Abstract:Large Language Models (LLMs) are increasingly used to generate synthetic textual data for training smaller specialized models. However, a comparison of various generation strategies for low-resource language settings is lacking. While various prompting strategies have been proposed, such as demonstrations, label-based summaries, and self-revision, their comparative effectiveness remains unclear, especially for low-resource languages. In this paper, we systematically evaluate the performance of these generation strategies and their combinations across 11 typologically diverse languages, including several extremely low-resource ones. Using three NLP tasks and four open-source LLMs, we assess downstream model performance on generated versus gold-standard data. Our results show that strategic combinations of generation methods, particularly target-language demonstrations with LLM-based revisions, yield strong performance, narrowing the gap with real data to as little as 5% in some settings. We also find that smart prompting techniques can reduce the advantage of larger LLMs, highlighting efficient generation strategies for synthetic data generation in low-resource scenarios with smaller models.
Abstract:Online disinformation poses a global challenge, placing significant demands on fact-checkers who must verify claims efficiently to prevent the spread of false information. A major issue in this process is the redundant verification of already fact-checked claims, which increases workload and delays responses to newly emerging claims. This research introduces an approach that retrieves previously fact-checked claims, evaluates their relevance to a given input, and provides supplementary information to support fact-checkers. Our method employs large language models (LLMs) to filter irrelevant fact-checks and generate concise summaries and explanations, enabling fact-checkers to faster assess whether a claim has been verified before. In addition, we evaluate our approach through both automatic and human assessments, where humans interact with the developed tool to review its effectiveness. Our results demonstrate that LLMs are able to filter out many irrelevant fact-checks and, therefore, reduce effort and streamline the fact-checking process.
Abstract:Overshoot is a novel, momentum-based stochastic gradient descent optimization method designed to enhance performance beyond standard and Nesterov's momentum. In conventional momentum methods, gradients from previous steps are aggregated with the gradient at current model weights before taking a step and updating the model. Rather than calculating gradient at the current model weights, Overshoot calculates the gradient at model weights shifted in the direction of the current momentum. This sacrifices the immediate benefit of using the gradient w.r.t. the exact model weights now, in favor of evaluating at a point, which will likely be more relevant for future updates. We show that incorporating this principle into momentum-based optimizers (SGD with momentum and Adam) results in faster convergence (saving on average at least 15% of steps). Overshoot consistently outperforms both standard and Nesterov's momentum across a wide range of tasks and integrates into popular momentum-based optimizers with zero memory and small computational overhead.




Abstract:The generative large language models (LLMs) are increasingly used for data augmentation tasks, where text samples are paraphrased (or generated anew) and then used for classifier fine-tuning. Existing works on augmentation leverage the few-shot scenarios, where samples are given to LLMs as part of prompts, leading to better augmentations. Yet, the samples are mostly selected randomly and a comprehensive overview of the effects of other (more ``informed'') sample selection strategies is lacking. In this work, we compare sample selection strategies existing in few-shot learning literature and investigate their effects in LLM-based textual augmentation. We evaluate this on in-distribution and out-of-distribution classifier performance. Results indicate, that while some ``informed'' selection strategies increase the performance of models, especially for out-of-distribution data, it happens only seldom and with marginal performance increases. Unless further advances are made, a default of random sample selection remains a good option for augmentation practitioners.
Abstract:The generative large language models (LLMs) are increasingly being used for data augmentation tasks, where text samples are LLM-paraphrased and then used for classifier fine-tuning. However, a research that would confirm a clear cost-benefit advantage of LLMs over more established augmentation methods is largely missing. To study if (and when) is the LLM-based augmentation advantageous, we compared the effects of recent LLM augmentation methods with established ones on 6 datasets, 3 classifiers and 2 fine-tuning methods. We also varied the number of seeds and collected samples to better explore the downstream model accuracy space. Finally, we performed a cost-benefit analysis and show that LLM-based methods are worthy of deployment only when very small number of seeds is used. Moreover, in many cases, established methods lead to similar or better model accuracies.
Abstract:With the goal of uncovering the challenges faced by European AI students during their research endeavors, we surveyed 28 AI doctoral candidates from 13 European countries. The outcomes underscore challenges in three key areas: (1) the findability and quality of AI resources such as datasets, models, and experiments; (2) the difficulties in replicating the experiments in AI papers; (3) and the lack of trustworthiness and interdisciplinarity. From our findings, it appears that although early stage AI researchers generally tend to share their AI resources, they lack motivation or knowledge to engage more in dataset and code preparation and curation, and ethical assessments, and are not used to cooperate with well-versed experts in application domains. Furthermore, we examine existing practices in data governance and reproducibility both in computer science and in artificial intelligence. For instance, only a minority of venues actively promote reproducibility initiatives such as reproducibility evaluations. Critically, there is need for immediate adoption of responsible and reproducible AI research practices, crucial for society at large, and essential for the AI research community in particular. This paper proposes a combination of social and technical recommendations to overcome the identified challenges. Socially, we propose the general adoption of reproducibility initiatives in AI conferences and journals, as well as improved interdisciplinary collaboration, especially in data governance practices. On the technical front, we call for enhanced tools to better support versioning control of datasets and code, and a computing infrastructure that facilitates the sharing and discovery of AI resources, as well as the sharing, execution, and verification of experiments.
Abstract:While fine-tuning of pre-trained language models generally helps to overcome the lack of labelled training samples, it also displays model performance instability. This instability mainly originates from randomness in initialisation or data shuffling. To address this, researchers either modify the training process or augment the available samples, which typically results in increased computational costs. We propose a new mitigation strategy, called Delayed Ensemble with Noisy Interpolation (DENI), that leverages the strengths of ensembling, noise regularisation and model interpolation, while retaining computational efficiency. We compare DENI with 9 representative mitigation strategies across 3 models, 4 tuning strategies and 7 text classification datasets. We show that: 1) DENI outperforms the best performing mitigation strategy (Ensemble), while using only a fraction of its cost; 2) the mitigation strategies are beneficial for parameter-efficient fine-tuning (PEFT) methods, outperforming full fine-tuning in specific cases; and 3) combining DENI with data augmentation often leads to even more effective instability mitigation.




Abstract:High-quality text generation capability of latest Large Language Models (LLMs) causes concerns about their misuse (e.g., in massive generation/spread of disinformation). Machine-generated text (MGT) detection is important to cope with such threats. However, it is susceptible to authorship obfuscation (AO) methods, such as paraphrasing, which can cause MGTs to evade detection. So far, this was evaluated only in monolingual settings. Thus, the susceptibility of recently proposed multilingual detectors is still unknown. We fill this gap by comprehensively benchmarking the performance of 10 well-known AO methods, attacking 37 MGT detection methods against MGTs in 11 languages (i.e., 10 $\times$ 37 $\times$ 11 = 4,070 combinations). We also evaluate the effect of data augmentation on adversarial robustness using obfuscated texts. The results indicate that all tested AO methods can cause detection evasion in all tested languages, where homoglyph attacks are especially successful.




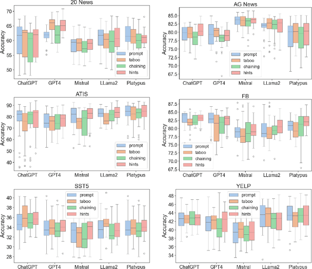
Abstract:The latest generative large language models (LLMs) have found their application in data augmentation tasks, where small numbers of text samples are LLM-paraphrased and then used to fine-tune the model. However, more research is needed to assess how different prompts, seed data selection strategies, filtering methods, or model settings affect the quality of paraphrased data (and downstream models). In this study, we investigate three text diversity incentive methods well established in crowdsourcing: taboo words, hints by previous outlier solutions, and chaining on previous outlier solutions. Using these incentive methods as part of instructions to LLMs augmenting text datasets, we measure their effects on generated texts' lexical diversity and downstream model performance. We compare the effects over 5 different LLMs and 6 datasets. We show that diversity is most increased by taboo words, while downstream model performance is highest when previously created paraphrases are used as hints.




Abstract:This study compares the performance of (1) fine-tuned models and (2) extremely large language models on the task of check-worthy claim detection. For the purpose of the comparison we composed a multilingual and multi-topical dataset comprising texts of various sources and styles. Building on this, we performed a benchmark analysis to determine the most general multilingual and multi-topical claim detector. We chose three state-of-the-art models in the check-worthy claim detection task and fine-tuned them. Furthermore, we selected three state-of-the-art extremely large language models without any fine-tuning. We made modifications to the models to adapt them for multilingual settings and through extensive experimentation and evaluation. We assessed the performance of all the models in terms of accuracy, recall, and F1-score in in-domain and cross-domain scenarios. Our results demonstrate that despite the technological progress in the area of natural language processing, the models fine-tuned for the task of check-worthy claim detection still outperform the zero-shot approaches in a cross-domain settings.