



Abstract:We outline emerging opportunities and challenges to enhance the utility of AI for scientific discovery. The distinct goals of AI for industry versus the goals of AI for science create tension between identifying patterns in data versus discovering patterns in the world from data. If we address the fundamental challenges associated with "bridging the gap" between domain-driven scientific models and data-driven AI learning machines, then we expect that these AI models can transform hypothesis generation, scientific discovery, and the scientific process itself.




Abstract:Quantization and pruning are core techniques used to reduce the inference costs of deep neural networks. State-of-the-art quantization techniques are currently applied to both the weights and activations; however, pruning is most often applied to only the weights of the network. In this work, we jointly apply novel uniform quantization and unstructured pruning methods to both the weights and activations of deep neural networks during training. Using our methods, we empirically evaluate the currently accepted prune-then-quantize paradigm across a wide range of computer vision tasks and observe a non-commutative nature when applied to both the weights and activations of deep neural networks. Informed by these observations, we articulate the non-commutativity hypothesis: for a given deep neural network being trained for a specific task, there exists an exact training schedule in which quantization and pruning can be introduced to optimize network performance. We identify that this optimal ordering not only exists, but also varies across discriminative and generative tasks. Using the optimal training schedule within our training framework, we demonstrate increased performance per memory footprint over existing solutions.




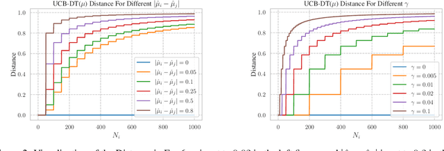
Abstract:We propose a novel modification of the standard upper confidence bound (UCB) method for the stochastic multi-armed bandit (MAB) problem which tunes the confidence bound of a given bandit based on its distance to others. Our UCB distance tuning (UCB-DT) formulation enables improved performance as measured by expected regret by preventing the MAB algorithm from focusing on non-optimal bandits which is a well-known deficiency of standard UCB. "Distance tuning" of the standard UCB is done using a proposed distance measure, which we call bandit distance, that is parameterizable and which therefore can be optimized to control the transition rate from exploration to exploitation based on problem requirements. We empirically demonstrate increased performance of UCB-DT versus many existing state-of-the-art methods which use the UCB formulation for the MAB problem. Our contribution also includes the development of a conceptual tool called the "Exploration Bargain Point" which gives insights into the tradeoffs between exploration and exploitation. We argue that the Exploration Bargain Point provides an intuitive perspective that is useful for comparatively analyzing the performance of UCB-based methods.




Abstract:A novel energy-efficient edge computing paradigm is proposed for real-time deep learning-based image upsampling applications. State-of-the-art deep learning solutions for image upsampling are currently trained using either resize or sub-pixel convolution to learn kernels that generate high fidelity images with minimal artifacts. However, performing inference with these learned convolution kernels requires memory-intensive feature map transformations that dominate time and energy costs in real-time applications. To alleviate this pressure on memory bandwidth, we confine the use of resize or sub-pixel convolution to training in the cloud by transforming learned convolution kernels to deconvolution kernels before deploying them for inference as a functionally equivalent deconvolution. These kernel transformations, intended as a one-time cost when shifting from training to inference, enable a systems designer to use each algorithm in their optimal context by preserving the image fidelity learned when training in the cloud while minimizing data transfer penalties during inference at the edge. We also explore existing variants of deconvolution inference algorithms and introduce a novel variant for consideration. We analyze and compare the inference properties of convolution-based upsampling algorithms using a quantitative model of incurred time and energy costs and show that using deconvolution for inference at the edge improves both system latency and energy efficiency when compared to their sub-pixel or resize convolution counterparts.




Abstract:The use of Deep Learning hardware algorithms for embedded applications is characterized by challenges such as constraints on device power consumption, availability of labeled data, and limited internet bandwidth for frequent training on cloud servers. To enable low power implementations, we consider efficient bitwidth reduction and pruning for the class of Deep Learning algorithms known as Discriminative Deep Belief Networks (DDBNs) for embedded-device classification tasks. We train DDBNs with both generative and discriminative objectives under an approximate computing framework and analyze their power-at-performance for supervised and semi-supervised applications. We also investigate the out-of-distribution performance of DDBNs when the inference data has the same class structure yet is statistically different from the training data owing to dynamic real-time operating environments. Based on our analysis, we provide novel insights and recommendations for choice of training objectives, bitwidth values, and accuracy sensitivity with respect to the amount of labeled data for implementing DDBN inference with minimum power consumption on embedded hardware platforms subject to accuracy tolerances.




Abstract:When trained as generative models, Deep Learning algorithms have shown exceptional performance on tasks involving high dimensional data such as image denoising and super-resolution. In an increasingly connected world dominated by mobile and edge devices, there is surging demand for these algorithms to run locally on embedded platforms. FPGAs, by virtue of their reprogrammability and low-power characteristics, are ideal candidates for these edge computing applications. As such, we design a spatio-temporally parallelized hardware architecture capable of accelerating a deconvolution algorithm optimized for power-efficient inference on a resource-limited FPGA. We propose this FPGA-based accelerator to be used for Deconvolutional Neural Network (DCNN) inference in low-power edge computing applications. To this end, we develop methods that systematically exploit micro-architectural innovations, design space exploration, and statistical analysis. Using a Xilinx PYNQ-Z2 FPGA, we leverage our architecture to accelerate inference for two DCNNs trained on the MNIST and CelebA datasets using the Wasserstein GAN framework. On these networks, our FPGA design achieves a higher throughput to power ratio with lower run-to-run variation when compared to the NVIDIA Jetson TX1 edge computing GPU.




Abstract:Stochastic-sampling-based Generative Neural Networks, such as Restricted Boltzmann Machines and Generative Adversarial Networks, are now used for applications such as denoising, image occlusion removal, pattern completion, and motion synthesis. In scenarios which involve performing such inference tasks with these models, it is critical to determine metrics that allow for model selection and/or maintenance of requisite generative performance under pre-specified implementation constraints. In this paper, we propose a new metric for evaluating generative model performance based on $p$-values derived from the combined use of Maximum Mean Discrepancy (MMD) and permutation-based (PT-based) resampling, which we refer to as PT-MMD. We demonstrate the effectiveness of this metric for two cases: (1) Selection of bitwidth and activation function complexity to achieve minimum power-at-performance for Restricted Boltzmann Machines; (2) Quantitative comparison of images generated by two types of Generative Adversarial Networks (PGAN and WGAN) to facilitate model selection in order to maximize the fidelity of generated images. For these applications, our results are shown using Euclidean and Haar-based kernels for the PT-MMD two sample hypothesis test. This demonstrates the critical role of distance functions in comparing generated images against their corresponding ground truth counterparts as what would be perceived by human users.




Abstract:The power budget for embedded hardware implementations of Deep Learning algorithms can be extremely tight. To address implementation challenges in such domains, new design paradigms, like Approximate Computing, have drawn significant attention. Approximate Computing exploits the innate error-resilience of Deep Learning algorithms, a property that makes them amenable for deployment on low-power computing platforms. This paper describes an Approximate Computing design methodology, AX-DBN, for an architecture belonging to the class of stochastic Deep Learning algorithms known as Deep Belief Networks (DBNs). Specifically, we consider procedures for efficiently implementing the Discriminative Deep Belief Network (DDBN), a stochastic neural network which is used for classification tasks, extending Approximation Computing from the analysis of deterministic to stochastic neural networks. For the purpose of optimizing the DDBN for hardware implementations, we explore the use of: (a)Limited precision of neurons and functional approximations of activation functions; (b) Criticality analysis to identify nodes in the network which can operate at reduced precision while allowing the network to maintain target accuracy levels; and (c) A greedy search methodology with incremental retraining to determine the optimal reduction in precision for all neurons to maximize power savings. Using the AX-DBN methodology proposed in this paper, we present experimental results across several network architectures that show significant power savings under a user-specified accuracy loss constraint with respect to ideal full precision implementations.




Abstract:The electroencephalogram (EEG) provides a non-invasive, minimally restrictive, and relatively low cost measure of mesoscale brain dynamics with high temporal resolution. Although signals recorded in parallel by multiple, near-adjacent EEG scalp electrode channels are highly-correlated and combine signals from many different sources, biological and non-biological, independent component analysis (ICA) has been shown to isolate the various source generator processes underlying those recordings. Independent components (IC) found by ICA decomposition can be manually inspected, selected, and interpreted, but doing so requires both time and practice as ICs have no particular order or intrinsic interpretations and therefore require further study of their properties. Alternatively, sufficiently-accurate automated IC classifiers can be used to classify ICs into broad source categories, speeding the analysis of EEG studies with many subjects and enabling the use of ICA decomposition in near-real-time applications. While many such classifiers have been proposed recently, this work presents the ICLabel project comprised of (1) an IC dataset containing spatiotemporal measures for over 200,000 ICs from more than 6,000 EEG recordings, (2) a website for collecting crowdsourced IC labels and educating EEG researchers and practitioners about IC interpretation, and (3) the automated ICLabel classifier. The classifier improves upon existing methods in two ways: by improving the accuracy of the computed label estimates and by enhancing its computational efficiency. The ICLabel classifier outperforms or performs comparably to the previous best publicly available method for all measured IC categories while computing those labels ten times faster than that classifier as shown in a rigorous comparison against all other publicly available EEG IC classifiers.




Abstract:In recent years deep learning algorithms have shown extremely high performance on machine learning tasks such as image classification and speech recognition. In support of such applications, various FPGA accelerator architectures have been proposed for convolutional neural networks (CNNs) that enable high performance for classification tasks at lower power than CPU and GPU processors. However, to date, there has been little research on the use of FPGA implementations of deconvolutional neural networks (DCNNs). DCNNs, also known as generative CNNs, encode high-dimensional probability distributions and have been widely used for computer vision applications such as scene completion, scene segmentation, image creation, image denoising, and super-resolution imaging. We propose an FPGA architecture for deconvolutional networks built around an accelerator which effectively handles the complex memory access patterns needed to perform strided deconvolutions, and that supports convolution as well. We also develop a three-step design optimization method that systematically exploits statistical analysis, design space exploration and VLSI optimization. To verify our FPGA deconvolutional accelerator design methodology we train DCNNs offline on two representative datasets using the generative adversarial network method (GAN) run on Tensorflow, and then map these DCNNs to an FPGA DCNN-plus-accelerator implementation to perform generative inference on a Xilinx Zynq-7000 FPGA. Our DCNN implementation achieves a peak performance density of 0.012 GOPs/DSP.