Abstract:Accurate radio map (RM) construction is essential to enabling environment-aware and adaptive wireless communication. However, in future 6G scenarios characterized by high-speed network entities and fast-changing environments, it is very challenging to meet real-time requirements. Although generative diffusion models (DMs) can achieve state-of-the-art accuracy with second-level delay, their iterative nature leads to prohibitive inference latency in delay-sensitive scenarios. In this paper, by uncovering a key structural property of diffusion processes: the latent midpoints remain highly consistent across semantically similar scenes, we propose RadioDiff-Flux, a novel two-stage latent diffusion framework that decouples static environmental modeling from dynamic refinement, enabling the reuse of precomputed midpoints to bypass redundant denoising. In particular, the first stage generates a coarse latent representation using only static scene features, which can be cached and shared across similar scenarios. The second stage adapts this representation to dynamic conditions and transmitter locations using a pre-trained model, thereby avoiding repeated early-stage computation. The proposed RadioDiff-Flux significantly reduces inference time while preserving fidelity. Experiment results show that RadioDiff-Flux can achieve up to 50 acceleration with less than 0.15% accuracy loss, demonstrating its practical utility for fast, scalable RM generation in future 6G networks.




Abstract:Radio frequency fingerprint identification (RFFI) is a critical technique for wireless network security, leveraging intrinsic hardware-level imperfections introduced during device manufacturing to enable precise transmitter identification. While deep neural networks have shown remarkable capability in extracting discriminative features, their real-world deployment is hindered by receiver-induced variability. In practice, RF fingerprint signals comprise transmitter-specific features as well as channel distortions and receiver-induced biases. Although channel equalization can mitigate channel noise, receiver-induced feature shifts remain largely unaddressed, causing the RFFI models to overfit to receiver-specific patterns. This limitation is particularly problematic when training and evaluation share the same receiver, as replacing the receiver in deployment can cause substantial performance degradation. To tackle this challenge, we propose an RFFI framework robust to cross-receiver variability, integrating adversarial training and style transfer to explicitly disentangle transmitter and receiver features. By enforcing domain-invariant representation learning, our method isolates genuine hardware signatures from receiver artifacts, ensuring robustness against receiver changes. Extensive experiments on multi-receiver datasets demonstrate that our approach consistently outperforms state-of-the-art baselines, achieving up to a 10% improvement in average accuracy across diverse receiver settings.
Abstract:Mobile augmented reality (MAR) is envisioned as a key immersive application in 6G, enabling virtual content rendering aligned with the physical environment through device pose estimation. In this paper, we propose a novel agent-driven communication service provisioning approach for edge-assisted MAR, aiming to reduce communication overhead between MAR devices and the edge server while ensuring the quality of experience (QoE). First, to address the inaccessibility of MAR application-specific information to the network controller, we establish a digital agent powered by large language models (LLMs) on behalf of the MAR service provider, bridging the data and function gap between the MAR service and network domains. Second, to cope with the user-dependent and dynamic nature of data traffic patterns for individual devices, we develop a user-level QoE modeling method that captures the relationship between communication resource demands and perceived user QoE, enabling personalized, agent-driven communication resource management. Trace-driven simulation results demonstrate that the proposed approach outperforms conventional LLM-based QoE-aware service provisioning methods in both user-level QoE modeling accuracy and communication resource efficiency.
Abstract:Radio maps (RMs) serve as a critical foundation for enabling environment-aware wireless communication, as they provide the spatial distribution of wireless channel characteristics. Despite recent progress in RM construction using data-driven approaches, most existing methods focus solely on pathloss prediction in a fixed 2D plane, neglecting key parameters such as direction of arrival (DoA), time of arrival (ToA), and vertical spatial variations. Such a limitation is primarily due to the reliance on static learning paradigms, which hinder generalization beyond the training data distribution. To address these challenges, we propose UrbanRadio3D, a large-scale, high-resolution 3D RM dataset constructed via ray tracing in realistic urban environments. UrbanRadio3D is over 37$\times$3 larger than previous datasets across a 3D space with 3 metrics as pathloss, DoA, and ToA, forming a novel 3D$\times$33D dataset with 7$\times$3 more height layers than prior state-of-the-art (SOTA) dataset. To benchmark 3D RM construction, a UNet with 3D convolutional operators is proposed. Moreover, we further introduce RadioDiff-3D, a diffusion-model-based generative framework utilizing the 3D convolutional architecture. RadioDiff-3D supports both radiation-aware scenarios with known transmitter locations and radiation-unaware settings based on sparse spatial observations. Extensive evaluations on UrbanRadio3D validate that RadioDiff-3D achieves superior performance in constructing rich, high-dimensional radio maps under diverse environmental dynamics. This work provides a foundational dataset and benchmark for future research in 3D environment-aware communication. The dataset is available at https://github.com/UNIC-Lab/UrbanRadio3D.
Abstract:In this paper, a novel semantic communication framework empowered by generative artificial intelligence (GAI) is proposed, specifically leveraging the capabilities of diffusion models (DMs). A rigorous theoretical foundation is established based on stochastic differential equations (SDEs), which elucidates the denoising properties of DMs in mitigating additive white Gaussian noise (AWGN) in latent semantic representations. Crucially, a closed-form analytical relationship between the signal-to-noise ratio (SNR) and the denoising timestep is derived, enabling the optimal selection of diffusion parameters for any given channel condition. To address the distribution mismatch between the received signal and the DM's training data, a mathematically principled scaling mechanism is introduced, ensuring robust performance across a wide range of SNRs without requiring model fine-tuning. Built upon this theoretical insight, we develop a latent diffusion model (LDM)-based semantic transceiver, wherein a variational autoencoder (VAE) is employed for efficient semantic compression, and a pretrained DM serves as a universal denoiser. Notably, the proposed architecture is fully training-free at inference time, offering high modularity and compatibility with large-scale pretrained LDMs. This design inherently supports zero-shot generalization and mitigates the challenges posed by out-of-distribution inputs. Extensive experimental evaluations demonstrate that the proposed framework significantly outperforms conventional neural-network-based semantic communication baselines, particularly under low SNR conditions and distributional shifts, thereby establishing a promising direction for GAI-driven robust semantic transmission in future 6G systems.
Abstract:In this paper, we propose a novel physics-informed generative learning approach, termed RadioDiff-$\bm{k^2}$, for accurate and efficient multipath-aware radio map (RM) construction. As wireless communication evolves towards environment-aware paradigms, driven by the increasing demand for intelligent and proactive optimization in sixth-generation (6G) networks, accurate construction of RMs becomes crucial yet highly challenging. Conventional electromagnetic (EM)-based methods, such as full-wave solvers and ray-tracing approaches, exhibit substantial computational overhead and limited adaptability to dynamic scenarios. Although, existing neural network (NN) approaches have efficient inferencing speed, they lack sufficient consideration of the underlying physics of EM wave propagation, limiting their effectiveness in accurately modeling critical EM singularities induced by complex multipath environments. To address these fundamental limitations, we propose a novel physics-inspired RM construction method guided explicitly by the Helmholtz equation, which inherently governs EM wave propagation. Specifically, we theoretically establish a direct correspondence between EM singularities, which correspond to the critical spatial features influencing wireless propagation, and regions defined by negative wave numbers in the Helmholtz equation. Based on this insight, we design an innovative dual generative diffusion model (DM) framework comprising one DM dedicated to accurately inferring EM singularities and another DM responsible for reconstructing the complete RM using these singularities along with environmental contextual information. Our physics-informed approach uniquely combines the efficiency advantages of data-driven methods with rigorous physics-based EM modeling, significantly enhancing RM accuracy, particularly in complex propagation environments dominated by multipath effects.
Abstract:Radio maps (RMs) are essential for environment-aware communication and sensing, providing location-specific wireless channel information. Existing RM construction methods often rely on precise environmental data and base station (BS) locations, which are not always available in dynamic or privacy-sensitive environments. While sparse measurement techniques reduce data collection, the impact of noise in sparse data on RM accuracy is not well understood. This paper addresses these challenges by formulating RM construction as a Bayesian inverse problem under coarse environmental knowledge and noisy sparse measurements. Although maximum a posteriori (MAP) filtering offers an optimal solution, it requires a precise prior distribution of the RM, which is typically unavailable. To solve this, we propose RadioDiff-Inverse, a diffusion-enhanced Bayesian inverse estimation framework that uses an unconditional generative diffusion model to learn the RM prior. This approach not only reconstructs the spatial distribution of wireless channel features but also enables environmental structure perception, such as building outlines, and location of BS just relay on pathloss, through integrated sensing and communication (ISAC). Remarkably, RadioDiff-Inverse is training-free, leveraging a pre-trained model from Imagenet without task-specific fine-tuning, which significantly reduces the training cost of using generative large model in wireless networks. Experimental results demonstrate that RadioDiff-Inverse achieves state-of-the-art performance in accuracy of RM construction and environmental reconstruction, and robustness against noisy sparse sampling.




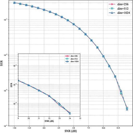
Abstract:In this paper, a signal detection method based on the denoise diffusion model (DM) is proposed, which outperforms the maximum likelihood (ML) estimation method that has long been regarded as the optimal signal detection technique. Theoretically, a novel mathematical theory for intelligent signal detection based on stochastic differential equations (SDEs) is established in this paper, demonstrating the effectiveness of DM in reducing the additive white Gaussian noise in received signals. Moreover, a mathematical relationship between the signal-to-noise ratio (SNR) and the timestep in DM is established, revealing that for any given SNR, a corresponding optimal timestep can be identified. Furthermore, to address potential issues with out-of-distribution inputs in the DM, we employ a mathematical scaling technique that allows the trained DM to handle signal detection across a wide range of SNRs without any fine-tuning. Building on the above theoretical foundation, we propose a DM-based signal detection method, with the diffusion transformer (DiT) serving as the backbone neural network, whose computational complexity of this method is $\mathcal{O}(n^2)$. Simulation results demonstrate that, for BPSK and QAM modulation schemes, the DM-based method achieves a significantly lower symbol error rate (SER) compared to ML estimation, while maintaining a much lower computational complexity.




Abstract:We introduce a novel Multi-modal Guided Real-World Face Restoration (MGFR) technique designed to improve the quality of facial image restoration from low-quality inputs. Leveraging a blend of attribute text prompts, high-quality reference images, and identity information, MGFR can mitigate the generation of false facial attributes and identities often associated with generative face restoration methods. By incorporating a dual-control adapter and a two-stage training strategy, our method effectively utilizes multi-modal prior information for targeted restoration tasks. We also present the Reface-HQ dataset, comprising over 23,000 high-resolution facial images across 5,000 identities, to address the need for reference face training images. Our approach achieves superior visual quality in restoring facial details under severe degradation and allows for controlled restoration processes, enhancing the accuracy of identity preservation and attribute correction. Including negative quality samples and attribute prompts in the training further refines the model's ability to generate detailed and perceptually accurate images.




Abstract:Radio map (RM) is a promising technology that can obtain pathloss based on only location, which is significant for 6G network applications to reduce the communication costs for pathloss estimation. However, the construction of RM in traditional is either computationally intensive or depends on costly sampling-based pathloss measurements. Although the neural network (NN)-based method can efficiently construct the RM without sampling, its performance is still suboptimal. This is primarily due to the misalignment between the generative characteristics of the RM construction problem and the discrimination modeling exploited by existing NN-based methods. Thus, to enhance RM construction performance, in this paper, the sampling-free RM construction is modeled as a conditional generative problem, where a denoised diffusion-based method, named RadioDiff, is proposed to achieve high-quality RM construction. In addition, to enhance the diffusion model's capability of extracting features from dynamic environments, an attention U-Net with an adaptive fast Fourier transform module is employed as the backbone network to improve the dynamic environmental features extracting capability. Meanwhile, the decoupled diffusion model is utilized to further enhance the construction performance of RMs. Moreover, a comprehensive theoretical analysis of why the RM construction is a generative problem is provided for the first time, from both perspectives of data features and NN training methods. Experimental results show that the proposed RadioDiff achieves state-of-the-art performance in all three metrics of accuracy, structural similarity, and peak signal-to-noise ratio. The code is available at https://github.com/UNIC-Lab/RadioDiff.