Abstract:Knowledge distillation (KD) is a machine learning framework that transfers knowledge from a teacher model to a student model. The vanilla KD proposed by Hinton et al. has been the dominant approach in logit-based distillation and demonstrates compelling performance. However, it only performs sample-wise probability alignment between teacher and student's predictions, lacking an mechanism for class-wise comparison. Besides, vanilla KD imposes no structural constraint on the probability space. In this work, we propose a simple yet effective methodology, bilateral contrastive knowledge distillation (BicKD). This approach introduces a novel bilateral contrastive loss, which intensifies the orthogonality among different class generalization spaces while preserving consistency within the same class. The bilateral formulation enables explicit comparison of both sample-wise and class-wise prediction patterns between teacher and student. By emphasizing probabilistic orthogonality, BicKD further regularizes the geometric structure of the predictive distribution. Extensive experiments show that our BicKD method enhances knowledge transfer, and consistently outperforms state-of-the-art knowledge distillation techniques across various model architectures and benchmarks.




Abstract:Text-to-Speech (TTS) diffusion models generate high-quality speech, which raises challenges for the model intellectual property protection and speech tracing for legal use. Audio watermarking is a promising solution. However, due to the structural differences among various TTS diffusion models, existing watermarking methods are often designed for a specific model and degrade audio quality, which limits their practical applicability. To address this dilemma, this paper proposes a universal watermarking scheme for TTS diffusion models, termed Smark. This is achieved by designing a lightweight watermark embedding framework that operates in the common reverse diffusion paradigm shared by all TTS diffusion models. To mitigate the impact on audio quality, Smark utilizes the discrete wavelet transform (DWT) to embed watermarks into the relatively stable low-frequency regions of the audio, which ensures seamless watermark-audio integration and is resistant to removal during the reverse diffusion process. Extensive experiments are conducted to evaluate the audio quality and watermark performance in various simulated real-world attack scenarios. The experimental results show that Smark achieves superior performance in both audio quality and watermark extraction accuracy.



Abstract:Backdoor attacks pose a significant threat to deep neural networks, particularly as recent advancements have led to increasingly subtle implantation, making the defense more challenging. Existing defense mechanisms typically rely on an additional clean dataset as a standard reference and involve retraining an auxiliary model or fine-tuning the entire victim model. However, these approaches are often computationally expensive and not always feasible in practical applications. In this paper, we propose a novel and lightweight defense mechanism, termed PAD-FT, that does not require an additional clean dataset and fine-tunes only a very small part of the model to disinfect the victim model. To achieve this, our approach first introduces a simple data purification process to identify and select the most-likely clean data from the poisoned training dataset. The self-purified clean dataset is then used for activation clipping and fine-tuning only the last classification layer of the victim model. By integrating data purification, activation clipping, and classifier fine-tuning, our mechanism PAD-FT demonstrates superior effectiveness across multiple backdoor attack methods and datasets, as confirmed through extensive experimental evaluation.
Abstract:Deep neural networks (DNNs) have achieved significant success in real-world applications. However, safeguarding their intellectual property (IP) remains extremely challenging. Existing DNN watermarking for IP protection often require modifying DNN models, which reduces model performance and limits their practicality. This paper introduces FreeMark, a novel DNN watermarking framework that leverages cryptographic principles without altering the original host DNN model, thereby avoiding any reduction in model performance. Unlike traditional DNN watermarking methods, FreeMark innovatively generates secret keys from a pre-generated watermark vector and the host model using gradient descent. These secret keys, used to extract watermark from the model's activation values, are securely stored with a trusted third party, enabling reliable watermark extraction from suspect models. Extensive experiments demonstrate that FreeMark effectively resists various watermark removal attacks while maintaining high watermark capacity.



Abstract:In the realm of healthcare where decentralized facilities are prevalent, machine learning faces two major challenges concerning the protection of data and models. The data-level challenge concerns the data privacy leakage when centralizing data with sensitive personal information. While the model-level challenge arises from the heterogeneity of local models, which need to be collaboratively trained while ensuring their confidentiality to address intellectual property concerns. To tackle these challenges, we propose a new framework termed Abstention-Aware Federated Voting (AAFV) that can collaboratively and confidentially train heterogeneous local models while simultaneously protecting the data privacy. This is achieved by integrating a novel abstention-aware voting mechanism and a differential privacy mechanism onto local models' predictions. In particular, the proposed abstention-aware voting mechanism exploits a threshold-based abstention method to select high-confidence votes from heterogeneous local models, which not only enhances the learning utility but also protects model confidentiality. Furthermore, we implement AAFV on two practical prediction tasks of diabetes and in-hospital patient mortality. The experiments demonstrate the effectiveness and confidentiality of AAFV in testing accuracy and privacy protection.
Abstract:Differentially Private Stochastic Gradients Descent (DP-SGD) is a prominent paradigm for preserving privacy in deep learning. It ensures privacy by perturbing gradients with random noise calibrated to their entire norm at each training step. However, this perturbation suffers from a sub-optimal performance: it repeatedly wastes privacy budget on the general converging direction shared among gradients from different batches, which we refer as common knowledge, yet yields little information gain. Motivated by this, we propose a differentially private training framework with early gradient decomposition and reconstruction (DPDR), which enables more efficient use of the privacy budget. In essence, it boosts model utility by focusing on incremental information protection and recycling the privatized common knowledge learned from previous gradients at early training steps. Concretely, DPDR incorporates three steps. First, it disentangles common knowledge and incremental information in current gradients by decomposing them based on previous noisy gradients. Second, most privacy budget is spent on protecting incremental information for higher information gain. Third, the model is updated with the gradient reconstructed from recycled common knowledge and noisy incremental information. Theoretical analysis and extensive experiments show that DPDR outperforms state-of-the-art baselines on both convergence rate and accuracy.
Abstract:In recent years, there have been significant advancements in the development of Large Language Models (LLMs). While their practical applications are now widespread, their potential for misuse, such as generating fake news and committing plagiarism, has posed significant concerns. To address this issue, detectors have been developed to evaluate whether a given text is human-generated or AI-generated. Among others, zero-shot detectors stand out as effective approaches that do not require additional training data and are often likelihood-based. In chat-based applications, users commonly input prompts and utilize the AI-generated texts. However, zero-shot detectors typically analyze these texts in isolation, neglecting the impact of the original prompts. It is conceivable that this approach may lead to a discrepancy in likelihood assessments between the text generation phase and the detection phase. So far, there remains an unverified gap concerning how the presence or absence of prompts impacts detection accuracy for zero-shot detectors. In this paper, we introduce an evaluative framework to empirically analyze the impact of prompts on the detection accuracy of AI-generated text. We assess various zero-shot detectors using both white-box detection, which leverages the prompt, and black-box detection, which operates without prompt information. Our experiments reveal the significant influence of prompts on detection accuracy. Remarkably, compared with black-box detection without prompts, the white-box methods using prompts demonstrate an increase in AUC of at least $0.1$ across all zero-shot detectors tested. Code is available: \url{https://github.com/kaito25atugich/Detector}.




Abstract:Distributed training of deep neural networks faces three critical challenges: privacy preservation, communication efficiency, and robustness to fault and adversarial behaviors. Although significant research efforts have been devoted to addressing these challenges independently, their synthesis remains less explored. In this paper, we propose TernaryVote, which combines a ternary compressor and the majority vote mechanism to realize differential privacy, gradient compression, and Byzantine resilience simultaneously. We theoretically quantify the privacy guarantee through the lens of the emerging f-differential privacy (DP) and the Byzantine resilience of the proposed algorithm. Particularly, in terms of privacy guarantees, compared to the existing sign-based approach StoSign, the proposed method improves the dimension dependence on the gradient size and enjoys privacy amplification by mini-batch sampling while ensuring a comparable convergence rate. We also prove that TernaryVote is robust when less than 50% of workers are blind attackers, which matches that of SIGNSGD with majority vote. Extensive experimental results validate the effectiveness of the proposed algorithm.




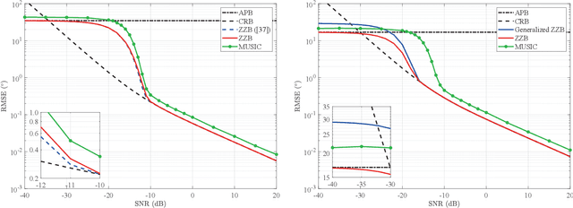
Abstract:Lower bounds on the mean square error (MSE) play an important role in evaluating the estimation performance of nonlinear parameters including direction-of-arrival (DOA). Among numerous known bounds, the well-accepted Cramer-Rao bound (CRB) lower bounds the MSE in the asymptotic region only, due to its locality. By contrast, the less-adopted Ziv-Zakai bound (ZZB) is restricted by the single source assumption, although it is global tight. In this paper, we first derive an explicit ZZB applicable for hybrid coherent/incoherent multiple sources DOA estimation. In detail, we incorporate Woodbury matrix identity and Sylvester's determinant theorem to generalize the ZZB from single source DOA estimation to multiple sources DOA estimation, which, unfortunately, becomes invalid when it is far away from the asymptotic region. We then introduce the order statistics to describe the effect of ordering process during MSE calculation on the change of a priori distribution of DOAs, such that the derived ZZB can keep a tight bound on the MSE outside the asymptotic region. The derived ZZB is for the first time formulated as the function of the coherent coefficients between the coherent sources, and reveals the relationship between the MSE convergency in the a priori performance region and the number of sources. Moreover, the derived ZZB also provides a unified tight bound for both overdetermined DOAs estimation and underdetermined DOAs estimation. Simulation results demonstrate the obvious advantages of the derived ZZB over the CRB on evaluating and predicting the estimation performance of multiple sources DOA.