



Abstract:Motivated by applications such as machine repair, project monitoring, and anti-poaching patrol scheduling, we study intervention planning of stochastic processes under resource constraints. This planning problem has previously been modeled as restless multi-armed bandits (RMAB), where each arm is an intervention-dependent Markov Decision Process. However, the existing literature assumes all intervention resources belong to a single uniform pool, limiting their applicability to real-world settings where interventions are carried out by a set of workers, each with their own costs, budgets, and intervention effects. In this work, we consider a novel RMAB setting, called multi-worker restless bandits (MWRMAB) with heterogeneous workers. The goal is to plan an intervention schedule that maximizes the expected reward while satisfying budget constraints on each worker as well as fairness in terms of the load assigned to each worker. Our contributions are two-fold: (1) we provide a multi-worker extension of the Whittle index to tackle heterogeneous costs and per-worker budget and (2) we develop an index-based scheduling policy to achieve fairness. Further, we evaluate our method on various cost structures and show that our method significantly outperforms other baselines in terms of fairness without sacrificing much in reward accumulated.


Abstract:Preventing poaching through ranger patrols protects endangered wildlife, directly contributing to the UN Sustainable Development Goal 15 of life on land. Combinatorial bandits have been used to allocate limited patrol resources, but existing approaches overlook the fact that each location is home to multiple species in varying proportions, so a patrol benefits each species to differing degrees. When some species are more vulnerable, we ought to offer more protection to these animals; unfortunately, existing combinatorial bandit approaches do not offer a way to prioritize important species. To bridge this gap, (1) We propose a novel combinatorial bandit objective that trades off between reward maximization and also accounts for prioritization over species, which we call ranked prioritization. We show this objective can be expressed as a weighted linear sum of Lipschitz-continuous reward functions. (2) We provide RankedCUCB, an algorithm to select combinatorial actions that optimize our prioritization-based objective, and prove that it achieves asymptotic no-regret. (3) We demonstrate empirically that RankedCUCB leads to up to 38% improvement in outcomes for endangered species using real-world wildlife conservation data. Along with adapting to other challenges such as preventing illegal logging and overfishing, our no-regret algorithm addresses the general combinatorial bandit problem with a weighted linear objective.




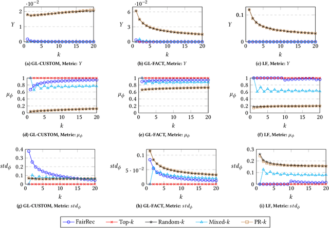
Abstract:Many online platforms today (such as Amazon, Netflix, Spotify, LinkedIn, and AirBnB) can be thought of as two-sided markets with producers and customers of goods and services. Traditionally, recommendation services in these platforms have focused on maximizing customer satisfaction by tailoring the results according to the personalized preferences of individual customers. However, our investigation reinforces the fact that such customer-centric design of these services may lead to unfair distribution of exposure to the producers, which may adversely impact their well-being. On the other hand, a pure producer-centric design might become unfair to the customers. As more and more people are depending on such platforms to earn a living, it is important to ensure fairness to both producers and customers. In this work, by mapping a fair personalized recommendation problem to a constrained version of the problem of fairly allocating indivisible goods, we propose to provide fairness guarantees for both sides. Formally, our proposed {\em FairRec} algorithm guarantees Maxi-Min Share ($\alpha$-MMS) of exposure for the producers, and Envy-Free up to One Item (EF1) fairness for the customers. Extensive evaluations over multiple real-world datasets show the effectiveness of {\em FairRec} in ensuring two-sided fairness while incurring a marginal loss in overall recommendation quality. Finally, we present a modification of FairRec (named as FairRecPlus) that at the cost of additional computation time, improves the recommendation performance for the customers, while maintaining the same fairness guarantees.




Abstract:We introduce Robust Restless Bandits, a challenging generalization of restless multi-arm bandits (RMAB). RMABs have been widely studied for intervention planning with limited resources. However, most works make the unrealistic assumption that the transition dynamics are known perfectly, restricting the applicability of existing methods to real-world scenarios. To make RMABs more useful in settings with uncertain dynamics: (i) We introduce the Robust RMAB problem and develop solutions for a minimax regret objective when transitions are given by interval uncertainties; (ii) We develop a double oracle algorithm for solving Robust RMABs and demonstrate its effectiveness on three experimental domains; (iii) To enable our double oracle approach, we introduce RMABPPO, a novel deep reinforcement learning algorithm for solving RMABs. RMABPPO hinges on learning an auxiliary "$\lambda$-network" that allows each arm's learning to decouple, greatly reducing sample complexity required for training; (iv) Under minimax regret, the adversary in the double oracle approach is notoriously difficult to implement due to non-stationarity. To address this, we formulate the adversary oracle as a multi-agent reinforcement learning problem and solve it with a multi-agent extension of RMABPPO, which may be of independent interest as the first known algorithm for this setting. Code is available at https://github.com/killian-34/RobustRMAB.



Abstract:Multi-action restless multi-armed bandits (RMABs) are a powerful framework for constrained resource allocation in which $N$ independent processes are managed. However, previous work only study the offline setting where problem dynamics are known. We address this restrictive assumption, designing the first algorithms for learning good policies for Multi-action RMABs online using combinations of Lagrangian relaxation and Q-learning. Our first approach, MAIQL, extends a method for Q-learning the Whittle index in binary-action RMABs to the multi-action setting. We derive a generalized update rule and convergence proof and establish that, under standard assumptions, MAIQL converges to the asymptotically optimal multi-action RMAB policy as $t\rightarrow{}\infty$. However, MAIQL relies on learning Q-functions and indexes on two timescales which leads to slow convergence and requires problem structure to perform well. Thus, we design a second algorithm, LPQL, which learns the well-performing and more general Lagrange policy for multi-action RMABs by learning to minimize the Lagrange bound through a variant of Q-learning. To ensure fast convergence, we take an approximation strategy that enables learning on a single timescale, then give a guarantee relating the approximation's precision to an upper bound of LPQL's return as $t\rightarrow{}\infty$. Finally, we show that our approaches always outperform baselines across multiple settings, including one derived from real-world medication adherence data.



Abstract:In many public health settings, it is important for patients to adhere to health programs, such as taking medications and periodic health checks. Unfortunately, beneficiaries may gradually disengage from such programs, which is detrimental to their health. A concrete example of gradual disengagement has been observed by an organization that carries out a free automated call-based program for spreading preventive care information among pregnant women. Many women stop picking up calls after being enrolled for a few months. To avoid such disengagements, it is important to provide timely interventions. Such interventions are often expensive and can be provided to only a small fraction of the beneficiaries. We model this scenario as a restless multi-armed bandit (RMAB) problem, where each beneficiary is assumed to transition from one state to another depending on the intervention. Moreover, since the transition probabilities are unknown a priori, we propose a Whittle index based Q-Learning mechanism and show that it converges to the optimal solution. Our method improves over existing learning-based methods for RMABs on multiple benchmarks from literature and also on the maternal healthcare dataset.




Abstract:Restless Multi-Armed Bandits (RMABs) have been popularly used to model limited resource allocation problems. Recently, these have been employed for health monitoring and intervention planning problems. However, the existing approaches fail to account for the arrival of new patients and the departure of enrolled patients from a treatment program. To address this challenge, we formulate a streaming bandit (S-RMAB) framework, a generalization of RMABs where heterogeneous arms arrive and leave under possibly random streams. We propose a new and scalable approach to computing index-based solutions. We start by proving that index values decrease for short residual lifetimes, a phenomenon that we call index decay. We then provide algorithms designed to capture index decay without having to solve the costly finite horizon problem, thereby lowering the computational complexity compared to existing methods.We evaluate our approach via simulations run on real-world data obtained from a tuberculosis intervention planning task as well as multiple other synthetic domains. Our algorithms achieve an over 150x speed-up over existing methods in these tasks without loss in performance. These findings are robust across multiple domains.




Abstract:In this paper, we study the problem of fair classification in the presence of prior probability shifts, where the training set distribution differs from the test set. This phenomenon can be observed in the yearly records of several real-world datasets, such as recidivism records and medical expenditure surveys. If unaccounted for, such shifts can cause the predictions of a classifier to become unfair towards specific population subgroups. While the fairness notion called Proportional Equality (PE) accounts for such shifts, a procedure to ensure PE-fairness was unknown. In this work, we propose a method, called CAPE, which provides a comprehensive solution to the aforementioned problem. CAPE makes novel use of prevalence estimation techniques, sampling and an ensemble of classifiers to ensure fair predictions under prior probability shifts. We introduce a metric, called prevalence difference (PD), which CAPE attempts to minimize in order to ensure PE-fairness. We theoretically establish that this metric exhibits several desirable properties. We evaluate the efficacy of CAPE via a thorough empirical evaluation on synthetic datasets. We also compare the performance of CAPE with several popular fair classifiers on real-world datasets like COMPAS (criminal risk assessment) and MEPS (medical expenditure panel survey). The results indicate that CAPE ensures PE-fair predictions, while performing well on other performance metrics.




Abstract:With the increasing spread of COVID-19, it is important to systematically test more and more people. The current strategy for test-kit allocation is mostly rule-based, focusing on individuals having (a) symptoms for COVID-19, (b) travel history or (c) contact history with confirmed COVID-19 patients. Such testing strategy may miss out on detecting asymptomatic individuals who got infected via community spread. Thus, it is important to allocate a separate budget of test-kits per day targeted towards preventing community spread and detecting new cases early on. In this report, we consider the problem of allocating test-kits and discuss some solution approaches. We believe that these approaches will be useful to contain community spread and detect new cases early on. Additionally, these approaches would help in collecting unbiased data which can then be used to improve the accuracy of machine learning models trained to predict COVID-19 infections.




Abstract:We investigate the problem of fair recommendation in the context of two-sided online platforms, comprising customers on one side and producers on the other. Traditionally, recommendation services in these platforms have focused on maximizing customer satisfaction by tailoring the results according to the personalized preferences of individual customers. However, our investigation reveals that such customer-centric design may lead to unfair distribution of exposure among the producers, which may adversely impact their well-being. On the other hand, a producer-centric design might become unfair to the customers. Thus, we consider fairness issues that span both customers and producers. Our approach involves a novel mapping of the fair recommendation problem to a constrained version of the problem of fairly allocating indivisible goods. Our proposed FairRec algorithm guarantees at least Maximin Share (MMS) of exposure for most of the producers and Envy-Free up to One item (EF1) fairness for every customer. Extensive evaluations over multiple real-world datasets show the effectiveness of FairRec in ensuring two-sided fairness while incurring a marginal loss in the overall recommendation quality.