



Abstract:In mission-critical domains such as law enforcement and medical diagnosis, the ability to explain and interpret the outputs of deep learning models is crucial for ensuring user trust and supporting informed decision-making. Despite advancements in explainability, existing methods often fall short in providing explanations that mirror the depth and clarity of those given by human experts. Such expert-level explanations are essential for the dependable application of deep learning models in law enforcement and medical contexts. Additionally, we recognize that most explanations in real-world scenarios are communicated primarily through natural language. Addressing these needs, we propose a novel approach that utilizes characteristic descriptors to explain model decisions by identifying their presence in images, thereby generating expert-like explanations. Our method incorporates a concept bottleneck layer within the model architecture, which calculates the similarity between image and descriptor encodings to deliver inherent and faithful explanations. Through experiments in face recognition and chest X-ray diagnosis, we demonstrate that our approach offers a significant contrast over existing techniques, which are often limited to the use of saliency maps. We believe our approach represents a significant step toward making deep learning systems more accountable, transparent, and trustworthy in the critical domains of face recognition and medical diagnosis.




Abstract:The increasing prevalence of AI-generated content alongside human-written text underscores the need for reliable discrimination methods. To address this challenge, we propose a novel framework with textual embeddings from Pre-trained Language Models (PLMs) to distinguish AI-generated and human-authored text. Our approach utilizes Embedding Fusion to integrate semantic information from multiple Language Models, harnessing their complementary strengths to enhance performance. Through extensive evaluation across publicly available diverse datasets, our proposed approach demonstrates strong performance, achieving classification accuracy greater than 96% and a Matthews Correlation Coefficient (MCC) greater than 0.93. This evaluation is conducted on a balanced dataset of texts generated from five well-known Large Language Models (LLMs), highlighting the effectiveness and robustness of our novel methodology.




Abstract:In safeguarding mission-critical systems, such as Unmanned Aerial Vehicles (UAVs), preserving the privacy of path trajectories during navigation is paramount. While the combination of Reinforcement Learning (RL) and Fully Homomorphic Encryption (FHE) holds promise, the computational overhead of FHE presents a significant challenge. This paper proposes an innovative approach that leverages Knowledge Distillation to enhance the practicality of secure UAV navigation. By integrating RL and FHE, our framework addresses vulnerabilities to adversarial attacks while enabling real-time processing of encrypted UAV camera feeds, ensuring data security. To mitigate FHE's latency, Knowledge Distillation is employed to compress the network, resulting in an impressive 18x speedup without compromising performance, as evidenced by an R-squared score of 0.9499 compared to the original model's score of 0.9631. Our methodology underscores the feasibility of processing encrypted data for UAV navigation tasks, emphasizing security alongside performance efficiency and timely processing. These findings pave the way for deploying autonomous UAVs in sensitive environments, bolstering their resilience against potential security threats.




Abstract:With the rapid surge in the prevalence of Large Language Models (LLMs), individuals are increasingly turning to conversational AI for initial insights across various domains, including health-related inquiries such as disease diagnosis. Many users seek potential causes on platforms like ChatGPT or Bard before consulting a medical professional for their ailment. These platforms offer valuable benefits by streamlining the diagnosis process, alleviating the significant workload of healthcare practitioners, and saving users both time and money by avoiding unnecessary doctor visits. However, Despite the convenience of such platforms, sharing personal medical data online poses risks, including the presence of malicious platforms or potential eavesdropping by attackers. To address privacy concerns, we propose a novel framework combining FHE and Deep Learning for a secure and private diagnosis system. Operating on a question-and-answer-based model akin to an interaction with a medical practitioner, this end-to-end secure system employs Fully Homomorphic Encryption (FHE) to handle encrypted input data. Given FHE's computational constraints, we adapt deep neural networks and activation functions to the encryted domain. Further, we also propose a faster algorithm to compute summation of ciphertext elements. Through rigorous experiments, we demonstrate the efficacy of our approach. The proposed framework achieves strict security and privacy with minimal loss in performance.




Abstract:Autonomous Unmanned Aerial Vehicles (UAVs) have become essential tools in defense, law enforcement, disaster response, and product delivery. These autonomous navigation systems require a wireless communication network, and of late are deep learning based. In critical scenarios such as border protection or disaster response, ensuring the secure navigation of autonomous UAVs is paramount. But, these autonomous UAVs are susceptible to adversarial attacks through the communication network or the deep learning models - eavesdropping / man-in-the-middle / membership inference / reconstruction. To address this susceptibility, we propose an innovative approach that combines Reinforcement Learning (RL) and Fully Homomorphic Encryption (FHE) for secure autonomous UAV navigation. This end-to-end secure framework is designed for real-time video feeds captured by UAV cameras and utilizes FHE to perform inference on encrypted input images. While FHE allows computations on encrypted data, certain computational operators are yet to be implemented. Convolutional neural networks, fully connected neural networks, activation functions and OpenAI Gym Library are meticulously adapted to the FHE domain to enable encrypted data processing. We demonstrate the efficacy of our proposed approach through extensive experimentation. Our proposed approach ensures security and privacy in autonomous UAV navigation with negligible loss in performance.




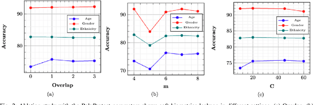
Abstract:Modern face recognition systems utilize deep neural networks to extract salient features from a face. These features denote embeddings in latent space and are often stored as templates in a face recognition system. These embeddings are susceptible to data leakage and, in some cases, can even be used to reconstruct the original face image. To prevent compromising identities, template protection schemes are commonly employed. However, these schemes may still not prevent the leakage of soft biometric information such as age, gender and race. To alleviate this issue, we propose a novel technique that combines Fully Homomorphic Encryption (FHE) with an existing template protection scheme known as PolyProtect. We show that the embeddings can be compressed and encrypted using FHE and transformed into a secure PolyProtect template using polynomial transformation, for additional protection. We demonstrate the efficacy of the proposed approach through extensive experiments on multiple datasets. Our proposed approach ensures irreversibility and unlinkability, effectively preventing the leakage of soft biometric attributes from face embeddings without compromising recognition accuracy.




Abstract:Contactless fingerprint matching using smartphone cameras can alleviate major challenges of traditional fingerprint systems including hygienic acquisition, portability and presentation attacks. However, development of practical and robust contactless fingerprint matching techniques is constrained by the limited availability of large scale real-world datasets. To motivate further advances in contactless fingerprint matching across sensors, we introduce the RidgeBase benchmark dataset. RidgeBase consists of more than 15,000 contactless and contact-based fingerprint image pairs acquired from 88 individuals under different background and lighting conditions using two smartphone cameras and one flatbed contact sensor. Unlike existing datasets, RidgeBase is designed to promote research under different matching scenarios that include Single Finger Matching and Multi-Finger Matching for both contactless- to-contactless (CL2CL) and contact-to-contactless (C2CL) verification and identification. Furthermore, due to the high intra-sample variance in contactless fingerprints belonging to the same finger, we propose a set-based matching protocol inspired by the advances in facial recognition datasets. This protocol is specifically designed for pragmatic contactless fingerprint matching that can account for variances in focus, polarity and finger-angles. We report qualitative and quantitative baseline results for different protocols using a COTS fingerprint matcher (Verifinger) and a Deep CNN based approach on the RidgeBase dataset. The dataset can be downloaded here: https://www.buffalo.edu/cubs/research/datasets/ridgebase-benchmark-dataset.html




Abstract:This paper proposes a non-interactive end-to-end solution for secure fusion and matching of biometric templates using fully homomorphic encryption (FHE). Given a pair of encrypted feature vectors, we perform the following ciphertext operations, i) feature concatenation, ii) fusion and dimensionality reduction through a learned linear projection, iii) scale normalization to unit $\ell_2$-norm, and iv) match score computation. Our method, dubbed HEFT (Homomorphically Encrypted Fusion of biometric Templates), is custom-designed to overcome the unique constraint imposed by FHE, namely the lack of support for non-arithmetic operations. From an inference perspective, we systematically explore different data packing schemes for computationally efficient linear projection and introduce a polynomial approximation for scale normalization. From a training perspective, we introduce an FHE-aware algorithm for learning the linear projection matrix to mitigate errors induced by approximate normalization. Experimental evaluation for template fusion and matching of face and voice biometrics shows that HEFT (i) improves biometric verification performance by 11.07% and 9.58% AUROC compared to the respective unibiometric representations while compressing the feature vectors by a factor of 16 (512D to 32D), and (ii) fuses a pair of encrypted feature vectors and computes its match score against a gallery of size 1024 in 884 ms. Code and data are available at https://github.com/human-analysis/encrypted-biometric-fusion




Abstract:Data privacy concerns often prevent the use of cloud-based machine learning services for sensitive personal data. While homomorphic encryption (HE) offers a potential solution by enabling computations on encrypted data, the challenge is to obtain accurate machine learning models that work within the multiplicative depth constraints of a leveled HE scheme. Existing approaches for encrypted inference either make ad-hoc simplifications to a pre-trained model (e.g., replace hard comparisons in a decision tree with soft comparators) at the cost of accuracy or directly train a new depth-constrained model using the original training set. In this work, we propose a framework to transfer knowledge extracted by complex decision tree ensembles to shallow neural networks (referred to as DTNets) that are highly conducive to encrypted inference. Our approach minimizes the accuracy loss by searching for the best DTNet architecture that operates within the given depth constraints and training this DTNet using only synthetic data sampled from the training data distribution. Extensive experiments on real-world datasets demonstrate that these characteristics are critical in ensuring that DTNet accuracy approaches that of the original tree ensemble. Our system is highly scalable and can perform efficient inference on batched encrypted (134 bits of security) data with amortized time in milliseconds. This is approximately three orders of magnitude faster than the standard approach of applying soft comparison at the internal nodes of the ensemble trees.




Abstract:Machine learning on encrypted data can address the concerns related to privacy and legality of sharing sensitive data with untrustworthy service providers. Fully Homomorphic Encryption (FHE) is a promising technique to enable machine learning and inferencing while providing strict guarantees against information leakage. Since deep convolutional neural networks (CNNs) have become the machine learning tool of choice in several applications, several attempts have been made to harness CNNs to extract insights from encrypted data. However, existing works focus only on ensuring data security and ignore security of model parameters. They also report high level implementations without providing rigorous analysis of the accuracy, security, and speed trade-offs involved in the FHE implementation of generic primitive operators of a CNN such as convolution, non-linear activation, and pooling. In this work, we consider a Machine Learning as a Service (MLaaS) scenario where both input data and model parameters are secured using FHE. Using the CKKS scheme available in the open-source HElib library, we show that operational parameters of the chosen FHE scheme such as the degree of the cyclotomic polynomial, depth limitations of the underlying leveled HE scheme, and the computational precision parameters have a major impact on the design of the machine learning model (especially, the choice of the activation function and pooling method). Our empirical study shows that choice of aforementioned design parameters result in significant trade-offs between accuracy, security level, and computational time. Encrypted inference experiments on the MNIST dataset indicate that other design choices such as ciphertext packing strategy and parallelization using multithreading are also critical in determining the throughput and latency of the inference process.