of tokens in the sequence, thus incurring a quadratic cost. In this study, we present a novel approach that dynamically prunes contextual information while preserving the model's expressiveness, resulting in reduced memory and computational requirements during inference. Our method employs a learnable mechanism that determines which uninformative tokens can be dropped from the context at any point across the generation process. By doing so, our approach not only addresses performance concerns but also enhances interpretability, providing valuable insight into the model's decision-making process. Our technique can be applied to existing pre-trained models through a straightforward fine-tuning process, and the pruning strength can be specified by a sparsity parameter. Notably, our empirical findings demonstrate that we can effectively prune up to 80\% of the context without significant performance degradation on downstream tasks, offering a valuable tool for mitigating inference costs. Our reference implementation achieves up to $2\times$ increase in inference throughput and even greater memory savings.




Abstract:In contrast to the natural capabilities of humans to learn new tasks in a sequential fashion, neural networks are known to suffer from catastrophic forgetting, where the model's performances on old tasks drop dramatically after being optimized for a new task. Since then, the continual learning (CL) community has proposed several solutions aiming to equip the neural network with the ability to learn the current task (plasticity) while still achieving high accuracy on the previous tasks (stability). Despite remarkable improvements, the plasticity-stability trade-off is still far from being solved and its underlying mechanism is poorly understood. In this work, we propose Auxiliary Network Continual Learning (ANCL), a novel method that applies an additional auxiliary network which promotes plasticity to the continually learned model which mainly focuses on stability. More concretely, the proposed framework materializes in a regularizer that naturally interpolates between plasticity and stability, surpassing strong baselines on task incremental and class incremental scenarios. Through extensive analyses on ANCL solutions, we identify some essential principles beneath the stability-plasticity trade-off.