Abstract:Vision-language models have demonstrated impressive capabilities as computer-use agents (CUAs) capable of automating diverse computer tasks. As their commercial potential grows, critical details of the most capable CUA systems remain closed. As these agents will increasingly mediate digital interactions and execute consequential decisions on our behalf, the research community needs access to open CUA frameworks to study their capabilities, limitations, and risks. To bridge this gap, we propose OpenCUA, a comprehensive open-source framework for scaling CUA data and foundation models. Our framework consists of: (1) an annotation infrastructure that seamlessly captures human computer-use demonstrations; (2) AgentNet, the first large-scale computer-use task dataset spanning 3 operating systems and 200+ applications and websites; (3) a scalable pipeline that transforms demonstrations into state-action pairs with reflective long Chain-of-Thought reasoning that sustain robust performance gains as data scales. Our end-to-end agent models demonstrate strong performance across CUA benchmarks. In particular, OpenCUA-32B achieves an average success rate of 34.8% on OSWorld-Verified, establishing a new state-of-the-art (SOTA) among open-source models and surpassing OpenAI CUA (GPT-4o). Further analysis confirms that our approach generalizes well across domains and benefits significantly from increased test-time computation. We release our annotation tool, datasets, code, and models to build open foundations for further CUA research.
Abstract:To support the boosting interconnect capacity of the AI-related data centers, novel techniques enabled high-speed and low-cost optics are continuously emerging. When the baud rate approaches 200 GBaud per lane, the bottle-neck of traditional intensity modulation direct detection (IM-DD) architectures becomes increasingly evident. The simplified coherent solutions are widely discussed and considered as one of the most promising candidates. In this paper, a novel coherent architecture based on self-homodyne coherent detection and optically analog signal processing (OASP) is demonstrated. Proved by experiment, the first DSP-free baud-rate sampled 64-GBaud QPSK/16-QAM receptions are achieved, with BERs of 1e-6 and 2e-2, respectively. Even with 1-km fiber link propagation, the BER for QPSK reception remains at 3.6e-6. When an ultra-simple 1-sps SISO filter is utilized, the performance degradation of the proposed scheme is less than 1 dB compared to legacy DSP-based coherent reception. The proposed results pave the way for the ultra-high-speed coherent optical interconnections, offering high power and cost efficiency.




Abstract:The rapid evolution of large language models (LLMs) has unlocked their capabilities in advanced reasoning tasks like mathematical problem-solving, code generation, and legal analysis. Central to this progress are inference-time reasoning algorithms, which refine outputs by exploring multiple solution paths, at the cost of increasing compute demands and response latencies. Existing serving systems fail to adapt to the scaling behaviors of these algorithms or the varying difficulty of queries, leading to inefficient resource use and unmet latency targets. We present Dynasor, a system that optimizes inference-time compute for LLM reasoning queries. Unlike traditional engines, Dynasor tracks and schedules requests within reasoning queries and uses Certaindex, a proxy that measures statistical reasoning progress based on model certainty, to guide compute allocation dynamically. Dynasor co-adapts scheduling with reasoning progress: it allocates more compute to hard queries, reduces compute for simpler ones, and terminates unpromising queries early, balancing accuracy, latency, and cost. On diverse datasets and algorithms, Dynasor reduces compute by up to 50% in batch processing and sustaining 3.3x higher query rates or 4.7x tighter latency SLOs in online serving.




Abstract:As large language models (LLMs) evolve to handle increasingly longer contexts, serving inference requests for context lengths in the range of millions of tokens presents unique challenges. While existing techniques are effective for training, they fail to address the unique challenges of inference, such as varying prefill and decode phases and their associated latency constraints - like Time to First Token (TTFT) and Time Between Tokens (TBT). Furthermore, there are no long context inference solutions that allow batching requests to increase the hardware utilization today. In this paper, we propose three key innovations for efficient interactive long context LLM inference, without resorting to any approximation: adaptive chunking to reduce prefill overheads in mixed batching, Sequence Pipeline Parallelism (SPP) to lower TTFT, and KV Cache Parallelism (KVP) to minimize TBT. These contributions are combined into a 3D parallelism strategy, enabling Mnemosyne to scale interactive inference to context lengths at least up to 10 million tokens with high throughput enabled with batching. To our knowledge, Mnemosyne is the first to be able to achieve support for 10 million long context inference efficiently, while satisfying production-grade SLOs on TBT (30ms) on contexts up to and including 10 million.
Abstract:Researchers are constantly leveraging new forms of data with the goal of understanding how people perceive the built environment and build the collective place identity of cities. Latest advancements in generative artificial intelligence (AI) models have enabled the production of realistic representations learned from vast amounts of data. In this study, we aim to test the potential of generative AI as the source of textual and visual information in capturing the place identity of cities assessed by filtered descriptions and images. We asked questions on the place identity of a set of 31 global cities to two generative AI models, ChatGPT and DALL-E2. Since generative AI has raised ethical concerns regarding its trustworthiness, we performed cross-validation to examine whether the results show similar patterns to real urban settings. In particular, we compared the outputs with Wikipedia data for text and images searched from Google for image. Our results indicate that generative AI models have the potential to capture the collective image of cities that can make them distinguishable. This study is among the first attempts to explore the capabilities of generative AI in understanding human perceptions of the built environment. It contributes to urban design literature by discussing future research opportunities and potential limitations.




Abstract:Formation control problem is one of the most concerned topics within the realm of swarm intelligence, which is usually solved by conventional mathematical approaches. In this paper, however, we presents a metaheuristic approach that leverages a natural co-evolutionary strategy to solve the formation control problem for a swarm of missiles. The missile swarm is modeled by a second-order system with heterogeneous reference target, and exponential error function is made to be the objective function such that the swarm converge to optimal equilibrium states satisfying certain formation requirements. Focusing on the issue of local optimum and unstable evolution, we incorporate a novel model-based policy constraint and a population adaptation strategies that greatly alleviates the performance degradation. With application of the Molloy-Reed criterion in the field of network communication, we developed an adaptive topology method that assure the connectivity under node failure and its effectiveness are validated both theoretically and experimentally. Experimental results valid the effectiveness of the proposed formation control approach. More significantly, we showed that it is feasible to treat generic formation control problem as Markov Decision Process(MDP) and solve it through iterative learning.




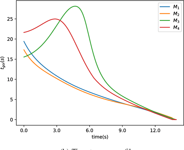
Abstract:Cooperative guidance of multiple missiles is a challenging task with rigorous constraints of time and space consensus, especially when attacking dynamic targets. In this paper, the cooperative guidance task is described as a distributed multi-objective cooperative optimization problem. To address the issues of non-stationarity and continuous control faced by cooperative guidance, the natural evolutionary strategy (NES) is improved along with an elitist adaptive learning technique to develop a novel natural co-evolutionary strategy (NCES). The gradients of original evolutionary strategy are rescaled to reduce the estimation bias caused by the interaction between the multiple missiles. Then, a hybrid co-evolutionary cooperative guidance law (HCCGL) is proposed by integrating the highly scalable co-evolutionary mechanism and the traditional guidance strategy. Finally, three simulations under different conditions demonstrate the effectiveness and superiority of this guidance law in solving cooperative guidance tasks with high accuracy. The proposed co-evolutionary approach has great prospects not only in cooperative guidance, but also in other application scenarios of multi-objective optimization, dynamic optimization and distributed control.