Abstract:Deep learning models play a vital role in autonomous driving systems, supporting critical functions such as environmental perception. To accelerate model inference, these deep learning models' deployment relies on automotive deep learning frameworks, for example, PaddleInference in Apollo and TensorRT in AutoWare. However, unlike deploying deep learning models on the cloud, vehicular environments experience extreme ambient temperatures varying from -40{\deg}C to 50{\deg}C, significantly impacting GPU temperature. Additionally, heats generated when computing further lead to the GPU temperature increase. These temperature fluctuations lead to dynamic GPU frequency adjustments through mechanisms such as DVFS. However, automotive deep learning frameworks are designed without considering the impact of temperature-induced frequency variations. When deployed on temperature-varying GPUs, these frameworks suffer critical quality issues: compute-intensive operators face delays or errors, high/mixed-precision operators suffer from precision errors, and time-series operators suffer from synchronization issues. The above quality issues cannot be detected by existing deep learning framework testing methods because they ignore temperature's effect on the deep learning framework quality. To bridge this gap, we propose ThermalGuardian, the first automotive deep learning framework testing method under temperature-varying environments. Specifically, ThermalGuardian generates test input models using model mutation rules targeting temperature-sensitive operators, simulates GPU temperature fluctuations based on Newton's law of cooling, and controls GPU frequency based on real-time GPU temperature.




Abstract:As Large Language Models (LLMs) evolve from passive text generators to active reasoning agents capable of tool interaction, the Model Context Protocol (MCP) has emerged as a standardized framework for dynamic tool discovery and orchestration. Despite widespread industry adoption, existing evaluation methodologies fail to adequately assess tool utilization capabilities within this new paradigm. This paper introduces MCP-RADAR, the first comprehensive benchmark specifically designed to evaluate LLM performance in the MCP framework through a novel five-dimensional approach measuring: answer accuracy, tool selection efficiency, computational resource efficiency, parameter construction accuracy, and execution speed. Unlike conventional benchmarks that rely on subjective human evaluations or binary success metrics, MCP-RADAR employs objective, quantifiable measurements across multiple task domains including software engineering, mathematical reasoning, and general problem-solving. Our evaluations of leading commercial and open-source LLMs reveal distinctive capability profiles with significant trade-offs between accuracy, efficiency, and speed, challenging traditional single-metric performance rankings. Besides, we provide valuable guidance for developers to optimize their tools for maximum model compatibility and effectiveness. While focused on MCP due to its standardized approach, our methodology remains applicable across all LLM agent tool integration frameworks, providing valuable insights for both LLM developers and tool creators to optimize the entire LLM-tool interaction ecosystem. The implementation, configurations, and datasets used in our evaluation are publicly available at https://anonymous.4open.science/r/MCPRadar-B143.
Abstract:In recent years, Large Language Models (LLMs) have faced increasing demands to selectively remove sensitive information, protect privacy, and comply with copyright regulations through unlearning, by Machine Unlearning. While evaluating unlearning effectiveness is crucial, existing benchmarks are limited in scale and comprehensiveness, typically containing only a few hundred test cases. We identify two critical challenges in generating holistic audit datasets: ensuring audit adequacy and handling knowledge redundancy between forget and retain dataset. To address these challenges, we propose HANKER, an automated framework for holistic audit dataset generation leveraging knowledge graphs to achieve fine-grained coverage and eliminate redundant knowledge. Applying HANKER to the popular MUSE benchmark, we successfully generated over 69,000 and 111,000 audit cases for the News and Books datasets respectively, identifying thousands of knowledge memorization instances that the previous benchmark failed to detect. Our empirical analysis uncovers how knowledge redundancy significantly skews unlearning effectiveness metrics, with redundant instances artificially inflating the observed memorization measurements ROUGE from 19.7% to 26.1% and Entailment Scores from 32.4% to 35.2%, highlighting the necessity of systematic deduplication for accurate assessment.
Abstract:Large Language Models (LLMs) have emerged as the new recommendation engines, outperforming traditional methods in both capability and scope, particularly in code generation applications. Our research reveals a novel provider bias in LLMs, namely without explicit input prompts, these models show systematic preferences for services from specific providers in their recommendations (e.g., favoring Google Cloud over Microsoft Azure). This bias holds significant implications for market dynamics and societal equilibrium, potentially promoting digital monopolies. It may also deceive users and violate their expectations, leading to various consequences. This paper presents the first comprehensive empirical study of provider bias in LLM code generation. We develop a systematic methodology encompassing an automated pipeline for dataset generation, incorporating 6 distinct coding task categories and 30 real-world application scenarios. Our analysis encompasses over 600,000 LLM-generated responses across seven state-of-the-art models, utilizing approximately 500 million tokens (equivalent to \$5,000+ in computational costs). The study evaluates both the generated code snippets and their embedded service provider selections to quantify provider bias. Additionally, we conduct a comparative analysis of seven debiasing prompting techniques to assess their efficacy in mitigating these biases. Our findings demonstrate that LLMs exhibit significant provider preferences, predominantly favoring services from Google and Amazon, and can autonomously modify input code to incorporate their preferred providers without users' requests. Notably, we observe discrepancies between providers recommended in conversational contexts versus those implemented in generated code. The complete dataset and analysis results are available in our repository.
Abstract:Task-specific fine-tuning is essential for the deployment of large language models (LLMs), but it requires significant computational resources and time. Existing solutions have proposed coreset selection methods to improve data efficiency and reduce model training overhead, but they still have limitations: 1) Overlooking valuable samples at high pruning rates, which degrades the coreset's performance. 2) Requiring high time overhead during coreset selection to fine-tune and evaluate the target LLM. In this paper, we introduce STAFF, a speculative coreset selection method. STAFF leverages a small model from the same family as the target LLM to efficiently estimate data scores and then verifies the scores on the target LLM to accurately identify and allocate more selection budget to important regions while maintaining coverage of easy regions. We evaluate STAFF on three LLMs and three downstream tasks and show that STAFF improves the performance of SOTA methods by up to 54.3% and reduces selection overhead by up to 70.5% at different pruning rates. Furthermore, we observe that the coreset selected by STAFF at low pruning rates (i.e., 20%) can even obtain better fine-tuning performance than the full dataset.




Abstract:Backdoor attack is a severe threat to the trustworthiness of DNN-based language models. In this paper, we first extend the definition of memorization of language models from sample-wise to more fine-grained sentence element-wise (e.g., word, phrase, structure, and style), and then point out that language model backdoors are a type of element-wise memorization. Through further analysis, we find that the strength of such memorization is positively correlated to the frequency of duplicated elements in the training dataset. In conclusion, duplicated sentence elements are necessary for successful backdoor attacks. Based on this, we propose a data-centric defense. We first detect trigger candidates in training data by finding memorizable elements, i.e., duplicated elements, and then confirm real triggers by testing if the candidates can activate backdoor behaviors (i.e., malicious elements). Results show that our method outperforms state-of-the-art defenses in defending against different types of NLP backdoors.




Abstract:Despite prior safety alignment efforts, mainstream LLMs can still generate harmful and unethical content when subjected to jailbreaking attacks. Existing jailbreaking methods fall into two main categories: template-based and optimization-based methods. The former requires significant manual effort and domain knowledge, while the latter, exemplified by Greedy Coordinate Gradient (GCG), which seeks to maximize the likelihood of harmful LLM outputs through token-level optimization, also encounters several limitations: requiring white-box access, necessitating pre-constructed affirmative phrase, and suffering from low efficiency. In this paper, we present ECLIPSE, a novel and efficient black-box jailbreaking method utilizing optimizable suffixes. Drawing inspiration from LLMs' powerful generation and optimization capabilities, we employ task prompts to translate jailbreaking goals into natural language instructions. This guides the LLM to generate adversarial suffixes for malicious queries. In particular, a harmfulness scorer provides continuous feedback, enabling LLM self-reflection and iterative optimization to autonomously and efficiently produce effective suffixes. Experimental results demonstrate that ECLIPSE achieves an average attack success rate (ASR) of 0.92 across three open-source LLMs and GPT-3.5-Turbo, significantly surpassing GCG in 2.4 times. Moreover, ECLIPSE is on par with template-based methods in ASR while offering superior attack efficiency, reducing the average attack overhead by 83%.
Abstract:With the emergence of the Software 3.0 era, there is a growing trend of compressing and integrating large models into software systems, with significant societal implications. Regrettably, in numerous instances, model compression techniques impact the fairness performance of these models and thus the ethical behavior of DNN-powered software. One of the most notable example is the Lottery Ticket Hypothesis (LTH), a prevailing model pruning approach. This paper demonstrates that fairness issue of LTHbased pruning arises from both its subnetwork selection and training procedures, highlighting the inadequacy of existing remedies. To address this, we propose a novel pruning framework, Ballot, which employs a novel conflict-detection-based subnetwork selection to find accurate and fair subnetworks, coupled with a refined training process to attain a high-performance model, thereby improving the fairness of DNN-powered software. By means of this procedure, Ballot improves the fairness of pruning by 38.00%, 33.91%, 17.96%, and 35.82% compared to state-of-the-art baselines, namely Magnitude Pruning, Standard LTH, SafeCompress, and FairScratch respectively, based on our evaluation of five popular datasets and three widely used models. Our code is available at https://anonymous.4open.science/r/Ballot-506E.




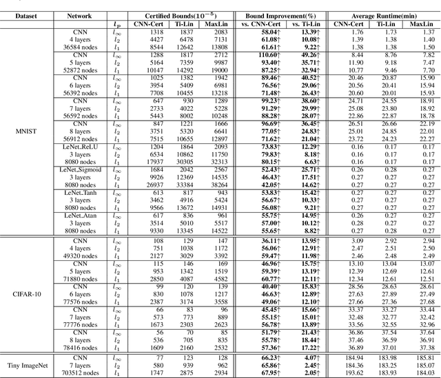
Abstract:The robustness of convolutional neural networks (CNNs) is vital to modern AI-driven systems. It can be quantified by formal verification by providing a certified lower bound, within which any perturbation does not alter the original input's classification result. It is challenging due to nonlinear components, such as MaxPool. At present, many verification methods are sound but risk losing some precision to enhance efficiency and scalability, and thus, a certified lower bound is a crucial criterion for evaluating the performance of verification tools. In this paper, we present MaxLin, a robustness verifier for MaxPool-based CNNs with tight linear approximation. By tightening the linear approximation of the MaxPool function, we can certify larger certified lower bounds of CNNs. We evaluate MaxLin with open-sourced benchmarks, including LeNet and networks trained on the MNIST, CIFAR-10, and Tiny ImageNet datasets. The results show that MaxLin outperforms state-of-the-art tools with up to 110.60% improvement regarding the certified lower bound and 5.13 $\times$ speedup for the same neural networks. Our code is available at https://github.com/xiaoyuanpigo/maxlin.
Abstract:Machine translation systems have been widely adopted in our daily life, making life easier and more convenient. Unfortunately, erroneous translations may result in severe consequences, such as financial losses. This requires to improve the accuracy and the reliability of machine translation systems. However, it is challenging to test machine translation systems because of the complexity and intractability of the underlying neural models. To tackle these challenges, we propose a novel metamorphic testing approach by syntactic tree pruning (STP) to validate machine translation systems. Our key insight is that a pruned sentence should have similar crucial semantics compared with the original sentence. Specifically, STP (1) proposes a core semantics-preserving pruning strategy by basic sentence structure and dependency relations on the level of syntactic tree representation; (2) generates source sentence pairs based on the metamorphic relation; (3) reports suspicious issues whose translations break the consistency property by a bag-of-words model. We further evaluate STP on two state-of-the-art machine translation systems (i.e., Google Translate and Bing Microsoft Translator) with 1,200 source sentences as inputs. The results show that STP can accurately find 5,073 unique erroneous translations in Google Translate and 5,100 unique erroneous translations in Bing Microsoft Translator (400% more than state-of-the-art techniques), with 64.5% and 65.4% precision, respectively. The reported erroneous translations vary in types and more than 90% of them cannot be found by state-of-the-art techniques. There are 9,393 erroneous translations unique to STP, which is 711.9% more than state-of-the-art techniques. Moreover, STP is quite effective to detect translation errors for the original sentences with a recall reaching 74.0%, improving state-of-the-art techniques by 55.1% on average.