



Abstract:Most scientific materials compress reasoning, presenting conclusions while omitting the derivational chains that justify them. This compression hinders verification by lacking explicit, step-wise justifications and inhibits cross-domain links by collapsing the very pathways that establish the logical and causal connections between concepts. We introduce a scalable framework that decompresses scientific reasoning, constructing a verifiable Long Chain-of-Thought (LCoT) knowledge base and projecting it into an emergent encyclopedia, SciencePedia. Our pipeline operationalizes an endpoint-driven, reductionist strategy: a Socratic agent, guided by a curriculum of around 200 courses, generates approximately 3 million first-principles questions. To ensure high fidelity, multiple independent solver models generate LCoTs, which are then rigorously filtered by prompt sanitization and cross-model answer consensus, retaining only those with verifiable endpoints. This verified corpus powers the Brainstorm Search Engine, which performs inverse knowledge search -- retrieving diverse, first-principles derivations that culminate in a target concept. This engine, in turn, feeds the Plato synthesizer, which narrates these verified chains into coherent articles. The initial SciencePedia comprises approximately 200,000 fine-grained entries spanning mathematics, physics, chemistry, biology, engineering, and computation. In evaluations across six disciplines, Plato-synthesized articles (conditioned on retrieved LCoTs) exhibit substantially higher knowledge-point density and significantly lower factual error rates than an equally-prompted baseline without retrieval (as judged by an external LLM). Built on this verifiable LCoT knowledge base, this reasoning-centric approach enables trustworthy, cross-domain scientific synthesis at scale and establishes the foundation for an ever-expanding encyclopedia.
Abstract:Class-incremental/Continual image segmentation (CIS) aims to train an image segmenter in stages, where the set of available categories differs at each stage. To leverage the built-in objectness of query-based transformers, which mitigates catastrophic forgetting of mask proposals, current methods often decouple mask generation from the continual learning process. This study, however, identifies two key issues with decoupled frameworks: loss of plasticity and heavy reliance on input data order. To address these, we conduct an in-depth investigation of the built-in objectness and find that highly aggregated image features provide a shortcut for queries to generate masks through simple feature alignment. Based on this, we propose SimCIS, a simple yet powerful baseline for CIS. Its core idea is to directly select image features for query assignment, ensuring "perfect alignment" to preserve objectness, while simultaneously allowing queries to select new classes to promote plasticity. To further combat catastrophic forgetting of categories, we introduce cross-stage consistency in selection and an innovative "visual query"-based replay mechanism. Experiments demonstrate that SimCIS consistently outperforms state-of-the-art methods across various segmentation tasks, settings, splits, and input data orders. All models and codes will be made publicly available at https://github.com/SooLab/SimCIS.
Abstract:Video anomaly detection (VAD) often learns the distribution of normal samples and detects the anomaly through measuring significant deviations, but the undesired generalization may reconstruct a few anomalies thus suppressing the deviations. Meanwhile, most VADs cannot cope with cross-dataset validation for new target domains, and few-shot methods must laboriously rely on model-tuning from the target domain to complete domain adaptation. To address these problems, we propose a novel VAD method with a motion-guided memory module to achieve cross-dataset validation with zero-shot. First, we add Gaussian blur to the raw appearance images, thereby constructing the global pseudo-anomaly, which serves as the input to the network. Then, we propose multi-scale residual channel attention to deblur the pseudo-anomaly in normal samples. Next, memory items are obtained by recording the motion features in the training phase, which are used to retrieve the motion features from the raw information in the testing phase. Lastly, our method can ignore the blurred real anomaly through attention and rely on motion memory items to increase the normality gap between normal and abnormal motion. Extensive experiments on three benchmark datasets demonstrate the effectiveness of the proposed method. Compared with cross-domain methods, our method achieves competitive performance without adaptation during testing.
Abstract:Graph neural networks (GNNs) take as input the graph structure and the feature vectors associated with the nodes. Both contain noisy information about the labels. Here we propose joint denoising and rewiring (JDR)--an algorithm to jointly denoise the graph structure and features, which can improve the performance of any downstream algorithm. We do this by defining and maximizing the alignment between the leading eigenspaces of graph and feature matrices. To approximately solve this computationally hard problem, we propose a heuristic that efficiently handles real-world graph datasets with many classes and different levels of homophily or heterophily. We experimentally verify the effectiveness of our approach on synthetic data and real-world graph datasets. The results show that JDR consistently outperforms existing rewiring methods on node classification tasks using GNNs as downstream models.




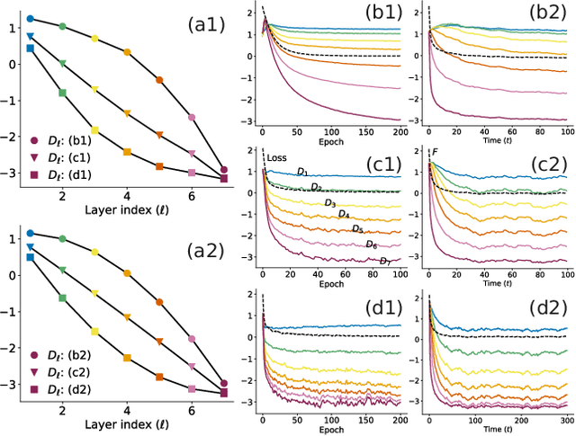
Abstract:A central question in deep learning is how deep neural networks (DNNs) learn features. DNN layers progressively collapse data into a regular low-dimensional geometry. This collective effect of non-linearity, noise, learning rate, width, depth, and numerous other parameters, has eluded first-principles theories which are built from microscopic neuronal dynamics. Here we present a noise-non-linearity phase diagram that highlights where shallow or deep layers learn features more effectively. We then propose a macroscopic mechanical theory of feature learning that accurately reproduces this phase diagram, offering a clear intuition for why and how some DNNs are ``lazy'' and some are ``active'', and relating the distribution of feature learning over layers with test accuracy.




Abstract:With the widespread deployment of video surveillance devices and the demand for intelligent system development, video anomaly detection (VAD) has become an important part of constructing intelligent surveillance systems. Expanding the discriminative boundary between normal and abnormal events to enhance performance is the common goal and challenge of VAD. To address this problem, we propose a Bidirectional Skip-frame Prediction (BiSP) network based on a dual-stream autoencoder, from the perspective of learning the intra-domain disparity between different features. The BiSP skips frames in the training phase to achieve the forward and backward frame prediction respectively, and in the testing phase, it utilizes bidirectional consecutive frames to co-predict the same intermediate frames, thus expanding the degree of disparity between normal and abnormal events. The BiSP designs the variance channel attention and context spatial attention from the perspectives of movement patterns and object scales, respectively, thus ensuring the maximization of the disparity between normal and abnormal in the feature extraction and delivery with different dimensions. Extensive experiments from four benchmark datasets demonstrate the effectiveness of the proposed BiSP, which substantially outperforms state-of-the-art competing methods.
Abstract:Recent advancements in large-scale foundational models have sparked widespread interest in training highly proficient large vision models. A common consensus revolves around the necessity of aggregating extensive, high-quality annotated data. However, given the inherent challenges in annotating dense tasks in computer vision, such as object detection and segmentation, a practical strategy is to combine and leverage all available data for training purposes. In this work, we propose Plain-Det, which offers flexibility to accommodate new datasets, robustness in performance across diverse datasets, training efficiency, and compatibility with various detection architectures. We utilize Def-DETR, with the assistance of Plain-Det, to achieve a mAP of 51.9 on COCO, matching the current state-of-the-art detectors. We conduct extensive experiments on 13 downstream datasets and Plain-Det demonstrates strong generalization capability. Code is release at https://github.com/ChengShiest/Plain-Det




Abstract:Unsupervised 3D instance segmentation aims to segment objects from a 3D point cloud without any annotations. Existing methods face the challenge of either too loose or too tight clustering, leading to under-segmentation or over-segmentation. To address this issue, we propose Part2Object, hierarchical clustering with object guidance. Part2Object employs multi-layer clustering from points to object parts and objects, allowing objects to manifest at any layer. Additionally, it extracts and utilizes 3D objectness priors from temporally consecutive 2D RGB frames to guide the clustering process. Moreover, we propose Hi-Mask3D to support hierarchical 3D object part and instance segmentation. By training Hi-Mask3D on the objects and object parts extracted from Part2Object, we achieve consistent and superior performance compared to state-of-the-art models in various settings, including unsupervised instance segmentation, data-efficient fine-tuning, and cross-dataset generalization. Code is release at https://github.com/ChengShiest/Part2Object




Abstract:Foundation models, pre-trained on a large amount of data have demonstrated impressive zero-shot capabilities in various downstream tasks. However, in object detection and instance segmentation, two fundamental computer vision tasks heavily reliant on extensive human annotations, foundation models such as SAM and DINO struggle to achieve satisfactory performance. In this study, we reveal that the devil is in the object boundary, \textit{i.e.}, these foundation models fail to discern boundaries between individual objects. For the first time, we probe that CLIP, which has never accessed any instance-level annotations, can provide a highly beneficial and strong instance-level boundary prior in the clustering results of its particular intermediate layer. Following this surprising observation, we propose $\textbf{Zip}$ which $\textbf{Z}$ips up CL$\textbf{ip}$ and SAM in a novel classification-first-then-discovery pipeline, enabling annotation-free, complex-scene-capable, open-vocabulary object detection and instance segmentation. Our Zip significantly boosts SAM's mask AP on COCO dataset by 12.5% and establishes state-of-the-art performance in various settings, including training-free, self-training, and label-efficient finetuning. Furthermore, annotation-free Zip even achieves comparable performance to the best-performing open-vocabulary object detecters using base annotations. Code is released at https://github.com/ChengShiest/Zip-Your-CLIP




Abstract:Text-to-video is a rapidly growing research area that aims to generate a semantic, identical, and temporal coherence sequence of frames that accurately align with the input text prompt. This study focuses on zero-shot text-to-video generation considering the data- and cost-efficient. To generate a semantic-coherent video, exhibiting a rich portrayal of temporal semantics such as the whole process of flower blooming rather than a set of "moving images", we propose a novel Free-Bloom pipeline that harnesses large language models (LLMs) as the director to generate a semantic-coherence prompt sequence, while pre-trained latent diffusion models (LDMs) as the animator to generate the high fidelity frames. Furthermore, to ensure temporal and identical coherence while maintaining semantic coherence, we propose a series of annotative modifications to adapting LDMs in the reverse process, including joint noise sampling, step-aware attention shift, and dual-path interpolation. Without any video data and training requirements, Free-Bloom generates vivid and high-quality videos, awe-inspiring in generating complex scenes with semantic meaningful frame sequences. In addition, Free-Bloom is naturally compatible with LDMs-based extensions.