



Abstract:The recent past has witnessed a notable surge in on-demand food delivery (OFD) services, offering delivery fulfillment within dozens of minutes after an order is placed. In OFD, pooling multiple orders for simultaneous delivery in real-time order assignment is a pivotal efficiency source, which may in turn extend delivery time. Constructing high-quality order pooling to harmonize platform efficiency with the experiences of consumers and couriers, is crucial to OFD platforms. However, the complexity and real-time nature of order assignment, making extensive calculations impractical, significantly limit the potential for order consolidation. Moreover, offline environment is frequently riddled with unknown factors, posing challenges for the platform's perceptibility and pooling decisions. Nevertheless, delivery behaviors of skilled couriers (SCs) who know the environment well, can improve system awareness and effectively inform decisions. Hence a SC delivery network (SCDN) is constructed, based on an enhanced attributed heterogeneous network embedding approach tailored for OFD. It aims to extract features from rich temporal and spatial information, and uncover the latent potential for order combinations embedded within SC trajectories. Accordingly, the vast search space of order assignment can be effectively pruned through scalable similarity calculations of low-dimensional vectors, making comprehensive and high-quality pooling outcomes more easily identified in real time. SCDN has now been deployed in Meituan dispatch system. Online tests reveal that with SCDN, the pooling quality and extent have been greatly improved. And our system can boost couriers'efficiency by 45-55% during noon peak hours, while upholding the timely delivery commitment.




Abstract:Recent years have witnessed the great accuracy performance of graph-based Collaborative Filtering (CF) models for recommender systems. By taking the user-item interaction behavior as a graph, these graph-based CF models borrow the success of Graph Neural Networks (GNN), and iteratively perform neighborhood aggregation to propagate the collaborative signals. While conventional CF models are known for facing the challenges of the popularity bias that favors popular items, one may wonder "Whether the existing graph-based CF models alleviate or exacerbate popularity bias of recommender systems?" To answer this question, we first investigate the two-fold performances w.r.t. accuracy and novelty for existing graph-based CF methods. The empirical results show that symmetric neighborhood aggregation adopted by most existing graph-based CF models exacerbate the popularity bias and this phenomenon becomes more serious as the depth of graph propagation increases. Further, we theoretically analyze the cause of popularity bias for graph-based CF. Then, we propose a simple yet effective plugin, namely r-AdjNorm, to achieve an accuracy-novelty trade-off by controlling the normalization strength in the neighborhood aggregation process. Meanwhile, r-AdjNorm can be smoothly applied to the existing graph-based CF backbones without additional computation. Finally, experimental results on three benchmark datasets show that our proposed method can improve novelty without sacrificing accuracy under various graph-based CF backbones.




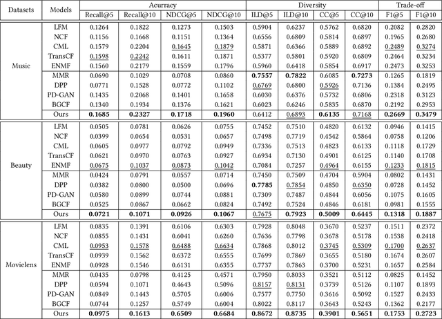
Abstract:One key property in recommender systems is the long-tail distribution in user-item interactions where most items only have few user feedback. Improving the recommendation of tail items can promote novelty and bring positive effects to both users and providers, and thus is a desirable property of recommender systems. Current novel recommendation studies over-emphasize the importance of tail items without differentiating the degree of users' intent on popularity and often incur a sharp decline of accuracy. Moreover, none of existing methods has ever taken the extreme case of tail items, i.e., cold-start items without any interaction, into consideration. In this work, we first disclose the mechanism that drives a user's interaction towards popular or niche items by disentangling her intent into conformity influence (popularity) and personal interests (preference). We then present a unified end-to-end framework to simultaneously optimize accuracy and novelty targets based on the disentangled intent of popularity and that of preference. We further develop a new paradigm for novel recommendation of cold-start items which exploits the self-supervised learning technique to model the correlation between collaborative features and content features. We conduct extensive experimental results on three real-world datasets. The results demonstrate that our proposed model yields significant improvements over the state-of-the-art baselines in terms of accuracy, novelty, coverage, and trade-off.




Abstract:Recommender systems have played a vital role in online platforms due to the ability of incorporating users' personal tastes. Beyond accuracy, diversity has been recognized as a key factor in recommendation to broaden user's horizons as well as to promote enterprises' sales. However, the trading-off between accuracy and diversity remains to be a big challenge, and the data and user biases have not been explored yet. In this paper, we develop an adaptive learning framework for accurate and diversified recommendation. We generalize recent proposed bi-lateral branch network in the computer vision community from image classification to item recommendation. Specifically, we encode domain level diversity by adaptively balancing accurate recommendation in the conventional branch and diversified recommendation in the adaptive branch of a bilateral branch network. We also capture user level diversity using a two-way adaptive metric learning backbone network in each branch. We conduct extensive experiments on three real-world datasets. Results demonstrate that our proposed approach consistently outperforms the state-of-the-art baselines.




Abstract:Matrix completion is a classic problem underlying recommender systems. It is traditionally tackled with matrix factorization. Recently, deep learning based methods, especially graph neural networks, have made impressive progress on this problem. Despite their effectiveness, existing methods focus on modeling the user-item interaction graph. The inherent drawback of such methods is that their performance is bound to the density of the interactions, which is however usually of high sparsity. More importantly, for a cold start user/item that does not have any interactions, such methods are unable to learn the preference embedding of the user/item since there is no link to this user/item in the graph. In this work, we develop a novel framework Attribute Graph Neural Networks (AGNN) by exploiting the attribute graph rather than the commonly used interaction graph. This leads to the capability of learning embeddings for cold start users/items. Our AGNN can produce the preference embedding for a cold user/item by learning on the distribution of attributes with an extended variational auto-encoder structure. Moreover, we propose a new graph neural network variant, i.e., gated-GNN, to effectively aggregate various attributes of different modalities in a neighborhood. Empirical results on two real-world datasets demonstrate that our model yields significant improvements for cold start recommendations and outperforms or matches state-of-the-arts performance in the warm start scenario.