Abstract:Channel pruning is a powerful technique to reduce the computational overhead of deep neural networks, enabling efficient deployment on resource-constrained devices. However, existing pruning methods often rely on local heuristics or weight-based criteria that fail to capture global structural dependencies within the network, leading to suboptimal pruning decisions and degraded model performance. To address these limitations, we propose a novel structure-aware automatic channel pruning (SACP) framework that utilizes graph convolutional networks (GCNs) to model the network topology and learn the global importance of each channel. By encoding structural relationships within the network, our approach implements topology-aware pruning and this pruning is fully automated, reducing the need for human intervention. We restrict the pruning rate combinations to a specific space, where the number of combinations can be dynamically adjusted, and use a search-based approach to determine the optimal pruning rate combinations. Extensive experiments on benchmark datasets (CIFAR-10, ImageNet) with various models (ResNet, VGG16) demonstrate that SACP outperforms state-of-the-art pruning methods on compression efficiency and competitive on accuracy retention.
Abstract:Understanding the dynamic transition of motifs in temporal graphs is essential for revealing how graph structures evolve over time, identifying critical patterns, and predicting future behaviors, yet existing methods often focus on predefined motifs, limiting their ability to comprehensively capture transitions and interrelationships. We propose a parallel motif transition process discovery algorithm, PTMT, a novel parallel method for discovering motif transition processes in large-scale temporal graphs. PTMT integrates a tree-based framework with the temporal zone partitioning (TZP) strategy, which partitions temporal graphs by time and structure while preserving lossless motif transitions and enabling massive parallelism. PTMT comprises three phases: growth zone parallel expansion, overlap-aware result aggregation, and deterministic encoding of motif transitions, ensuring accurate tracking of dynamic transitions and interactions. Results on 10 real-world datasets demonstrate that PTMT achieves speedups ranging from 12.0$\times$ to 50.3$\times$ compared to the SOTA method.
Abstract:Graph Neural Networks (GNNs) have demonstrated strong performance across various graph-based tasks by effectively capturing relational information between nodes. These models rely on iterative message passing to propagate node features, enabling nodes to aggregate information from their neighbors. Recent research has significantly improved the message-passing mechanism, enhancing GNN scalability on large-scale graphs. However, GNNs still face two main challenges: over-smoothing, where excessive message passing results in indistinguishable node representations, especially in deep networks incorporating high-order neighbors; and scalability issues, as traditional architectures suffer from high model complexity and increased inference time due to redundant information aggregation. This paper proposes a novel framework for large-scale graphs named ScaleGNN that simultaneously addresses both challenges by adaptively fusing multi-level graph features. We first construct neighbor matrices for each order, learning their relative information through trainable weights through an adaptive high-order feature fusion module. This allows the model to selectively emphasize informative high-order neighbors while reducing unnecessary computational costs. Additionally, we introduce a High-order redundant feature masking mechanism based on a Local Contribution Score (LCS), which enables the model to retain only the most relevant neighbors at each order, preventing redundant information propagation. Furthermore, low-order enhanced feature aggregation adaptively integrates low-order and high-order features based on task relevance, ensuring effective capture of both local and global structural information without excessive complexity. Extensive experiments on real-world datasets demonstrate that our approach consistently outperforms state-of-the-art GNN models in both accuracy and computational efficiency.




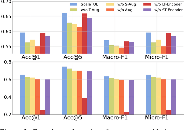
Abstract:Trajectory-user linking (TUL) aims to match anonymous trajectories to the most likely users who generated them, offering benefits for a wide range of real-world spatio-temporal applications. However, existing TUL methods are limited by high model complexity and poor learning of the effective representations of trajectories, rendering them ineffective in handling large-scale user trajectory data. In this work, we propose a novel $\underline{Scal}$abl$\underline{e}$ Trajectory-User Linking with dual-stream representation networks for large-scale $\underline{TUL}$ problem, named ScaleTUL. Specifically, ScaleTUL generates two views using temporal and spatial augmentations to exploit supervised contrastive learning framework to effectively capture the irregularities of trajectories. In each view, a dual-stream trajectory encoder, consisting of a long-term encoder and a short-term encoder, is designed to learn unified trajectory representations that fuse different temporal-spatial dependencies. Then, a TUL layer is used to associate the trajectories with the corresponding users in the representation space using a two-stage training model. Experimental results on check-in mobility datasets from three real-world cities and the nationwide U.S. demonstrate the superiority of ScaleTUL over state-of-the-art baselines for large-scale TUL tasks.
Abstract:Heterogeneous graphs (HGs) are composed of multiple types of nodes and edges, making it more effective in capturing the complex relational structures inherent in the real world. However, in real-world scenarios, labeled data is often difficult to obtain, which limits the applicability of semi-supervised approaches. Self-supervised learning aims to enable models to automatically learn useful features from data, effectively addressing the challenge of limited labeling data. In this paper, we propose a novel contrastive learning framework for heterogeneous graphs (ASHGCL), which incorporates three distinct views, each focusing on node attributes, high-order and low-order structural information, respectively, to effectively capture attribute information, high-order structures, and low-order structures for node representation learning. Furthermore, we introduce an attribute-enhanced positive sample selection strategy that combines both structural information and attribute information, effectively addressing the issue of sampling bias. Extensive experiments on four real-world datasets show that ASHGCL outperforms state-of-the-art unsupervised baselines and even surpasses some supervised benchmarks.
Abstract:Traffic prediction is critical for optimizing travel scheduling and enhancing public safety, yet the complex spatial and temporal dynamics within traffic data present significant challenges for accurate forecasting. In this paper, we introduce a novel model, the Spatiotemporal-aware Trend-Seasonality Decomposition Network (STDN). This model begins by constructing a dynamic graph structure to represent traffic flow and incorporates novel spatio-temporal embeddings to jointly capture global traffic dynamics. The representations learned are further refined by a specially designed trend-seasonality decomposition module, which disentangles the trend-cyclical component and seasonal component for each traffic node at different times within the graph. These components are subsequently processed through an encoder-decoder network to generate the final predictions. Extensive experiments conducted on real-world traffic datasets demonstrate that STDN achieves superior performance with remarkable computation cost. Furthermore, we have released a new traffic dataset named JiNan, which features unique inner-city dynamics, thereby enriching the scenario comprehensiveness in traffic prediction evaluation.




Abstract:In compute-first networking, maintaining fresh and accurate status information at the network edge is crucial for effective access to remote services. This process typically involves three phases: Status updating, user accessing, and user requesting. However, current studies on status effectiveness, such as Age of Information at Query (QAoI), do not comprehensively cover all these phases. Therefore, this paper introduces a novel metric, TPAoI, aimed at optimizing update decisions by measuring the freshness of service status. The stochastic nature of edge environments, characterized by unpredictable communication delays in updating, requesting, and user access times, poses a significant challenge when modeling. To address this, we model the problem as a Markov Decision Process (MDP) and employ a Dueling Double Deep Q-Network (D3QN) algorithm for optimization. Extensive experiments demonstrate that the proposed TPAoI metric effectively minimizes AoI, ensuring timely and reliable service updates in dynamic edge environments. Results indicate that TPAoI reduces AoI by an average of 47\% compared to QAoI metrics and decreases update frequency by an average of 48\% relative to conventional AoI metrics, showing significant improvement.




Abstract:As deep neural networks (DNNs) are increasingly deployed on edge devices, optimizing models for constrained computational resources is critical. Existing auto-pruning methods face challenges due to the diversity of DNN models, various operators (e.g., filters), and the difficulty in balancing pruning granularity with model accuracy. To address these limitations, we introduce AutoSculpt, a pattern-based automated pruning framework designed to enhance efficiency and accuracy by leveraging graph learning and deep reinforcement learning (DRL). AutoSculpt automatically identifies and prunes regular patterns within DNN architectures that can be recognized by existing inference engines, enabling runtime acceleration. Three key steps in AutoSculpt include: (1) Constructing DNNs as graphs to encode their topology and parameter dependencies, (2) embedding computationally efficient pruning patterns, and (3) utilizing DRL to iteratively refine auto-pruning strategies until the optimal balance between compression and accuracy is achieved. Experimental results demonstrate the effectiveness of AutoSculpt across various architectures, including ResNet, MobileNet, VGG, and Vision Transformer, achieving pruning rates of up to 90% and nearly 18% improvement in FLOPs reduction, outperforming all baselines. The codes can be available at https://anonymous.4open.science/r/AutoSculpt-DDA0




Abstract:Shared-account Sequential Recommendation (SSR) aims to provide personalized recommendations for accounts shared by multiple users with varying sequential preferences. Previous studies on SSR struggle to capture the fine-grained associations between interactions and different latent users within the shared account's hybrid sequences. Moreover, most existing SSR methods (e.g., RNN-based or GCN-based methods) have quadratic computational complexities, hindering the deployment of SSRs on resource-constrained devices. To this end, we propose a Lightweight Graph Capsule Convolutional Network with subspace alignment for shared-account sequential recommendation, named LightGC$^2$N. Specifically, we devise a lightweight graph capsule convolutional network. It facilitates the fine-grained matching between interactions and latent users by attentively propagating messages on the capsule graphs. Besides, we present an efficient subspace alignment method. This method refines the sequence representations and then aligns them with the finely clustered preferences of latent users. The experimental results on four real-world datasets indicate that LightGC$^2$N outperforms nine state-of-the-art methods in accuracy and efficiency.




Abstract:Graph anomaly detection (GAD) is a critical task in graph machine learning, with the primary objective of identifying anomalous nodes that deviate significantly from the majority. This task is widely applied in various real-world scenarios, including fraud detection and social network analysis. However, existing GAD methods still face two major challenges: (1) They are often limited to detecting anomalies in single-type interaction graphs and struggle with multiple interaction types in multiplex heterogeneous graphs; (2) In unsupervised scenarios, selecting appropriate anomaly score thresholds remains a significant challenge for accurate anomaly detection. To address the above challenges, we propose a novel Unsupervised Multiplex Graph Anomaly Detection method, named UMGAD. We first learn multi-relational correlations among nodes in multiplex heterogeneous graphs and capture anomaly information during node attribute and structure reconstruction through graph-masked autoencoder (GMAE). Then, to further weaken the influence of noise and redundant information on abnormal information extraction, we generate attribute-level and subgraph-level augmented-view graphs respectively, and perform attribute and structure reconstruction through GMAE. Finally, We learn to optimize node attributes and structural features through contrastive learning between original-view and augmented-view graphs to improve the model's ability to capture anomalies. Meanwhile, we also propose a new anomaly score threshold selection strategy, which allows the model to be independent of the ground truth in real unsupervised scenarios. Extensive experiments on four datasets show that our \model significantly outperforms state-of-the-art methods, achieving average improvements of 13.48% in AUC and 11.68% in Macro-F1 across all datasets.