Abstract:Drug discovery is a time-consuming and expensive process, with traditional high-throughput and docking-based virtual screening hampered by low success rates and limited scalability. Recent advances in generative modelling, including autoregressive, diffusion, and flow-based approaches, have enabled de novo ligand design beyond the limits of enumerative screening. Yet these models often suffer from inadequate generalization, limited interpretability, and an overemphasis on binding affinity at the expense of key pharmacological properties, thereby restricting their translational utility. Here we present Trio, a molecular generation framework integrating fragment-based molecular language modeling, reinforcement learning, and Monte Carlo tree search, for effective and interpretable closed-loop targeted molecular design. Through the three key components, Trio enables context-aware fragment assembly, enforces physicochemical and synthetic feasibility, and guides a balanced search between the exploration of novel chemotypes and the exploitation of promising intermediates within protein binding pockets. Experimental results show that Trio reliably achieves chemically valid and pharmacologically enhanced ligands, outperforming state-of-the-art approaches with improved binding affinity (+7.85%), drug-likeness (+11.10%) and synthetic accessibility (+12.05%), while expanding molecular diversity more than fourfold. By combining generalization, plausibility, and interpretability, Trio establishes a closed-loop generative paradigm that redefines how chemical space can be navigated, offering a transformative foundation for the next era of AI-driven drug discovery.




Abstract:Breakthroughs in high-accuracy protein structure prediction, such as AlphaFold, have established receptor-based molecule design as a critical driver for rapid early-phase drug discovery. However, most approaches still struggle to balance pocket-specific geometric fit with strict valence and synthetic constraints. To resolve this trade-off, a Retrieval-Enhanced Aligned Diffusion termed READ is introduced, which is the first to merge molecular Retrieval-Augmented Generation with an SE(3)-equivariant diffusion model. Specifically, a contrastively pre-trained encoder aligns atom-level representations during training, then retrieves graph embeddings of pocket-matched scaffolds to guide each reverse-diffusion step at inference. This single mechanism can inject real-world chemical priors exactly where needed, producing valid, diverse, and shape-complementary ligands. Experimental results demonstrate that READ can achieve very competitive performance in CBGBench, surpassing state-of-the-art generative models and even native ligands. That suggests retrieval and diffusion can be co-optimized for faster, more reliable structure-based drug design.




Abstract:Molecular docking enables virtual screening of compound libraries to identify potential ligands that target proteins of interest, a crucial step in drug development; however, as the size of the compound library increases, the computational complexity of traditional docking models increases. Deep learning algorithms can provide data-driven research and development models to increase the speed of the docking process. Unfortunately, few models can achieve superior screening performance compared to that of traditional models. Therefore, a novel deep learning-based docking approach named Dockformer is introduced in this study. Dockformer leverages multimodal information to capture the geometric topology and structural knowledge of molecules and can directly generate binding conformations with the corresponding confidence measures in an end-to-end manner. The experimental results show that Dockformer achieves success rates of 90.53\% and 82.71\% on the PDBbind core set and PoseBusters benchmarks, respectively, and more than a 100-fold increase in the inference process speed, outperforming almost all state-of-the-art docking methods. In addition, the ability of Dockformer to identify the main protease inhibitors of coronaviruses is demonstrated in a real-world virtual screening scenario. Considering its high docking accuracy and screening efficiency, Dockformer can be regarded as a powerful and robust tool in the field of drug design.
Abstract:Pre-training has shown promising results on various image restoration tasks, which is usually followed by full fine-tuning for each specific downstream task (e.g., image denoising). However, such full fine-tuning usually suffers from the problems of heavy computational cost in practice, due to the massive parameters of pre-trained restoration models, thus limiting its real-world applications. Recently, Parameter Efficient Transfer Learning (PETL) offers an efficient alternative solution to full fine-tuning, yet still faces great challenges for pre-trained image restoration models, due to the diversity of different degradations. To address these issues, we propose AdaptIR, a novel parameter efficient transfer learning method for adapting pre-trained restoration models. Specifically, the proposed method consists of a multi-branch inception structure to orthogonally capture local spatial, global spatial, and channel interactions. In this way, it allows powerful representations under a very low parameter budget. Extensive experiments demonstrate that the proposed method can achieve comparable or even better performance than full fine-tuning, while only using 0.6% parameters. Code is available at https://github.com/csguoh/AdaptIR.




Abstract:The placement scheme of virtual machines (VMs) to physical servers (PSs) is crucial to lowering operational cost for cloud providers. Evolutionary algorithms (EAs) have been performed promising-solving on virtual machine placement (VMP) problems in the past. However, as growing demand for cloud services, the existing EAs fail to implement in large-scale virtual machine placement (LVMP) problem due to the high time complexity and poor scalability. Recently, the multi-factorial optimization (MFO) technology has surfaced as a new search paradigm in evolutionary computing. It offers the ability to evolve multiple optimization tasks simultaneously during the evolutionary process. This paper aims to apply the MFO technology to the LVMP problem in heterogeneous environment. Firstly, we formulate a deployment cost based VMP problem in the form of the MFO problem. Then, a multi-factorial evolutionary algorithm (MFEA) embedded with greedy-based allocation operator is developed to address the established MFO problem. After that, a re-migration and merge operator is designed to offer the integrated solution of the LVMP problem from the solutions of MFO problem. To assess the effectiveness of our proposed method, the simulation experiments are carried on large-scale and extra large-scale VMs test data sets. The results show that compared with various heuristic methods, our method could shorten optimization time significantly and offer a competitive placement solution for the LVMP problem in heterogeneous environment.




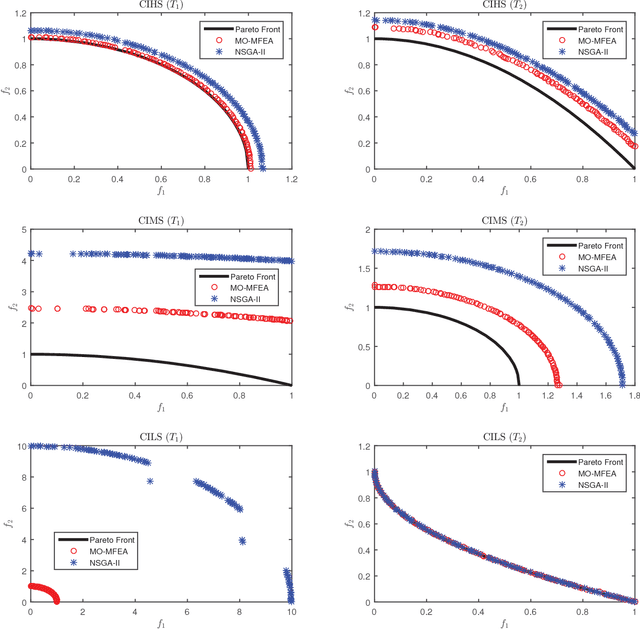
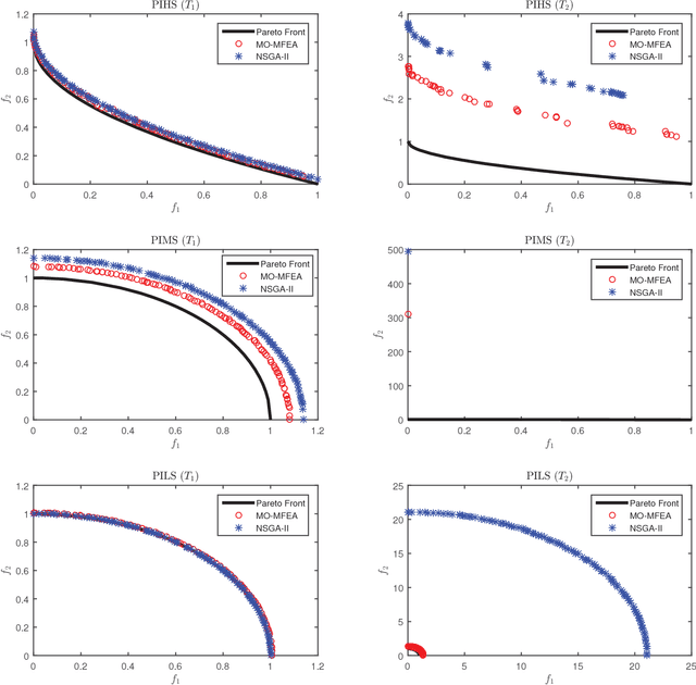
Abstract:Multi-tasking optimization can usually achieve better performance than traditional single-tasking optimization through knowledge transfer between tasks. However, current multi-tasking optimization algorithms have some deficiencies. For high similarity problems, the knowledge that can accelerate the convergence rate of tasks has not been utilized fully. For low similarity problems, the probability of generating negative transfer is high, which may result in optimization performance degradation. In addition, some knowledge transfer methods proposed previously do not fully consider how to deal with the situation in which the population falls into local optimum. To solve these issues, a two stage adaptive knowledge transfer evolutionary multi-tasking optimization algorithm based on population distribution, labeled as EMT-PD, is proposed. EMT-PD can accelerate and improve the convergence performance of tasks based on the knowledge extracted from the probability model that reflects the search trend of the whole population. At the first transfer stage, an adaptive weight is used to adjust the step size of individual's search, which can reduce the impact of negative transfer. At the second stage of knowledge transfer, the individual's search range is further adjusted dynamically, which can increase the diversity of population and beneficial for jumping out of local optimum. Experimental results on multi-tasking multi-objective optimization test suites show that EMT-PD is superior to six state-of-the-art optimization algorithms. In order to further investigate the effectiveness of EMT-PD on many-objective optimization problems, a multi-tasking many-objective test suite is designed. The experimental results on it also demonstrate that EMT-PD has obvious competitiveness.




Abstract:In this report, we suggest nine test problems for multi-task single-objective optimization (MTSOO), each of which consists of two single-objective optimization tasks that need to be solved simultaneously. The relationship between tasks varies between different test problems, which would be helpful to have a comprehensive evaluation of the MFO algorithms. It is expected that the proposed test problems will germinate progress the field of the MTSOO research.




Abstract:Incremental learning with concept drift has often been tackled by ensemble methods, where models built in the past can be re-trained to attain new models for the current data. Two design questions need to be addressed in developing ensemble methods for incremental learning with concept drift, i.e., which historical (i.e., previously trained) models should be preserved and how to utilize them. A novel ensemble learning method, namely Diversity and Transfer based Ensemble Learning (DTEL), is proposed in this paper. Given newly arrived data, DTEL uses each preserved historical model as an initial model and further trains it with the new data via transfer learning. Furthermore, DTEL preserves a diverse set of historical models, rather than a set of historical models that are merely accurate in terms of classification accuracy. Empirical studies on 15 synthetic data streams and 4 real-world data streams (all with concept drifts) demonstrate that DTEL can handle concept drift more effectively than 4 other state-of-the-art methods.