Abstract:Recent advances in diffusion models have revolutionized generative AI, but their sheer size makes on device personalization, and thus effective federated learning (FL), infeasible. We propose Shared Backbone Personal Identity Representation Embeddings (SPIRE), a framework that casts per client diffusion based generation as conditional generation in FL. SPIRE factorizes the network into (i) a high capacity global backbone that learns a population level score function and (ii) lightweight, learnable client embeddings that encode local data statistics. This separation enables parameter efficient finetuning that touches $\leq 0.01\%$ of weights. We provide the first theoretical bridge between conditional diffusion training and maximum likelihood estimation in Gaussian mixture models. For a two component mixture we prove that gradient descent on the DDPM with respect to mixing weights loss recovers the optimal mixing weights and enjoys dimension free error bounds. Our analysis also hints at how client embeddings act as biases that steer a shared score network toward personalized distributions. Empirically, SPIRE matches or surpasses strong baselines during collaborative pretraining, and vastly outperforms them when adapting to unseen clients, reducing Kernel Inception Distance while updating only hundreds of parameters. SPIRE further mitigates catastrophic forgetting and remains robust across finetuning learning rate and epoch choices.




Abstract:The rapid deployment of Large Language Models (LLMs) highlights the need for efficient low-bit post-training quantization (PTQ), due to their high memory costs. A key challenge in weight quantization is the presence of outliers, which inflate quantization ranges and lead to large errors. While a number of outlier suppression techniques have been proposed, they either: fail to effectively shrink the quantization range, or incur (relatively) high bit overhead. In this paper, we present ICQuant, a novel framework that leverages outlier statistics to design an efficient index coding scheme for outlier-aware weight-only quantization. Compared to existing outlier suppression techniques requiring $\approx 1$ bit overhead to halve the quantization range, ICQuant requires only $\approx 0.3$ bits; a significant saving in extreme compression regimes (e.g., 2-3 bits per weight). ICQuant can be used on top of any existing quantizers to eliminate outliers, improving the quantization quality. Using just 2.3 bits per weight and simple scalar quantizers, ICQuant improves the zero-shot accuracy of the 2-bit Llama3-70B model by up to 130% and 150% relative to QTIP and QuIP#; and it achieves comparable performance to the best-known fine-tuned quantizer (PV-tuning) without fine-tuning.

Abstract:Federated learning with heterogeneous data and personalization has received significant recent attention. Separately, robustness to corrupted data in the context of federated learning has also been studied. In this paper we explore combining personalization for heterogeneous data with robustness, where a constant fraction of the clients are corrupted. Motivated by this broad problem, we formulate a simple instantiation which captures some of its difficulty. We focus on the specific problem of personalized mean estimation where the data is drawn from a Gaussian mixture model. We give an algorithm whose error depends almost linearly on the ratio of corrupted to uncorrupted samples, and show a lower bound with the same behavior, albeit with a gap of a constant factor.
Abstract:Standard multimodal self-supervised learning (SSL) algorithms regard cross-modal synchronization as implicit supervisory labels during pretraining, thus posing high requirements on the scale and quality of multimodal samples. These constraints significantly limit the performance of sensing intelligence in IoT applications, as the heterogeneity and the non-interpretability of time-series signals result in abundant unimodal data but scarce high-quality multimodal pairs. This paper proposes InfoMAE, a cross-modal alignment framework that tackles the challenge of multimodal pair efficiency under the SSL setting by facilitating efficient cross-modal alignment of pretrained unimodal representations. InfoMAE achieves \textit{efficient cross-modal alignment} with \textit{limited data pairs} through a novel information theory-inspired formulation that simultaneously addresses distribution-level and instance-level alignment. Extensive experiments on two real-world IoT applications are performed to evaluate InfoMAE's pairing efficiency to bridge pretrained unimodal models into a cohesive joint multimodal model. InfoMAE enhances downstream multimodal tasks by over 60% with significantly improved multimodal pairing efficiency. It also improves unimodal task accuracy by an average of 22%.
Abstract:Large language models have demonstrated impressive in-context learning (ICL) capability. However, it is still unclear how the underlying transformers accomplish it, especially in more complex scenarios. Toward this goal, several recent works studied how transformers learn fixed-order Markov chains (FOMC) in context, yet natural languages are more suitably modeled by variable-order Markov chains (VOMC), i.e., context trees (CTs). In this work, we study the ICL of VOMC by viewing language modeling as a form of data compression and focus on small alphabets and low-order VOMCs. This perspective allows us to leverage mature compression algorithms, such as context-tree weighting (CTW) and prediction by partial matching (PPM) algorithms as baselines, the former of which is Bayesian optimal for a class of CTW priors. We empirically observe a few phenomena: 1) Transformers can indeed learn to compress VOMC in-context, while PPM suffers significantly; 2) The performance of transformers is not very sensitive to the number of layers, and even a two-layer transformer can learn in-context quite well; and 3) Transformers trained and tested on non-CTW priors can significantly outperform the CTW algorithm. To explain these phenomena, we analyze the attention map of the transformers and extract two mechanisms, on which we provide two transformer constructions: 1) A construction with $D+2$ layers that can mimic the CTW algorithm accurately for CTs of maximum order $D$, 2) A 2-layer transformer that utilizes the feed-forward network for probability blending. One distinction from the FOMC setting is that a counting mechanism appears to play an important role. We implement these synthetic transformer layers and show that such hybrid transformers can match the ICL performance of transformers, and more interestingly, some of them can perform even better despite the much-reduced parameter sets.




Abstract:Data valuation seeks to answer the important question, "How much is this data worth?" Existing data valuation methods have largely focused on discriminative models, primarily examining data value through the lens of its utility in training. However, with the push for ever-larger language models, relying on valuation methods that require training becomes increasingly expensive and dependent on specific techniques. We propose an alternative perspective on the data value problem for language models, centering around the plausibility of the data. We posit that data holds lesser value if it can be plausibly generated by the model itself. Starting from some intuitive criteria that align with our notions of valuable data, we develop a novel value function that is computationally tractable and derived from first principles with provable properties. We conduct a theoretical analysis of our value function and evaluate it across multiple scenarios and datasets.




Abstract:This paper demonstrates the potential of vibration-based Foundation Models (FMs), pre-trained with unlabeled sensing data, to improve the robustness of run-time inference in (a class of) IoT applications. A case study is presented featuring a vehicle classification application using acoustic and seismic sensing. The work is motivated by the success of foundation models in the areas of natural language processing and computer vision, leading to generalizations of the FM concept to other domains as well, where significant amounts of unlabeled data exist that can be used for self-supervised pre-training. One such domain is IoT applications. Foundation models for selected sensing modalities in the IoT domain can be pre-trained in an environment-agnostic fashion using available unlabeled sensor data and then fine-tuned to the deployment at hand using a small amount of labeled data. The paper shows that the pre-training/fine-tuning approach improves the robustness of downstream inference and facilitates adaptation to different environmental conditions. More specifically, we present a case study in a real-world setting to evaluate a simple (vibration-based) FM-like model, called FOCAL, demonstrating its superior robustness and adaptation, compared to conventional supervised deep neural networks (DNNs). We also demonstrate its superior convergence over supervised solutions. Our findings highlight the advantages of vibration-based FMs (and FM-inspired selfsupervised models in general) in terms of inference robustness, runtime efficiency, and model adaptation (via fine-tuning) in resource-limited IoT settings.
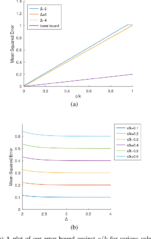
Abstract:Statistical heterogeneity of clients' local data is an important characteristic in federated learning, motivating personalized algorithms tailored to the local data statistics. Though there has been a plethora of algorithms proposed for personalized supervised learning, discovering the structure of local data through personalized unsupervised learning is less explored. We initiate a systematic study of such personalized unsupervised learning by developing algorithms based on optimization criteria inspired by a hierarchical Bayesian statistical framework. We develop adaptive algorithms that discover the balance between using limited local data and collaborative information. We do this in the context of two unsupervised learning tasks: personalized dimensionality reduction and personalized diffusion models. We develop convergence analyses for our adaptive algorithms which illustrate the dependence on problem parameters (e.g., heterogeneity, local sample size). We also develop a theoretical framework for personalized diffusion models, which shows the benefits of collaboration even under heterogeneity. We finally evaluate our proposed algorithms using synthetic and real data, demonstrating the effective sample amplification for personalized tasks, induced through collaboration, despite data heterogeneity.




Abstract:This paper proposes a novel contrastive learning framework, called FOCAL, for extracting comprehensive features from multimodal time-series sensing signals through self-supervised training. Existing multimodal contrastive frameworks mostly rely on the shared information between sensory modalities, but do not explicitly consider the exclusive modality information that could be critical to understanding the underlying sensing physics. Besides, contrastive frameworks for time series have not handled the temporal information locality appropriately. FOCAL solves these challenges by making the following contributions: First, given multimodal time series, it encodes each modality into a factorized latent space consisting of shared features and private features that are orthogonal to each other. The shared space emphasizes feature patterns consistent across sensory modalities through a modal-matching objective. In contrast, the private space extracts modality-exclusive information through a transformation-invariant objective. Second, we propose a temporal structural constraint for modality features, such that the average distance between temporally neighboring samples is no larger than that of temporally distant samples. Extensive evaluations are performed on four multimodal sensing datasets with two backbone encoders and two classifiers to demonstrate the superiority of FOCAL. It consistently outperforms the state-of-the-art baselines in downstream tasks with a clear margin, under different ratios of available labels. The code and self-collected dataset are available at https://github.com/tomoyoshki/focal.
Abstract:In this paper, we consider the problem of learning a linear regression model on a data domain of interest (target) given few samples. To aid learning, we are provided with a set of pre-trained regression models that are trained on potentially different data domains (sources). Assuming a representation structure for the data generating linear models at the sources and the target domains, we propose a representation transfer based learning method for constructing the target model. The proposed scheme is comprised of two phases: (i) utilizing the different source representations to construct a representation that is adapted to the target data, and (ii) using the obtained model as an initialization to a fine-tuning procedure that re-trains the entire (over-parameterized) regression model on the target data. For each phase of the training method, we provide excess risk bounds for the learned model compared to the true data generating target model. The derived bounds show a gain in sample complexity for our proposed method compared to the baseline method of not leveraging source representations when achieving the same excess risk, therefore, theoretically demonstrating the effectiveness of transfer learning for linear regression.