Abstract:Large language models (LLMs) have achieved distinguished performance on various reasoning-intensive tasks. However, LLMs might still face the challenges of robustness issues and fail unexpectedly in some simple reasoning tasks. Previous works evaluate the LLM robustness with hand-crafted templates or a limited set of perturbation rules, indicating potential data contamination in pre-training or fine-tuning datasets. In this work, inspired by stress testing in software engineering, we propose a novel framework, Automatic Robustness Checker (AR-Checker), to generate mathematical problem variants that maintain the semantic meanings of the original one but might fail the LLMs. The AR-Checker framework generates mathematical problem variants through multi-round parallel streams of LLM-based rewriting and verification. Our framework can generate benchmark variants dynamically for each LLM, thus minimizing the risk of data contamination. Experiments on GSM8K and MATH-500 demonstrate the strong performance of AR-Checker on mathematical tasks. We also evaluate AR-Checker on benchmarks beyond mathematics, including MMLU, MMLU-Pro, and CommonsenseQA, where it also achieves strong performance, further proving the effectiveness of AR-Checker.




Abstract:The rise of compound AI serving -- integrating multiple operators in a pipeline that may span edge and cloud tiers -- enables end-user applications such as autonomous driving, generative AI-powered meeting companions, and immersive gaming. Achieving high service goodput -- i.e., meeting service level objectives (SLOs) for pipeline latency, accuracy, and costs -- requires effective planning of operator placement, configuration, and resource allocation across infrastructure tiers. However, the diverse SLO requirements, varying edge capabilities, and high query volumes create an enormous planning search space, rendering current solutions fundamentally limited for real-time serving and cost-efficient deployments. This paper presents Circinus, an SLO-aware query planner for large-scale compound AI workloads. Circinus novelly decomposes multi-query planning and multi-dimensional SLO objectives while preserving global decision quality. By exploiting plan similarities within and across queries, it significantly reduces search steps. It further improves per-step efficiency with a precision-aware plan profiler that incrementally profiles and strategically applies early stopping based on imprecise estimates of plan performance. At scale, Circinus selects query-plan combinations to maximize global SLO goodput. Evaluations in real-world settings show that Circinus improves service goodput by 3.2-5.0$\times$, accelerates query planning by 4.2-5.8$\times$, achieving query response in seconds, while reducing deployment costs by 3.2-4.0$\times$ over state of the arts even in their intended single-tier deployments.
Abstract:We introduce Open Deep Search (ODS) to close the increasing gap between the proprietary search AI solutions, such as Perplexity's Sonar Reasoning Pro and OpenAI's GPT-4o Search Preview, and their open-source counterparts. The main innovation introduced in ODS is to augment the reasoning capabilities of the latest open-source LLMs with reasoning agents that can judiciously use web search tools to answer queries. Concretely, ODS consists of two components that work with a base LLM chosen by the user: Open Search Tool and Open Reasoning Agent. Open Reasoning Agent interprets the given task and completes it by orchestrating a sequence of actions that includes calling tools, one of which is the Open Search Tool. Open Search Tool is a novel web search tool that outperforms proprietary counterparts. Together with powerful open-source reasoning LLMs, such as DeepSeek-R1, ODS nearly matches and sometimes surpasses the existing state-of-the-art baselines on two benchmarks: SimpleQA and FRAMES. For example, on the FRAMES evaluation benchmark, ODS improves the best existing baseline of the recently released GPT-4o Search Preview by 9.7% in accuracy. ODS is a general framework for seamlessly augmenting any LLMs -- for example, DeepSeek-R1 that achieves 82.4% on SimpleQA and 30.1% on FRAMES -- with search and reasoning capabilities to achieve state-of-the-art performance: 88.3% on SimpleQA and 75.3% on FRAMES.




Abstract:Dynamic graph neural network (DGNN) is becoming increasingly popular because of its widespread use in capturing dynamic features in the real world. A variety of dynamic graph neural networks designed from algorithmic perspectives have succeeded in incorporating temporal information into graph processing. Despite the promising algorithmic performance, deploying DGNNs on hardware presents additional challenges due to the model complexity, diversity, and the nature of the time dependency. Meanwhile, the differences between DGNNs and static graph neural networks make hardware-related optimizations for static graph neural networks unsuitable for DGNNs. In this paper, we select eight prevailing DGNNs with different characteristics and profile them on both CPU and GPU. The profiling results are summarized and analyzed, providing in-depth insights into the bottlenecks of DGNNs on hardware and identifying potential optimization opportunities for future DGNN acceleration. Followed by a comprehensive survey, we provide a detailed analysis of DGNN performance bottlenecks on hardware, including temporal data dependency, workload imbalance, data movement, and GPU warm-up. We suggest several optimizations from both software and hardware perspectives. This paper is the first to provide an in-depth analysis of the hardware performance of DGNN Code is available at https://github.com/sharc-lab/DGNN_analysis.




Abstract:A critical aspect of reliable communication involves the design of codes that allow transmissions to be robustly and computationally efficiently decoded under noisy conditions. Advances in the design of reliable codes have been driven by coding theory and have been sporadic. Recently, it is shown that channel codes that are comparable to modern codes can be learned solely via deep learning. In particular, Turbo Autoencoder (TURBOAE), introduced by Jiang et al., is shown to achieve the reliability of Turbo codes for Additive White Gaussian Noise channels. In this paper, we focus on applying the idea of TURBOAE to various practical channels, such as fading channels and chirp noise channels. We introduce TURBOAE-TI, a novel neural architecture that combines TURBOAE with a trainable interleaver design. We develop a carefully-designed training procedure and a novel interleaver penalty function that are crucial in learning the interleaver and TURBOAE jointly. We demonstrate that TURBOAE-TI outperforms TURBOAE and LTE Turbo codes for several channels of interest. We also provide interpretation analysis to better understand TURBOAE-TI.




Abstract:We respond to [1] which claimed that "Modulo-SK scheme outperforms Deepcode [2]". We demonstrate that this statement is not true: the two schemes are designed and evaluated for entirely different settings. DeepCode is designed and evaluated for the AWGN channel with (potentially delayed) uncoded output feedback. Modulo-SK is evaluated on the AWGN channel with coded feedback and unit delay. [1] also claimed an implementation of Schalkwijk and Kailath (SK) [3] which was numerically stable for any number of information bits and iterations. However, we observe that while their implementation does marginally improve over ours, it also suffers from a fundamental issue with precision. Finally, we show that Deepcode dominates the optimized performance of SK, over a natural choice of parameterizations when the feedback is noisy.




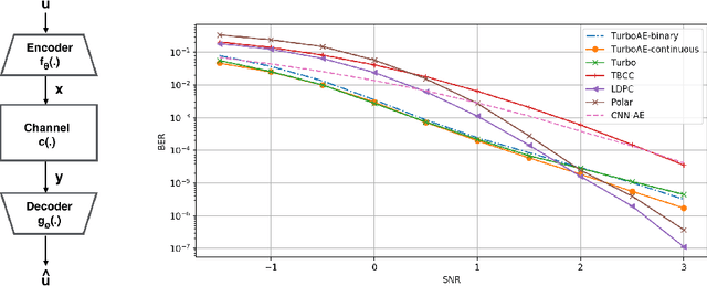
Abstract:Designing codes that combat the noise in a communication medium has remained a significant area of research in information theory as well as wireless communications. Asymptotically optimal channel codes have been developed by mathematicians for communicating under canonical models after over 60 years of research. On the other hand, in many non-canonical channel settings, optimal codes do not exist and the codes designed for canonical models are adapted via heuristics to these channels and are thus not guaranteed to be optimal. In this work, we make significant progress on this problem by designing a fully end-to-end jointly trained neural encoder and decoder, namely, Turbo Autoencoder (TurboAE), with the following contributions: ($a$) under moderate block lengths, TurboAE approaches state-of-the-art performance under canonical channels; ($b$) moreover, TurboAE outperforms the state-of-the-art codes under non-canonical settings in terms of reliability. TurboAE shows that the development of channel coding design can be automated via deep learning, with near-optimal performance.




Abstract:Federated Learning (FL) refers to learning a high quality global model based on decentralized data storage, without ever copying the raw data. A natural scenario arises with data created on mobile phones by the activity of their users. Given the typical data heterogeneity in such situations, it is natural to ask how can the global model be personalized for every such device, individually. In this work, we point out that the setting of Model Agnostic Meta Learning (MAML), where one optimizes for a fast, gradient-based, few-shot adaptation to a heterogeneous distribution of tasks, has a number of similarities with the objective of personalization for FL. We present FL as a natural source of practical applications for MAML algorithms, and make the following observations. 1) The popular FL algorithm, Federated Averaging, can be interpreted as a meta learning algorithm. 2) Careful fine-tuning can yield a global model with higher accuracy, which is at the same time easier to personalize. However, solely optimizing for the global model accuracy yields a weaker personalization result. 3) A model trained using a standard datacenter optimization method is much harder to personalize, compared to one trained using Federated Averaging, supporting the first claim. These results raise new questions for FL, MAML, and broader ML research.




Abstract:Designing channel codes under low latency constraints is one of the most demanding requirements in 5G standards. However, sharp characterizations of the performances of traditional codes are only available in the large block-length limit. Code designs are guided by those asymptotic analyses and require large block lengths and long latency to achieve the desired error rate. Furthermore, when the codes designed for one channel (e.g. Additive White Gaussian Noise (AWGN) channel) are used for another (e.g. non-AWGN channels), heuristics are necessary to achieve any nontrivial performance -thereby severely lacking in robustness as well as adaptivity. Obtained by jointly designing Recurrent Neural Network (RNN) based encoder and decoder, we propose an end-to-end learned neural code which outperforms canonical convolutional code under block settings. With this gained experience of designing a novel neural block code, we propose a new class of codes under low latency constraint - Low-latency Efficient Adaptive Robust Neural (LEARN) codes, which outperforms the state-of-the-art low latency codes as well as exhibits robustness and adaptivity properties. LEARN codes show the potential of designing new versatile and universal codes for future communications via tools of modern deep learning coupled with communication engineering insights.




Abstract:The design of codes for communicating reliably over a statistically well defined channel is an important endeavor involving deep mathematical research and wide-ranging practical applications. In this work, we present the first family of codes obtained via deep learning, which significantly beats state-of-the-art codes designed over several decades of research. The communication channel under consideration is the Gaussian noise channel with feedback, whose study was initiated by Shannon; feedback is known theoretically to improve reliability of communication, but no practical codes that do so have ever been successfully constructed. We break this logjam by integrating information theoretic insights harmoniously with recurrent-neural-network based encoders and decoders to create novel codes that outperform known codes by 3 orders of magnitude in reliability. We also demonstrate several desirable properties of the codes: (a) generalization to larger block lengths, (b) composability with known codes, (c) adaptation to practical constraints. This result also has broader ramifications for coding theory: even when the channel has a clear mathematical model, deep learning methodologies, when combined with channel-specific information-theoretic insights, can potentially beat state-of-the-art codes constructed over decades of mathematical research.