Abstract:Gaussian belief propagation (GaBP) is a technique that relies on linearized error and input-output models to yield low-complexity solutions to complex estimation problems, which has been recently shown to be effective in the design of range-based GaBP schemes for stationary and moving rigid body localization (RBL) in three-dimensional (3D) space, as long as an accurate prior on the orientation of the target rigid body is available. In this article we present a novel range-based RBL scheme via GaBP that removes the latter limitation. To this end, the proposed method incorporates a quadratic angle approximation to linearize the relative orientation between the prior and the target rigid body, enabling high precision estimates of corresponding rotation angles even for large deviations. Leveraging the resulting linearized model, we derive the corresponding message-passing (MP) rules to obtain estimates of the translation vector and rotation matrix of the target rigid body, relative to a prior reference frame. Numerical results corroborate the good performance of the proposed angle approximation itself, as well as the consequent RBL performance in terms of root mean square errors (RMSEs) in comparison to the state-of-the-art (SotA), while maintaining a low computational complexity




Abstract:Inspired by Costa's pioneering work on dirty paper coding (DPC), this paper proposes a novel scheme for integrated communication and computing (ICC), named Computing on Dirty Paper, whereby the transmission of discrete data symbols for communication, and over-the-air computation (AirComp) of nomographic functions can be achieved simultaneously over common multiple-access channels. In particular, the proposed scheme allows for the integration of communication and computation in a manner that is asymptotically interference-free, by precanceling the computing symbols at the transmitters (TXs) using DPC principles. A simulation-based assessment of the proposed ICC scheme under a single-input multiple-output (SIMO) setup is also offered, including the evaluation of performance for data detection, and of mean-squared-error (MSE) performance for function computation, over a block of symbols. The results validate the proposed method and demonstrate its ability to significantly outperform state-of-the-art (SotA) ICC schemes in terms of both bit error rate (BER) and MSE.




Abstract:In this paper, a new waveform called discrete Fourier transform spread orthogonal frequency division multiplexing with chirp modulation (DFT-s-OFDM-CM) is proposed for the next generation of wireless communications. The information bits are conveyed by not only Q-ary constellation symbols but also the starting frequency of chirp signal. It could maintain the benefits provided by the chirped discrete Fourier transform spread orthogonal frequency division multiplexing (DFT-s-OFDM), e.g., low peak-to-average power ratio (PAPR), full frequency diversity exploitation, etc. Simulation results confirm that the proposed DFT-s-OFDM-CM could achieve higher spectral efficiency while keeping the similar bit error rate (BER) to that of chirped DFT-s-OFDM. In addition, when maintaining the same spectral efficiency, the proposed DFT-s-OFDM-CM with the splitting of information bits into two streams enables the use of lower-order constellation modulation and offers greater resilience to noise, resulting in a lower BER than the chirped DFT-s-OFDM.




Abstract:We consider a novel approach to formulate the Cram\'er-Rao Lower Bound (CRLB) for the rigid body localization (RBL) problem, which allows us to assess the fundamental accuracy limits on the estimation of the translation and rotation of a rigid body with respect to a known reference. To that end, we adopt an information-centric construction of the Fisher information matrix (FIM), which allows to capture the contribution of each measurement towards the FIM, both in terms of input measurement types, as well as of their error distributions. Taking advantage of this approach, we derive a generic framework for the CRLB formulation, which is applicable to any type of rigid body localization scenario, extending the conventional FIM formulation suitable for point targets to the case of a rigid body whose location include both translation vector and the rotation matrix (or alternative the rotation angles), with respect to a reference. Closed-form expressions for all CRLBs are given, including the bound incorporating an orthonormality constraint onto the rotation matrix. Numerical results illustrate that the derived expression correctly lower-bounds the errors of estimated localization parameters obtained via various related state-of-the-art (SotA) estimators, revealing their accuracies and suggesting that SotA RBL algorithms can still be improved.




Abstract:Massive multi-input multi-output (MIMO) combined with orthogonal time frequency space (OTFS) modulation has emerged as a promising technique for high-mobility scenarios. However, its performance could be severely degraded due to channel aging caused by user mobility and high processing latency. In this paper, an integrated scheme of uplink (UL) channel estimation and downlink (DL) channel prediction is proposed to alleviate channel aging in time division duplex (TDD) massive MIMO-OTFS systems. Specifically, first, an iterative basis expansion model (BEM) based UL channel estimation scheme is proposed to accurately estimate UL channels with the aid of carefully designed OTFS frame pattern. Then a set of Slepian sequences are used to model the estimated UL channels, and the dynamic Slepian coefficients are fitted by a set of orthogonal polynomials. A channel predictor is derived to predict DL channels by iteratively extrapolating the Slepian coefficients. Simulation results verify that the proposed UL channel estimation and DL channel prediction schemes outperform the existing schemes in terms of normalized mean square error of channel estimation/prediction and DL spectral efficiency, with less pilot overhead.
Abstract:The recently proposed multi-chirp waveform, affine frequency division multiplexing (AFDM), is considered as a potential candidate for integrated sensing and communication (ISAC). However, acquiring accurate target sensing parameter information becomes challenging due to fractional delay and Doppler shift occurrence, as well as effects introduced by the coexistence of near-field (NF) and far-field (FF) targets associated with large-scale antenna systems. In this paper, we propose a novel angle-delay-Doppler estimation scheme for AFDM-ISAC system in mixed NF and FF scenarios. Specifically, we model the received ISAC signals as a third-order tensor that admits a low-rank CANDECOMP/PARAFAC (CP) format. By employing the Vandermonde nature of the factor matrix and the spatial smoothing technique, we develop a structured CP decomposition method that guarantees the condition for uniqueness. We further propose a low-complexity estimation scheme to acquire target sensing parameters with fractional values, including angle of arrival/departure (AoA/AoD), delay and Doppler shift accurately. We also derive the Cram\'er-Rao Lower Bound (CRLB) as a benchmark and analyze the complexity of our proposed scheme. Finally, simulation results are provided to demonstrate the effectiveness and superiority of our proposed scheme.




Abstract:We consider a robust and self-reliant (or "egoistic") variation of the rigid body localization (RBL) problem, in which a primary rigid body seeks to estimate the pose (i.e., location and orientation) of another rigid body (or "target"), relative to its own, without the assistance of external infrastructure, without prior knowledge of the shape of the target, and taking into account the possibility that the available observations are incomplete. Three complementary contributions are then offered for such a scenario. The first is a method to estimate the translation vector between the center point of both rigid bodies, which unlike existing techniques does not require that both objects have the same shape or even the same number of landmark points. This technique is shown to significantly outperform the state-of-the-art (SotA) under complete information, but to be sensitive to data erasures, even when enhanced by matrix completion methods. The second contribution, designed to offer improved performance in the presence of incomplete information, offers a robust alternative to the latter, at the expense of a slight relative loss under complete information. Finally, the third contribution is a scheme for the estimation of the rotation matrix describing the relative orientation of the target rigid body with respect to the primary. Comparisons of the proposed schemes and SotA techniques demonstrate the advantage of the contributed methods in terms of root mean square error (RMSE) performance under fully complete information and incomplete conditions.


Abstract:Even orthogonal time frequency space (OTFS) has been shown as a promising modulation scheme for high mobility doubly-selective fading channels, its attainability of full diversity order in either time or frequency selective fading channels has not been clarified. By performing pairwise error probability (PEP) analysis, we observe that the original OTFS system can not always guarantee full exploitation of the embedded diversity in either time or frequency selective fading channels. To address this issue and further improve system performance, this work proposes linear precoding solutions based on algebraic number theory for OTFS systems over time and frequency selective fading channels, respectively. The proposed linear precoded OTFS systems can guarantee the maximal diversity and potential coding gains in time/frequency selective fading channels without any transmission rate loss and do not require the channel state information (CSI) at the transmitter. Simulation results are finally provided to illustrate the superiority of our proposed precoded OTFS over both the original unprecoded and the existing phase rotation OTFS systems in time/frequency selective fading channels.




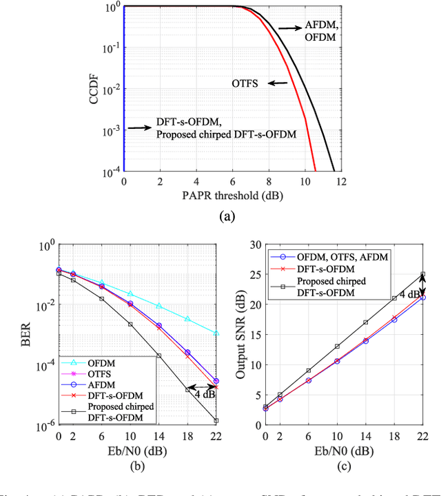
Abstract:In this correspondence, a new single-carrier waveform, called chirped discrete Fourier transform spread orthogonal frequency division multiplexing (DFT-s-OFDM), is proposed for the sixth generation of communications. By chirping DFT-s-OFDM in the time domain, the proposed waveform maintains the low peak-to-average-power ratio (PAPR) of DFT-s-OFDM. Thanks to full-band transmission and symbols retransmission enabled by chirping and discrete Fourier transform (DFT) precoding, the proposed waveform can enhance noise suppression of linear minimum mean square error equalization. Its bit error rate (BER) upper bound and diversity order are derived using pairwise error probability. Simulation results confirm that the proposed waveform outperforms the state-of-the-art waveforms in terms of BER, output signal-to-noise-ratio, and PAPR.




Abstract:Vehicle-to-everything (V2X) perception describes a suite of technologies used to enable vehicles to perceive their surroundings and communicate with various entities, such as other road users, infrastructure, or the network/cloud. With the development of autonomous driving, V2X perception is becoming increasingly relevant, as can be seen by the tremendous attention recently given to integrated sensing and communication (ISAC) technologies. In this context, rigid body localization (RBL) also emerges as one important technology which enables the estimation of not only target's positions, but also their shape and orientation. This article discusses the need for RBL, its benefits and opportunities, challenges and research directions, as well as its role in the standardization of the sixth-generation (6G) and beyond fifth generation (B5G) applications.