National Taiwan University
Abstract:The 2025 TREC Interactive Knowledge Assistance Track (iKAT) featured both interactive and offline submission tasks. The former requires systems to operate under real-time constraints, making robustness and efficiency as important as accuracy, while the latter enables controlled evaluation of passage ranking and response generation with pre-defined datasets. To address this, we explored query rewriting and retrieval fusion as core strategies. We built our pipelines around Best-of-$N$ selection and Reciprocal Rank Fusion (RRF) strategies to handle different submission tasks. Results show that reranking and fusion improve robustness while revealing trade-offs between effectiveness and efficiency across both tasks.
Abstract:Advance Care Planning (ACP) allows individuals to specify their preferred end-of-life life-sustaining treatments before they become incapacitated by injury or terminal illness (e.g., coma, cancer, dementia). While online ACP offers high accessibility, it lacks key benefits of clinical consultations, including personalized value exploration, immediate clarification of decision consequences. To bridge this gap, we conducted two formative studies: 1) shadowed and interviewed 3 ACP teams consisting of physicians, nurses, and social workers (18 patients total), and 2) interviewed 14 users of ACP websites. Building on these insights, we designed PreCare in collaboration with 6 ACP professionals. PreCare is a website with 3 AI-driven assistants designed to guide users through exploring personal values, gaining ACP knowledge, and supporting informed decision-making. A usability study (n=12) showed that PreCare achieved a System Usability Scale (SUS) rating of excellent. A comparative evaluation (n=12) showed that PreCare's AI assistants significantly improved exploration of personal values, knowledge, and decisional confidence, and was preferred by 92% of participants.




Abstract:This paper explores silent speech decoding in active brain-computer interface (BCI) systems, which offer more natural and flexible communication than traditional BCI applications. We collected a new silent speech dataset of over 120 hours of electroencephalogram (EEG) recordings from 12 subjects, capturing 24 commonly used English words for language model pretraining and decoding. Following the recent success of pretraining large models with self-supervised paradigms to enhance EEG classification performance, we propose Large Brain Language Model (LBLM) pretrained to decode silent speech for active BCI. To pretrain LBLM, we propose Future Spectro-Temporal Prediction (FSTP) pretraining paradigm to learn effective representations from unlabeled EEG data. Unlike existing EEG pretraining methods that mainly follow a masked-reconstruction paradigm, our proposed FSTP method employs autoregressive modeling in temporal and frequency domains to capture both temporal and spectral dependencies from EEG signals. After pretraining, we finetune our LBLM on downstream tasks, including word-level and semantic-level classification. Extensive experiments demonstrate significant performance gains of the LBLM over fully-supervised and pretrained baseline models. For instance, in the difficult cross-session setting, our model achieves 47.0\% accuracy on semantic-level classification and 39.6\% in word-level classification, outperforming baseline methods by 5.4\% and 7.3\%, respectively. Our research advances silent speech decoding in active BCI systems, offering an innovative solution for EEG language model pretraining and a new dataset for fundamental research.




Abstract:Multi-agent coordination studies the underlying mechanism enabling the trending spread of diverse multi-agent systems (MAS) and has received increasing attention, driven by the expansion of emerging applications and rapid AI advances. This survey outlines the current state of coordination research across applications through a unified understanding that answers four fundamental coordination questions: (1) what is coordination; (2) why coordination; (3) who to coordinate with; and (4) how to coordinate. Our purpose is to explore existing ideas and expertise in coordination and their connections across diverse applications, while identifying and highlighting emerging and promising research directions. First, general coordination problems that are essential to varied applications are identified and analyzed. Second, a number of MAS applications are surveyed, ranging from widely studied domains, e.g., search and rescue, warehouse automation and logistics, and transportation systems, to emerging fields including humanoid and anthropomorphic robots, satellite systems, and large language models (LLMs). Finally, open challenges about the scalability, heterogeneity, and learning mechanisms of MAS are analyzed and discussed. In particular, we identify the hybridization of hierarchical and decentralized coordination, human-MAS coordination, and LLM-based MAS as promising future directions.




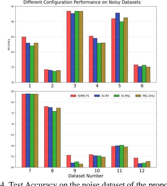
Abstract:Fuzzy Neural Networks (FNNs) are effective machine learning models for classification tasks, commonly based on the Takagi-Sugeno-Kang (TSK) fuzzy system. However, when faced with high-dimensional data, especially with noise, FNNs encounter challenges such as vanishing gradients, excessive fuzzy rules, and limited access to prior knowledge. To address these challenges, we propose a novel fuzzy system, the Self-Constructing Multi-Expert Fuzzy System (SOME-FS). It combines two learning strategies: mixed structure learning and multi-expert advanced learning. The former enables each base classifier to effectively determine its structure without requiring prior knowledge, while the latter tackles the issue of vanishing gradients by enabling each rule to focus on its local region, thereby enhancing the robustness of the fuzzy classifiers. The overall ensemble architecture enhances the stability and prediction performance of the fuzzy system. Our experimental results demonstrate that the proposed SOME-FS is effective in high-dimensional tabular data, especially in dealing with uncertainty. Moreover, our stable rule mining process can identify concise and core rules learned by the SOME-FS.




Abstract:The rapid evolution of Brain-Computer Interfaces (BCIs) has significantly influenced the domain of human-computer interaction, with Steady-State Visual Evoked Potentials (SSVEP) emerging as a notably robust paradigm. This study explores advanced classification techniques leveraging interpretable fuzzy transfer learning (iFuzzyTL) to enhance the adaptability and performance of SSVEP-based systems. Recent efforts have strengthened to reduce calibration requirements through innovative transfer learning approaches, which refine cross-subject generalizability and minimize calibration through strategic application of domain adaptation and few-shot learning strategies. Pioneering developments in deep learning also offer promising enhancements, facilitating robust domain adaptation and significantly improving system responsiveness and accuracy in SSVEP classification. However, these methods often require complex tuning and extensive data, limiting immediate applicability. iFuzzyTL introduces an adaptive framework that combines fuzzy logic principles with neural network architectures, focusing on efficient knowledge transfer and domain adaptation. iFuzzyTL refines input signal processing and classification in a human-interpretable format by integrating fuzzy inference systems and attention mechanisms. This approach bolsters the model's precision and aligns with real-world operational demands by effectively managing the inherent variability and uncertainty of EEG data. The model's efficacy is demonstrated across three datasets: 12JFPM (89.70% accuracy for 1s with an information transfer rate (ITR) of 149.58), Benchmark (85.81% accuracy for 1s with an ITR of 213.99), and eldBETA (76.50% accuracy for 1s with an ITR of 94.63), achieving state-of-the-art results and setting new benchmarks for SSVEP BCI performance.




Abstract:The paper introduces a Fuzzy-based Attention (Fuzzy Attention Layer) mechanism, a novel computational approach to enhance the interpretability and efficacy of neural models in psychological research. The proposed Fuzzy Attention Layer mechanism is integrated as a neural network layer within the Transformer Encoder model to facilitate the analysis of complex psychological phenomena through neural signals, such as those captured by functional Near-Infrared Spectroscopy (fNIRS). By leveraging fuzzy logic, the Fuzzy Attention Layer is capable of learning and identifying interpretable patterns of neural activity. This capability addresses a significant challenge when using Transformer: the lack of transparency in determining which specific brain activities most contribute to particular predictions. Our experimental results demonstrated on fNIRS data from subjects engaged in social interactions involving handholding reveal that the Fuzzy Attention Layer not only learns interpretable patterns of neural activity but also enhances model performance. Additionally, the learned patterns provide deeper insights into the neural correlates of interpersonal touch and emotional exchange. The application of our model shows promising potential in deciphering the subtle complexities of human social behaviors, thereby contributing significantly to the fields of social neuroscience and psychological AI.




Abstract:This paper presents a pioneering exploration into the integration of fine-grained human supervision within the autonomous driving domain to enhance system performance. The current advances in End-to-End autonomous driving normally are data-driven and rely on given expert trials. However, this reliance limits the systems' generalizability and their ability to earn human trust. Addressing this gap, our research introduces a novel approach by synchronously collecting data from human and machine drivers under identical driving scenarios, focusing on eye-tracking and brainwave data to guide machine perception and decision-making processes. This paper utilizes the Carla simulation to evaluate the impact brought by human behavior guidance. Experimental results show that using human attention to guide machine attention could bring a significant improvement in driving performance. However, guidance by human intention still remains a challenge. This paper pioneers a promising direction and potential for utilizing human behavior guidance to enhance autonomous systems.




Abstract:Driving under drowsy conditions significantly escalates the risk of vehicular accidents. Although recent efforts have focused on using electroencephalography to detect drowsiness, helping prevent accidents caused by driving in such states, seamless human-machine interaction in driving scenarios requires a more versatile EEG-based system. This system should be capable of understanding a driver's intention while demonstrating resilience to artifacts induced by sudden movements. This paper pioneers a novel research direction in BCI-assisted driving, studying the neural patterns related to driving intentions and presenting a novel method for driving intention prediction. In particular, our preliminary analysis of the EEG signal using independent component analysis suggests a close relation between the intention of driving maneuvers and the neural activities in central-frontal and parietal areas. Power spectral density analysis at a group level also reveals a notable distinction among various driving intentions in the frequency domain. To exploit these brain dynamics, we propose a novel Masked EEG Modeling framework for predicting human driving intentions, including the intention for left turning, right turning, and straight proceeding. Extensive experiments, encompassing comprehensive quantitative and qualitative assessments on public dataset, demonstrate the proposed method is proficient in predicting driving intentions across various vigilance states. Specifically, our model attains an accuracy of 85.19% when predicting driving intentions for drowsy subjects, which shows its promising potential for mitigating traffic accidents related to drowsy driving. Notably, our method maintains over 75% accuracy when more than half of the channels are missing or corrupted, underscoring its adaptability in real-life driving.




Abstract:Decoding linguistic information from non-invasive brain signals using EEG has gained increasing research attention due to its vast applicational potential. Recently, a number of works have adopted a generative-based framework to decode electroencephalogram (EEG) signals into sentences by utilizing the power generative capacity of pretrained large language models (LLMs). However, this approach has several drawbacks that hinder the further development of linguistic applications for brain-computer interfaces (BCIs). Specifically, the ability of the EEG encoder to learn semantic information from EEG data remains questionable, and the LLM decoder's tendency to generate sentences based on its training memory can be hard to avoid. These issues necessitate a novel approach for converting EEG signals into sentences. In this paper, we propose a novel two-step pipeline that addresses these limitations and enhances the validity of linguistic EEG decoding research. We first confirm that word-level semantic information can be learned from EEG data recorded during natural reading by training a Conformer encoder via a masked contrastive objective for word-level classification. To achieve sentence decoding results, we employ a training-free retrieval method to retrieve sentences based on the predictions from the EEG encoder. Extensive experiments and ablation studies were conducted in this paper for a comprehensive evaluation of the proposed approach. Visualization of the top prediction candidates reveals that our model effectively groups EEG segments into semantic categories with similar meanings, thereby validating its ability to learn patterns from unspoken EEG recordings. Despite the exploratory nature of this work, these results suggest that our method holds promise for providing more reliable solutions for converting EEG signals into text.