



Abstract:Compilers are complex, and significant effort has been expended on testing them. Techniques such as random program generation and differential testing have proved highly effective and have uncovered thousands of bugs in production compilers. The majority of effort has been expended on validating that a compiler produces correct code for a given input, while less attention has been paid to ensuring that the compiler produces performant code. In this work we adapt differential testing to the task of identifying missed optimization opportunities in compilers. We develop a novel testing approach which combines large language models (LLMs) with a series of differential testing strategies and use them to find missing code size optimizations in C / C++ compilers. The advantage of our approach is its simplicity. We offload the complex task of generating random code to an off-the-shelf LLM, and use heuristics and analyses to identify anomalous compiler behavior. Our approach requires fewer than 150 lines of code to implement. This simplicity makes it extensible. By simply changing the target compiler and initial LLM prompt we port the approach from C / C++ to Rust and Swift, finding bugs in both. To date we have reported 24 confirmed bugs in production compilers, and conclude that LLM-assisted testing is a promising avenue for detecting optimization bugs in real world compilers.




Abstract:Tools for rewriting, refactoring and optimizing code should be fast and correct. Large language models (LLMs), by their nature, possess neither of these qualities. Yet, there remains tremendous opportunity in using LLMs to improve code. We explore the use of LLMs not to transform code, but to code transforms. We propose a chain-of-thought approach to synthesizing code transformations from a small number of input/output code examples that incorporates execution and feedback. Unlike the direct rewrite approach, LLM-generated transformations are easy to inspect, debug, and validate. The logic of the rewrite is explicitly coded and easy to adapt. The compute required to run code transformations is minute compared to that of LLM rewriting. We test our approach on 16 Python code transformations and find that LLM- generated transforms are perfectly precise for 7 of them and less imprecise than direct LLM rewriting on the others. We hope to encourage further research to improving the precision of LLM code rewriting.




Abstract:Large Language Models (LLMs) have demonstrated remarkable capabilities across a variety of software engineering and coding tasks. However, their application in the domain of code and compiler optimization remains underexplored. Training LLMs is resource-intensive, requiring substantial GPU hours and extensive data collection, which can be prohibitive. To address this gap, we introduce Meta Large Language Model Compiler (LLM Compiler), a suite of robust, openly available, pre-trained models specifically designed for code optimization tasks. Built on the foundation of Code Llama, LLM Compiler enhances the understanding of compiler intermediate representations (IRs), assembly language, and optimization techniques. The model has been trained on a vast corpus of 546 billion tokens of LLVM-IR and assembly code and has undergone instruction fine-tuning to interpret compiler behavior. LLM Compiler is released under a bespoke commercial license to allow wide reuse and is available in two sizes: 7 billion and 13 billion parameters. We also present fine-tuned versions of the model, demonstrating its enhanced capabilities in optimizing code size and disassembling from x86_64 and ARM assembly back into LLVM-IR. These achieve 77% of the optimising potential of an autotuning search, and 45% disassembly round trip (14% exact match). This release aims to provide a scalable, cost-effective foundation for further research and development in compiler optimization by both academic researchers and industry practitioners.




Abstract:We introduce a novel paradigm in compiler optimization powered by Large Language Models with compiler feedback to optimize the code size of LLVM assembly. The model takes unoptimized LLVM IR as input and produces optimized IR, the best optimization passes, and instruction counts of both unoptimized and optimized IRs. Then we compile the input with generated optimization passes and evaluate if the predicted instruction count is correct, generated IR is compilable, and corresponds to compiled code. We provide this feedback back to LLM and give it another chance to optimize code. This approach adds an extra 0.53% improvement over -Oz to the original model. Even though, adding more information with feedback seems intuitive, simple sampling techniques achieve much higher performance given 10 or more samples.
Abstract:Large language models show great potential in generating and optimizing code. Widely used sampling methods such as Nucleus Sampling increase the diversity of generation but often produce repeated samples for low temperatures and incoherent samples for high temperatures. Furthermore, the temperature coefficient has to be tuned for each task, limiting its usability. We present Priority Sampling, a simple and deterministic sampling technique that produces unique samples ordered by the model's confidence. Each new sample expands the unexpanded token with the highest probability in the augmented search tree. Additionally, Priority Sampling supports generation based on regular expression that provides a controllable and structured exploration process. Priority Sampling outperforms Nucleus Sampling for any number of samples, boosting the performance of the original model from 2.87% to 5% improvement over -Oz. Moreover, it outperforms the autotuner used for the generation of labels for the training of the original model in just 30 samples.




Abstract:We explore the novel application of Large Language Models to code optimization. We present a 7B-parameter transformer model trained from scratch to optimize LLVM assembly for code size. The model takes as input unoptimized assembly and outputs a list of compiler options to best optimize the program. Crucially, during training, we ask the model to predict the instruction counts before and after optimization, and the optimized code itself. These auxiliary learning tasks significantly improve the optimization performance of the model and improve the model's depth of understanding. We evaluate on a large suite of test programs. Our approach achieves a 3.0% improvement in reducing instruction counts over the compiler, outperforming two state-of-the-art baselines that require thousands of compilations. Furthermore, the model shows surprisingly strong code reasoning abilities, generating compilable code 91% of the time and perfectly emulating the output of the compiler 70% of the time.




Abstract:Advanced compiler technology is crucial for enabling machine learning applications to run on novel hardware, but traditional compilers fail to deliver performance, popular auto-tuners have long search times and expert-optimized libraries introduce unsustainable costs. To address this, we developed LoopTune, a deep reinforcement learning compiler that optimizes tensor computations in deep learning models for the CPU. LoopTune optimizes tensor traversal order while using the ultra-fast lightweight code generator LoopNest to perform hardware-specific optimizations. With a novel graph-based representation and action space, LoopTune speeds up LoopNest by 3.2x, generating an order of magnitude faster code than TVM, 2.8x faster than MetaSchedule, and 1.08x faster than AutoTVM, consistently performing at the level of the hand-tuned library Numpy. Moreover, LoopTune tunes code in order of seconds.




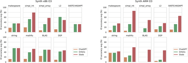
Abstract:Decompilation is a well-studied area with numerous high-quality tools available. These are frequently used for security tasks and to port legacy code. However, they regularly generate difficult-to-read programs and require a large amount of engineering effort to support new programming languages and ISAs. Recent interest in neural approaches has produced portable tools that generate readable code. However, to-date such techniques are usually restricted to synthetic programs without optimization, and no models have evaluated their portability. Furthermore, while the code generated may be more readable, it is usually incorrect. This paper presents SLaDe, a Small Language model Decompiler based on a sequence-to-sequence transformer trained over real-world code. We develop a novel tokenizer and exploit no-dropout training to produce high-quality code. We utilize type-inference to generate programs that are more readable and accurate than standard analytic and recent neural approaches. Unlike standard approaches, SLaDe can infer out-of-context types and unlike neural approaches, it generates correct code. We evaluate SLaDe on over 4,000 functions from AnghaBench on two ISAs and at two optimizations levels. SLaDe is up to 6 times more accurate than Ghidra, a state-of-the-art, industrial-strength decompiler and up to 4 times more accurate than the large language model ChatGPT and generates significantly more readable code than both.
Abstract:The exponential increase of hardware-software complexity has made it impossible for compiler engineers to find the right optimization heuristics manually. Predictive models have been shown to find near optimal heuristics with little human effort but they are limited by a severe lack of diverse benchmarks to train on. Generative AI has been used by researchers to synthesize benchmarks into existing datasets. However, the synthetic programs are short, exceedingly simple and lacking diversity in their features. We develop BenchPress, the first ML compiler benchmark generator that can be directed within source code feature representations. BenchPress synthesizes executable functions by infilling code that conditions on the program's left and right context. BenchPress uses active learning to introduce new benchmarks with unseen features into the dataset of Grewe's et al. CPU vs GPU heuristic, improving its acquired performance by 50%. BenchPress targets features that has been impossible for other synthesizers to reach. In 3 feature spaces, we outperform human-written code from GitHub, CLgen, CLSmith and the SRCIROR mutator in targeting the features of Rodinia benchmarks. BenchPress steers generation with beam search over a feature-agnostic language model. We improve this with BenchDirect which utilizes a directed LM that infills programs by jointly observing source code context and the compiler features that are targeted. BenchDirect achieves up to 36% better accuracy in targeting the features of Rodinia benchmarks, it is 1.8x more likely to give an exact match and it speeds up execution time by up to 72% compared to BenchPress. Both our models produce code that is difficult to distinguish from human-written code. We conduct a Turing test which shows our models' synthetic benchmarks are labelled as 'human-written' as often as human-written code from GitHub.
Abstract:Compiler optimization passes are an important tool for improving program efficiency and reducing program size, but manually selecting optimization passes can be time-consuming and error-prone. While human experts have identified a few fixed sequences of optimization passes (e.g., the Clang -Oz passes) that perform well for a wide variety of programs, these sequences are not conditioned on specific programs. In this paper, we propose a novel approach that learns a policy to select passes for program size reduction, allowing for customization and adaptation to specific programs. Our approach uses a search mechanism that helps identify useful pass sequences and a GNN with customized attention that selects the optimal sequence to use. Crucially it is able to generalize to new, unseen programs, making it more flexible and general than previous approaches. We evaluate our approach on a range of programs and show that it leads to size reduction compared to traditional optimization techniques. Our results demonstrate the potential of a single policy that is able to optimize many programs.