University of Science and Technology of China
Abstract:Continuous optimization has significantly advanced causal discovery, yet existing methods (e.g., NOTEARS) generally guarantee only asymptotic convergence to a stationary point. This often yields dense weighted matrices that require arbitrary post-hoc thresholding to recover a DAG. This gap between continuous optimization and discrete graph structures remains a fundamental challenge. In this paper, we bridge this gap by proposing the Hybrid-Order Acyclicity Constraint (AHOC) and optimizing it via the Smoothed Proximal Gradient (SPG-AHOC). Leveraging the Manifold Identification Property of proximal algorithms, we provide a rigorous theoretical guarantee: the Finite-Time Oracle Property. We prove that under standard identifiability assumptions, SPG-AHOC recovers the exact DAG support (structure) in finite iterations, even when optimizing a smoothed approximation. This result eliminates structural ambiguity, as our algorithm returns graphs with exact zero entries without heuristic truncation. Empirically, SPG-AHOC achieves state-of-the-art accuracy and strongly corroborates the finite-time identification theory.
Abstract:Judea Pearl's vision of Structural Causal Models (SCMs) as engines for counterfactual reasoning hinges on faithful abduction: the precise inference of latent exogenous noise. For decades, operationalizing this step for complex, non-linear mechanisms has remained a significant computational challenge. The advent of diffusion models, powerful universal function approximators, offers a promising solution. However, we argue that their standard design, optimized for perceptual generation over logical inference, introduces a fundamental flaw for this classical problem: an inherent information loss we term the Structural Reconstruction Error (SRE). To address this challenge, we formalize the principle of Causal Information Conservation (CIC) as the necessary condition for faithful abduction. We then introduce BELM-MDCM, the first diffusion-based framework engineered to be causally sound by eliminating SRE by construction through an analytically invertible mechanism. To operationalize this framework, a Targeted Modeling strategy provides structural regularization, while a Hybrid Training Objective instills a strong causal inductive bias. Rigorous experiments demonstrate that our Zero-SRE framework not only achieves state-of-the-art accuracy but, more importantly, enables the high-fidelity, individual-level counterfactuals required for deep causal inquiries. Our work provides a foundational blueprint that reconciles the power of modern generative models with the rigor of classical causal theory, establishing a new and more rigorous standard for this emerging field.




Abstract:Natural images are often degraded by complex, composite degradations such as rain, snow, and haze, which adversely impact downstream vision applications. While existing image restoration efforts have achieved notable success, they are still hindered by two critical challenges: limited generalization across dynamically varying degradation scenarios and a suboptimal balance between preserving local details and modeling global dependencies. To overcome these challenges, we propose M2Restore, a novel Mixture-of-Experts (MoE)-based Mamba-CNN fusion framework for efficient and robust all-in-one image restoration. M2Restore introduces three key contributions: First, to boost the model's generalization across diverse degradation conditions, we exploit a CLIP-guided MoE gating mechanism that fuses task-conditioned prompts with CLIP-derived semantic priors. This mechanism is further refined via cross-modal feature calibration, which enables precise expert selection for various degradation types. Second, to jointly capture global contextual dependencies and fine-grained local details, we design a dual-stream architecture that integrates the localized representational strength of CNNs with the long-range modeling efficiency of Mamba. This integration enables collaborative optimization of global semantic relationships and local structural fidelity, preserving global coherence while enhancing detail restoration. Third, we introduce an edge-aware dynamic gating mechanism that adaptively balances global modeling and local enhancement by reallocating computational attention to degradation-sensitive regions. This targeted focus leads to more efficient and precise restoration. Extensive experiments across multiple image restoration benchmarks validate the superiority of M2Restore in both visual quality and quantitative performance.




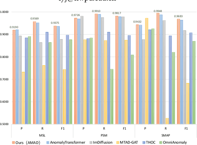
Abstract:Unsupervised multivariate time series anomaly detection (UMTSAD) plays a critical role in various domains, including finance, networks, and sensor systems. In recent years, due to the outstanding performance of deep learning in general sequential tasks, many models have been specialized for deep UMTSAD tasks and have achieved impressive results, particularly those based on the Transformer and self-attention mechanisms. However, the sequence anomaly association assumptions underlying these models are often limited to specific predefined patterns and scenarios, such as concentrated or peak anomaly patterns. These limitations hinder their ability to generalize to diverse anomaly situations, especially where the lack of labels poses significant challenges. To address these issues, we propose AMAD, which integrates \textbf{A}uto\textbf{M}asked Attention for UMTS\textbf{AD} scenarios. AMAD introduces a novel structure based on the AutoMask mechanism and an attention mixup module, forming a simple yet generalized anomaly association representation framework. This framework is further enhanced by a Max-Min training strategy and a Local-Global contrastive learning approach. By combining multi-scale feature extraction with automatic relative association modeling, AMAD provides a robust and adaptable solution to UMTSAD challenges. Extensive experimental results demonstrate that the proposed model achieving competitive performance results compared to SOTA benchmarks across a variety of datasets.
Abstract:Image clustering, which involves grouping images into different clusters without labels, is a key task in unsupervised learning. Although previous deep clustering methods have achieved remarkable results, they only explore the intrinsic information of the image itself but overlook external supervision knowledge to improve the semantic understanding of images. Recently, visual-language pre-trained model on large-scale datasets have been used in various downstream tasks and have achieved great results. However, there is a gap between visual representation learning and textual semantic learning, and how to properly utilize the representation of two different modalities for clustering is still a big challenge. To tackle the challenges, we propose a novel image clustering framwork, named Dual-level Cross-Modal Contrastive Clustering (DXMC). Firstly, external textual information is introduced for constructing a semantic space which is adopted to generate image-text pairs. Secondly, the image-text pairs are respectively sent to pre-trained image and text encoder to obtain image and text embeddings which subsquently are fed into four well-designed networks. Thirdly, dual-level cross-modal contrastive learning is conducted between discriminative representations of different modalities and distinct level. Extensive experimental results on five benchmark datasets demonstrate the superiority of our proposed method.
Abstract:Fall detection based on embedded sensor is a practical and popular research direction in recent years. In terms of a specific application: fall detection methods based upon physics sensors such as [gyroscope and accelerator] have been exploited using traditional hand crafted features and feed them in machine learning models like Markov chain or just threshold based classification methods. In this paper, we build a complete system named TSFallDetect including data receiving device based on embedded sensor, mobile deep-learning model deploying platform, and a simple server, which will be used to gather models and data for future expansion. On the other hand, we exploit the sequential deep-learning methods to address this falling motion prediction problem based on data collected by inertial and film pressure sensors. We make a empirical study based on existing datasets and our datasets collected from our system separately, which shows that the deep-learning model has more potential advantage than other traditional methods, and we proposed a new deep-learning model based on the time series data to predict the fall, and it may be superior to other sequential models in this particular field.




Abstract:Over the past years, a large number of fake news detection algorithms based on deep learning have emerged. However, they are often developed under different frameworks, each mandating distinct utilization methodologies, consequently hindering reproducibility. Additionally, a substantial amount of redundancy characterizes the code development of such fake news detection models. To address these concerns, we propose FaKnow, a unified and comprehensive fake news detection algorithm library. It encompasses a variety of widely used fake news detection models, categorized as content-based and social context-based approaches. This library covers the full spectrum of the model training and evaluation process, effectively organizing the data, models, and training procedures within a unified framework. Furthermore, it furnishes a series of auxiliary functionalities and tools, including visualization, and logging. Our work contributes to the standardization and unification of fake news detection research, concurrently facilitating the endeavors of researchers in this field. The open-source code and documentation can be accessed at https://github.com/NPURG/FaKnow and https://faknow.readthedocs.io, respectively.




Abstract:With the advent of general-purpose Generative AI, the interest in discerning its impact on the labor market escalates. In an attempt to bridge the extant empirical void, we interpret the launch of ChatGPT as an exogenous shock, and implement a Difference-in-Differences (DID) approach to quantify its influence on text-related jobs and freelancers within an online labor marketplace. Our results reveal a significant decrease in transaction volume for gigs and freelancers directly exposed to ChatGPT. Additionally, this decline is particularly marked in units of relatively higher past transaction volume or lower quality standards. Yet, the negative effect is not universally experienced among service providers. Subsequent analyses illustrate that freelancers proficiently adapting to novel advancements and offering services that augment AI technologies can yield substantial benefits amidst this transformative period. Consequently, even though the advent of ChatGPT could conceivably substitute existing occupations, it also unfolds immense opportunities and carries the potential to reconfigure the future of work. This research contributes to the limited empirical repository exploring the profound influence of LLM-based generative AI on the labor market, furnishing invaluable insights for workers, job intermediaries, and regulatory bodies navigating this evolving landscape.




Abstract:This paper presents a review of the 2018 WIDER Challenge on Face and Pedestrian. The challenge focuses on the problem of precise localization of human faces and bodies, and accurate association of identities. It comprises of three tracks: (i) WIDER Face which aims at soliciting new approaches to advance the state-of-the-art in face detection, (ii) WIDER Pedestrian which aims to find effective and efficient approaches to address the problem of pedestrian detection in unconstrained environments, and (iii) WIDER Person Search which presents an exciting challenge of searching persons across 192 movies. In total, 73 teams made valid submissions to the challenge tracks. We summarize the winning solutions for all three tracks. and present discussions on open problems and potential research directions in these topics.