



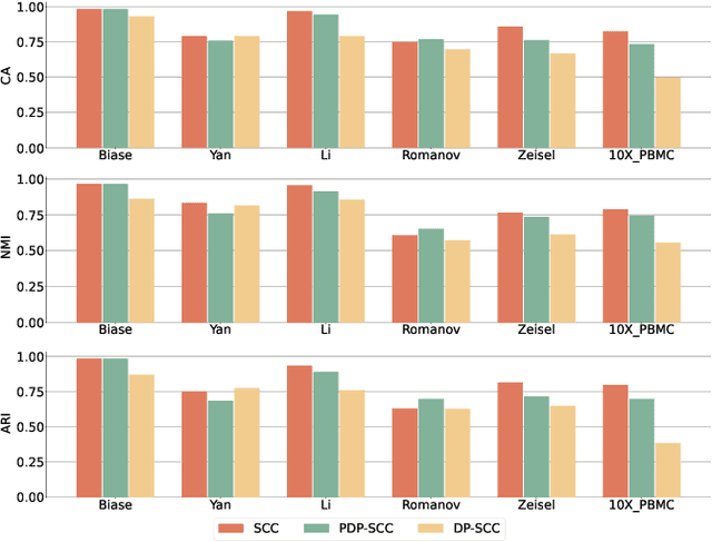
Abstract:Single-cell RNA sequencing (scRNA-seq) is important to transcriptomic analysis of gene expression. Recently, deep learning has facilitated the analysis of high-dimensional single-cell data. Unfortunately, deep learning models may leak sensitive information about users. As a result, Differential Privacy (DP) is increasingly used to protect privacy. However, existing DP methods usually perturb whole neural networks to achieve differential privacy, and hence result in great performance overheads. To address this challenge, in this paper, we take advantage of the uniqueness of the autoencoder that it outputs only the dimension-reduced vector in the middle of the network, and design a Differentially Private Deep Contrastive Autoencoder Network (DP-DCAN) by partial network perturbation for single-cell clustering. Since only partial network is added with noise, the performance improvement is obvious and twofold: one part of network is trained with less noise due to a bigger privacy budget, and the other part is trained without any noise. Experimental results of six datasets have verified that DP-DCAN is superior to the traditional DP scheme with whole network perturbation. Moreover, DP-DCAN demonstrates strong robustness to adversarial attacks. The code is available at https://github.com/LFD-byte/DP-DCAN.




Abstract:We propose a novel M-estimate conjugate gradient (CG) algorithm, termed Tukey's biweight M-estimate CG (TbMCG), for system identification in impulsive noise environments. In particular, the TbMCG algorithm can achieve a faster convergence while retaining a reduced computational complexity as compared to the recursive least-squares (RLS) algorithm. Specifically, the Tukey's biweight M-estimate incorporates a constraint into the CG filter to tackle impulsive noise environments. Moreover, the convergence behavior of the TbMCG algorithm is analyzed. Simulation results confirm the excellent performance of the proposed TbMCG algorithm for system identification and active noise control applications.




Abstract:Part I of this paper reviewed the development of the linear active noise control (ANC) technique in the past decade. However, ANC systems might have to deal with some nonlinear components and the performance of linear ANC techniques may degrade in this scenario. To overcome this limitation, nonlinear ANC (NLANC) algorithms were developed. In Part II, we review the development of NLANC algorithms during the last decade. The contributions of heuristic ANC algorithms are outlined. Moreover, we emphasize recent advances of NLANC algorithms, such as spline ANC algorithms, kernel adaptive filters, and nonlinear distributed ANC algorithms. Then, we present recent applications of ANC technique including linear and nonlinear perspectives. Future research challenges regarding ANC techniques are also discussed.




Abstract:Active noise control (ANC) is an effective way for reducing the noise level in electroacoustic or electromechanical systems. Since its first introduction in 1936, this approach has been greatly developed. This paper focuses on discussing the development of ANC techniques over the past decade. Linear ANC algorithms, including the celebrated filtered-x least-mean-square (FxLMS)-based algorithms and distributed ANC algorithms, are investigated and evaluated. Nonlinear ANC (NLANC) techniques, such as functional link artificial neural network (FLANN)-based algorithms, are pursued in Part II. Furthermore, some novel methods and applications of ANC emerging in the past decade are summarized. Finally, future research challenges regarding the ANC technique are discussed.




Abstract:Knowledge distillation is a standard teacher-student learning framework to train a light-weight student network under the guidance of a well-trained large teacher network. As an effective teaching strategy, interactive teaching has been widely employed at school to motivate students, in which teachers not only provide knowledge but also give constructive feedback to students upon their responses, to improve their learning performance. In this work, we propose an InterActive Knowledge Distillation (IAKD) scheme to leverage the interactive teaching strategy for efficient knowledge distillation. In the distillation process, the interaction between teacher and student networks is implemented by a swapping-in operation: randomly replacing the blocks in the student network with the corresponding blocks in the teacher network. In the way, we directly involve the teacher's powerful feature transformation ability to largely boost the student's performance. Experiments with typical settings of teacher-student networks demonstrate that the student networks trained by our IAKD achieve better performance than those trained by conventional knowledge distillation methods on diverse image classification datasets.




Abstract:The rapid development of deep learning (DL) has driven single image super-resolution (SR) into a new era. However, in most existing DL based image SR networks, the information flows are solely feedforward, and the high-level features cannot be fully explored. In this paper, we propose the gated multiple feedback network (GMFN) for accurate image SR, in which the representation of low-level features are efficiently enriched by rerouting multiple high-level features. We cascade multiple residual dense blocks (RDBs) and recurrently unfolds them across time. The multiple feedback connections between two adjacent time steps in the proposed GMFN exploits multiple high-level features captured under large receptive fields to refine the low-level features lacking enough contextual information. The elaborately designed gated feedback module (GFM) efficiently selects and further enhances useful information from multiple rerouted high-level features, and then refine the low-level features with the enhanced high-level information. Extensive experiments demonstrate the superiority of our proposed GMFN against state-of-the-art SR methods in terms of both quantitative metrics and visual quality. Code is available at https://github.com/liqilei/GMFN.




Abstract:In computer vision and image processing tasks, image fusion has evolved into an attractive research field. However, recent existing image fusion methods are mostly built on pixel-level operations, which may produce unacceptable artifacts and are time-consuming. In this paper, a symmetric encoder-decoder with a residual block (SEDR) for infrared and visible image fusion is proposed. For the training stage, the SEDR network is trained with a new dataset to obtain a fixed feature extractor. For the fusion stage, first, the trained model is utilized to extract the intermediate features and compensation features of two source images. Then, extracted intermediate features are used to generate two attention maps, which are multiplied to the input features for refinement. In addition, the compensation features generated by the first two convolutional layers are merged and passed to the corresponding deconvolutional layers. At last, the refined features are fused for decoding to reconstruct the final fused image. Experimental results demonstrate that the proposed fusion method (named as SEDRFuse) outperforms the state-of-the-art fusion methods in terms of both subjective and objective evaluations.




Abstract:Recent advances in image super-resolution (SR) explored the power of deep learning to achieve a better reconstruction performance. However, the feedback mechanism, which commonly exists in human visual system, has not been fully exploited in existing deep learning based image SR methods. In this paper, we propose an image super-resolution feedback network (SRFBN) to refine low-level representations with high-level information. Specifically, we use hidden states in an RNN with constraints to achieve such feedback manner. A feedback block is designed to handle the feedback connections and to generate powerful high-level representations. The proposed SRFBN comes with a strong early reconstruction ability and can create the final high-resolution image step by step. In addition, we introduce a curriculum learning strategy to make the network well suitable for more complicated tasks, where the low-resolution images are corrupted by multiple types of degradation. Extensive experimental results demonstrate the superiority of the proposed SRFBN in comparison with the state-of-the-art methods. Code is avaliable at https://github.com/Paper99/SRFBN_CVPR19.